이 약은 아일리아프리필드시린지(애플리버셉트)를 대조약으로 한 동등생물의약품이다.
1. 다음 환자에는 투여하지 말 것
1) 안구 또는 안구 주변 감염 환자
2) 활동성 중증의 안내 염증이 있는 환자
3) 애플리버셉트 또는 이 약 성분에 과민증이 있는 환자
2. 다음 환자에는 신중히 투여할 것
1) 유리체내 주사 관련
애플리버셉트를 포함하여, 유리체내 주사는 안구내염, 안구내 염증(intraocular inflammation), 열공망막박리, 망막열공 및 의인 외상성 백내장과 관련되어 있다(3. 이상사례 참조). 애플리버셉트를 투여할 때 적절한 무균 주사법을 이용해야 한다. 또한, 감염 발생 시 초기 치료가 가능할 수 있도록 주사한 주 동안 환자를 모니터링 해야 한다. 안구내염이 의심되거나 상기 언급한 사례가 의심되는 증상이 있을 시 지체없이 보고하도록 환자를 교육해야 한다.
애플리버셉트를 포함하여, 유리체내 주사는 투여 후 60분 이내에 안압의 상승이 나타났다(3. 이상사례 참조). 녹내장이 잘 조절되지 않는 환자에서는 특별한 주의가 필요하다. 따라서 모든 경우 안압과 시신경 유두 관류(perfusion of optic nerve head)를 모니터링 해야 하며 적절히 관리되어야 한다.
2) 동맥 혈전 색전증 사건(Arterial thromboembolic events, ATE)
애플리버셉트를 포함하는 VEGF 억제제의 유리체내 주사 후 동맥 혈전 색전증 사건의 잠재적 위험이 있다.
3. 이상사례
1) 습성황반변성 환자군
2개의 3상 임상시험에 참여하여 최대 96주 동안 애플리버셉트에 노출된 환자 중 안전성군은 1,824명이며, 이중 1,223명이 2 mg 용량을 투여받았다.
애플리버셉트의 유리체내 주사 후 주사 절차와 관련된 중대한 이상반응은 주사 1,000건 당 1건 미만이었으며, 안구내염, 외상성 백내장, 일시적 안압 상승이었다(2. 다음 환자에는 신중히 투여할 것 참조).
애플리버셉트 투여 환자의 5% 이상에서 발생한, 가장 흔한 이상반응은 결막 출혈, 눈 통증, 유리체 박리, 백내장, 유리체 부유물(vitreous floaters), 안압 상승이었다. 이러한 이상반응은 라니비주맙 투여군에서도 유사한 비율로 발생하였다.
2) 망막중심정맥폐쇄성 황반부종 환자군
2개의 3상 임상시험에 참여하여 최대 100주 동안 애플리버셉트에 최소 1회 노출된 환자인 안전성군은 총 317명이다.
주사 절차와 관련된 중대한 이상반응은 애플리버셉트 유리체내 주사 2,728건 중 3회 발생하였으며 안구내염(2. 다음 환자에는 신중히 투여할 것 참조)과 백내장 및 유리체 박리를 포함한다.
애플리버셉트 투여 환자의 5% 이상에서 발생한, 가장 흔한 이상반응은 결막 출혈, 안압 상승, 눈 통증, 유리체 박리, 유리체 부유물(vitreous floaters), 눈물분비증가 및 눈충혈이었다.
3) 망막분지정맥폐쇄성 황반부종 환자군
3상 임상시험에 참여하여 52주까지 애플리버셉트에 최소 1회 노출된 환자인 안전성군은 총 158명이다.
주사 절차와 관련된 중대한 이상반응은 애플리버셉트 유리체내 주사 1,115건 중 1회 발생하였으며 외상성 백내장을 포함한다.
애플리버셉트 투여 환자의 5% 이상에서 발생한 가장 흔한 이상반응은 결막 출혈이었다.
4) 당뇨병성 황반부종 환자군
2개의 3상 임상시험에 참여하여 100주까지 애플리버셉트에 최소 1회 노출된 환자인 안전성군은 총 687명이다.
주사 절차와 관련된 중대한 이상반응은 애플리버셉트 유리체내 주사 11,237건 중 3회 발생하였으며 백내장 및 망막 박리를 포함한다.
애플리버셉트 투여 환자의 5% 이상에서 발생한, 가장 흔한 이상반응은 결막 출혈, 백내장, 눈 통증, 유리체 부유물(vitreous floaters), 안압상승 및 유리체 박리였다.
5) 근시성 맥락막 신생혈관 형성 환자군
3상 임상시험에 참여하여 48주까지 애플리버셉트에 최소 1회 노출된 환자인 안전성군은 총 116명이다.
주사 절차와 관련된 중대한 이상반응은 애플리버셉트 유리체내 주사 474건 중 1회 발생하였으며 황반원공을 포함한다.
애플리버셉트 투여 환자의 5% 이상에서 발생한 가장 흔한 이상반응은 결막 출혈, 점상 각막염, 눈 통증이었다.
아래 안전성 정보는 습성황반변성, 망막중심정맥폐쇄, 망막분지정맥폐쇄, 당뇨병성 황반부종 및 근시성 맥락막 신생혈관 형성 적응증에 대한 8건의 3상 연구에서의 주사 과정 또는 애플리버셉트와의 인과 관계에 대한 타당한 가능성이 있는 중대한 이상반응 및 중대하지 않은 이상반응을 포함한 모든 이상반응을 담고 있다.
각각의 빈도 내에서, 약물이상반응은 중증도가 감소되는 순으로 나타내었다.
표1 : 3상 연구들 또는 시판 후 조사 기간 동안 보고된 치료 관련(treatment ‑emergent) 모든 약물이상반응(습성황반변성, 망막중심정맥폐쇄, 망막분지정맥폐쇄, 당뇨병성 황반부종 및 근시성 맥락막 신생혈관 형성 3상 임상연구의 통합 자료)
|
기관
분류체계 |
매우 흔함
(≥1/10) |
흔함
(≥1/100 ~ <1/10) |
흔하지 않음
(≥1/1,000 ~<1/100) |
드묾
(≥1/10,000 ~
< 1/1,000) |
|
면역계장애 |
|
|
과민반응*** |
|
|
안구장애 |
결막출혈,눈 통증 |
망막색소상피열상(tear)*, 망막색소상피 박리, 백내장, 피질백내장, 핵백내장, 낭하백내장, 각막미란, 각막찰과상(abrasion), 안압 상승, 시력 흐림, 유리체 부유물, 유리체 박리, 주사부위 통증, 눈 이물감, 눈물분비 증가, 눈꺼풀 부종, 주사부위 출혈, 점상 각막염, 결막충혈, 눈충혈 |
안구내염**, 망막박리, 망막열상, 포도막염, 홍채염, 홍채모양체염, 수정체불투명, 각막상피손상, 전방흐림, 각막부종 |
외상성 백내장,유리체염, 전방축농 |
* 습성황반변성 연구에서만 관찰된 습성황반변성과 관련이 있다고 알려진 상태
** 배양 양성 및 음성 안구내염
*** 시판 후 조사 기간 동안 발진, 가려움증, 두드러기 그리고 중증의 아나필락시스/아나필락시스양 반응의 독립된 사례들을 포함한 과민반응이 보고되었다.
시판 후 관찰
다음의 약물이상반응이 애플리버셉트의 유리체 내 주사 시에 시판 후 관찰에서 확인되었다.
‑ 안구 질환: 공막염
6) 국내 시판 후 조사 결과 (아일리아주사(애플리버셉트))
국내에서 6년 동안 3,169명의 환자(신생혈관성 (습성) 연령 관련 황반변성 환자 3,115명, 망막정맥폐쇄성황반부종에 의한 시력손상 환자 3명, 당뇨병성황반부종에 의한 시력손상 환자 44명, 병적근시로 인한 맥락막신생혈관 형성에 따른 시력손상환자 7명)를 대상으로 실시한 시판 후 사용성적조사 결과, 이상사례 발현율은 2.8%(90명, 113건)이었고, 이 중 애플리버셉트와 인과관계를 배제할 수 없는 약물이상반응 발현율은 1.7%(54명, 62건)이며, 건성안, 유리체부유물 각각 0.2%(5명, 5건), 백내장, 안구내염, 비감염안구내염, 망막색소상피열상, 결막염 각각 0.1%(3명, 3건), 눈통증, 망막출혈, 안검염, 망막색소상피박리, 전립선암, 두통 각각 0.1%(2명, 2건), 유리체출혈, 알레르기결막염, 각막미란, 후천성 누관폐쇄, 눈염증, 황반원공, 눈충혈, 광시증, 방광염, 상기도 감염, 변비, 충치, 소화불량, 관절통, 허리통증, 인대염좌, 위암, 당뇨병성신경병증, 일과성허혈발작, 가슴통증, 열감, 혈뇨, 기침, 콧물, 기립성저혈압 각각 0.03%(1명, 1건)이 보고되었다. 중대한 이상사례 발현율은 0.4%(11명, 15건)이며, 유리체출혈 0.1%(2명, 2건), 안구내염, 황반원공, 망막출혈, 관절통, 척추골관절염, 서혜부탈장, 쇄골골절, 흉골골절, 경골골절, 방광암, 일과성허혈발작, 혈뇨, 혈흉이 각각 0.03%(1명, 1건)이 보고되었다. 이 중 애플리버셉트와 인과관계를 배제할 수 없는 중대한 약물이상반응 발현율은 0.1%(3명, 3건)이며, 안구내염, 황반원공, 일과성허혈발작 각각 0.03%(1명, 1건)이 보고되었다.
예상하지 못한 이상사례 발현율은 2.1%(66명, 83건)이었고, 건성안 0.3%(10명, 11건), 결막염 0.2%(5명, 5건), 유리체출혈 0.1%(4명, 4건), 망막출혈 0.1%(3명, 3건), 안검염, 알레르기결막염, 황반섬유증, 관절통, 전립선암, 두통, 혈뇨 각각 0.1%(2명, 2건), 후천성 누관폐쇄, 눈염증, 안구 소양증, 녹내장, 각막염, 광시증, 시력감소, 유리체 질환, 아데노바이러스성결막염, 기관지염, 방광염, 인플루엔자, 치주염, 편도염, 상기도감염, 복통, 변비, 충치, 소화불량, 위식도 역류, 서혜부 탈장, 구토, 허리통증, 사지통증, 척추골관절염, 쇄골골절, 뇌진탕, 발골절, 인대 염좌, 흉골골절, 경골골절, 방광암, 위암, 당뇨병성신경병증, 일과성허혈발작, 가슴통증, 열감, 발열, 신부전, 기침, 혈흉, 콧물, 고혈압, 기립성저혈압, 갑상선덩어리, 피부염이 각각 0.03%(1명, 1건)이 보고되었다. 이 중 애플리버셉트와 인과관계를 배제할 수 없는 예상하지 못한 약물이상반응 발현율은 1.0%(32명, 38건)이었고, 건성안 0.2%(5명, 5건), 결막염 0.1%(3명, 3건), 망막출혈, 안검염, 전립선암, 두통 각각 0.1%(2명, 2건), 유리체출혈, 알레르기결막염, 후천성 누관폐쇄, 눈염증, 광시증, 방광염, 상기도감염, 변비, 충치, 소화불량, 관절통, 허리통증, 인대염좌, 위암, 당뇨병성신경병증, 일과성허혈발작, 가슴통증, 열감, 혈뇨, 기침, 콧물, 기립성저혈압 각각 0.03%(1명, 1건)이 보고되었다. 중대하고 예상하지 못한 이상사례 발현율은 0.3%(9명, 13건)이며, 유리체출혈 0.1%(2명, 2건), 망막출혈, 관절통, 척추골관절염, 서혜부탈장, 쇄골골절, 흉골골절, 경골골절, 방광암, 일과성허혈발작, 혈뇨, 혈흉이 각각 0.03%(1명, 1건)이 보고되었다. 이 중 중대하고 예상하지 못한 약물이상반응 발현율은 0.03%(1명, 1건)이며, 일과성허혈발작 0.03%(1명, 1건)이었다.
4. 일반적 주의
1) VEGF의 전신 억제와 잠재적으로 관련성이 있는 이상반응은 동맥 혈전 색전증 사건이다. 이론적으로 VEGF 억제제의 유리체내 투여 후 동맥 혈전 색전증 사건의 발생 위험성이 있다.
Antiplatelet Trialists' Collaboration(APTC)에서 정의된 동맥 혈전 색전증 사건은 비치명적 심근경색, 비치명적 뇌졸중 또는 심혈관성 사망(원인 미상의 사망포함)을 포함한다.
최근 6개월 이내 뇌졸중, 일과성 허혈 발작 또는 심근경색 병력이 있는 망막중심정맥폐쇄, 망막분지정맥폐쇄, 및 당뇨병성 황반부종 환자에서 애플리버셉트 치료 시의 안전성 자료는 제한적이다. 이러한 환자들에게 애플리버셉트를 투여할 때는 주의하여야 한다.
96주의 연구기간 동안의 습성황반변성 연구(VIEW1 및 VIEW2)의 APTC 동맥 혈전 색전증 사건의 발생률은 애플리버셉트의 통합치료군에서 3.3%(1,824명 중 60명)이었으며, 대조군인 라니비주맙군에서 3.2%(595명 중 19명)이었다. 76/100주의 연구기간 동안의 망막중심정맥폐쇄 연구(COPERNICUS 및 GALILEO)의 APTC 동맥 혈전 색전증 사건의 발생률은 최소 애플리버셉트를 1회 투여 받은 환자에서 0.6%(317명 중 2명)이었으며, 가짜 치료를 받은 환자군에서 1.4%(142명 중 2명) 이었다. 52주의 연구기간 동안의 망막분지정맥폐쇄성 황반부종 연구(VIBRANT)의 APTC 동맥 혈전 색전증 사건의 발생률은 애플리버셉트의 치료군에서 0%(91명 중 0명)이었으며 대조군인 레이저 치료군에서 2.2%(92명 중 2명)이었다. 이 대조군 환자들 중 한 명은 애플리버셉트 구조치료를 받았다.
100주의 연구기간 동안의 당뇨병성 황반부종 연구(VISTA DME 및 VIVID DME)의 APTC 동맥 혈전 색전증 사건의 발생률은 애플리버셉트의 통합치료군에서 6.4%(578명 중 37명)이었으며 대조군인 레이저 치료군에서 4.2%(287명 중 12명)이었다. 애플리버셉트 2mg 매 8주 투여군에서 애플리버셉트와 관련성을 배제할 수 없는 사망 1건(고혈압성 심질환)이 보고되었다.
48주의 연구기간 동안의 근시성 맥락막 신생혈관 형성 연구(MYRROR)의 APTC 동맥 혈전 색전증 사건의 발생률은 애플리버셉트의 치료군에서 1.1%(91명 중 1명)이었으며 대조군에서 0%(31명 중 0명)이었다.
2) 제 1형 당뇨병으로 인한 당뇨병성 황반부종, HbA1c 12%를 초과하는 당뇨 환자 또는 증식성 당뇨병성 망막병증을 가진 환자에서 애플리버셉트의 치료 경험은 제한적이다.
애플리버셉트는 활성 전신감염 또는 망막박리나 황반원공 등이 동반된 환자에서는 연구되지 않았다. 조절되지 않는 고혈압을 동반한 당뇨병 환자에서 애플리버셉트은 사용되지 않았다. 의사는 이러한 환자들을 치료함에 있어 정보가 부족함을 고려하여야 한다.
3) 다른 치료용 단백질 약물과 마찬가지로, 애플리버셉트는 잠재적인 면역원성이 있다.
5. 임부 및 수유부에 대한 투여
1) 애플리버셉트를 임부에게 사용한 자료는 없다. 동물 시험에서 전신 투여 후 생식 독성이 나타났다. 잠재적 유익성이 태아에 대한 잠재적 위험성을 상회하는 경우가 아니라면 임신 동안 애플리버셉트를 투여하여서는 안 된다.
2) 임신 가능성이 있는 여성은 치료 기간 및 애플리버셉트를 마지막으로 주사한 뒤 최소 3개월 동안 효과적인 피임법을 사용해야 한다.
3) 애플리버셉트가 모유로 분비되는지 여부는 알려지지 않았다. 모유수유 아동에 대한 위험성을 배제할 수 없다. 수유하는 동안 애플리버셉트는 권고되지 않는다. 애플리버셉트의 치료를 중지할 것인지 또는 모유수유를 중단할 것인지 결정해야 한다.
6. 고령자에 대한 투여
고령자에서 애플리버셉트의 특별한 주의는 필요하지 않다. 75세를 초과하는 당뇨병성 황반부종 환자에 대한 투여 경험은 제한적이다.
7. 간장애 및 신장애 환자에 대한 투여
간장애 또는 신장애 환자를 대상으로 실시한 시험은 없다. 가용한 자료에 따르면 이러한 환자들에 대한 애플리버셉트의 용량 조절의 필요성을 시사하지 않는다.
8. 소아에 대한 투여
애플리버셉트의 소아에 대한 안전성 및 유효성은 연구되지 않았다.
9. 운전 및 기계 조작
애플리버셉트의 유리체내 주사 및 관련된 눈 검진 후 일시적 시력 장애를 경험할 수 있다. 시력이 충분히 회복될 때까지 운전이나 기계 조작을 해서는 안된다.
10. 과량 투여시의 처치
1개월 마다 4 mg까지 투여한 임상시험과 8 mg을 과량 투여한 개별 사례에서 전반적으로 내약성은 우수하였다.
주사량 증가로 인한 과량 투여로 안압이 상승할 수 있다. 따라서 과량 투여시 안내압을 모니터링 해야 하며 담당 의사가 필요하다고 판단한 경우 적절한 치료를 시작해야 한다(11. 적용상의 주의 참조).
11. 적용상의 주의
1) 이 약을 다른 의약품과 혼합해서는 안된다.
2) 이 약은 일회 투여용으로만 사용하고 한 바이알은 한 쪽 눈에만 사용한다. 한 바이알에서 여러 번 용량을 취할 경우 오염과 뒤따르는 감염의 위험성이 증가할 수 있다.
3) 투여 전에 주사용액을 육안으로 검사한다. 미립자가 있거나, 흐리거나 색이 변한 경우 그 바이알은 사용하지 않는다.
4) 사용 전 미개봉된 이 약의 바이알은 24시간까지 실온(25° C / 77 °F)에서 보관할 수 있다. 개봉한 바이알은 무균 조건에서 조작한다.
5) 유리체내 주사에는 30 G x ½인치 주사바늘을 사용해야 한다.
6) Filter needle(일회용여과기부착침):
(1) BD Blunt Filter (Fill) Needle은 피부 주사용이 아니다.
(2) BD Blunt Filter (Fill) Needle을 가압멸균(autoclave)하면 안된다.
(3) Filter Needle은 비 ‑발열성이다. 개별 포장이 손상된 경우 사용하면 안된다.
(4) 사용한 BD Blunt Filter (Fill) Needle은 승인된 주사기 폐기함에 버려야 한다.
(5) 주의: 재사용하면 감염 또는 기타 질병/손상이 발생할 수 있다.
7) 조작 방법
|
(1) 플라스틱 마개를 제거하고 바이알 고무마개의 바깥 부분을 소독한다. |

|
|
(2) 1mL 무균 루어락 시린지에 상자에 포함되어 있는 18G, 5µm일회용여과기부착침(Filter needle)를 끼운다. |

|
|
(3) 일회용여과기부착침을 바이알 마개의 중심에 꽂고 바늘이 바이알 바닥이나 바닥의 가장자리에 닿을 때까지 완전히 넣는다. |
|
(4) 무균조작법을 이용하여, 바이알을 바로 세운 상태로 유지하여 취하고 바이알 내용물을 모두 취하기 위해 약간 기울인다. 공기의 유입을 막기위해 바늘의 경사면이 용액 속에 들어갔는지 확인한다. 내용물을 취하는 동안 계속해서 바늘의 경사면을 용액 속에 넣은 상태로 바이알을 기울인다. |

|
|
(5) 일회용여과기부착침을 완전히 비우기 위해 바이알 내용물을 취할 때 플런저가 충분히 뒤로 잡아 당겨졌는지를 확인한다. 주사 이후 모든 미사용 제품은 폐기해야 한다. |
|
(6) 일회용여과기부착침을 분리하고 적절히 폐기한다. |
|
주의: 일회용여과기부착침은 유리체내 주사에 사용되지 않는다. |
|
(7) 무균 조작법을 이용하여 30 G x ½인치 주사침을 루어락 시린지 끝에 단단하게 돌려 고정한다. |

|
|
(8) 주사침이 위쪽으로 향하도록 시린지를 잡고, 시린지에 거품이 있는지 확인한다. 거품이 있으면 거품이 위로 올라갈 때까지 시린지를 부드럽게 두드린다. |

|
|
(9) 플런저를 천천히 밀어서 거품을 모두 제거하고 과량의 약물을 뽑아내어 플런저 끝 부분(flat plunger edge)이 시린지의 용량 표시선, 0.05 mL 표시선과 일직선이 되도록 한다. |

|
12. 보관 및 취급상의 주의사항
이 약은 2~8 ℃에서 냉장 보관하며 얼리지 않는다.
차광을 위해 바이알을 원래의 상자에 보관한다.
13. 기타
1) 각 상자에는 주사 용액 278 μL가 충전된 type I 유리 바이알과 탄성 고무 마개, 그리고 18 G 일회용여과기부착침(Filter needle)이 포함되어 있다. 각 바이알은 겉보기 충전 용량 278 μL를 포함한다.
14. 전문가를 위한 정보
약력학적 성질
애플리버셉트는 사람 IgG1의 Fc 부분에 융합된 사람 VEGF 수용체 1 및 2 세포외 도메인의 일부로 구성된 재조합 융합 단백질이다.
Chinese hamster ovary (CHO) K1 세포에서 재조합 DNA 기술을 사용해 애플리버셉트를 생산한다.
애플리버셉트는 자연 수용체보다 높은 친화도로 VEGF ‑A 및 PlGF와 결합하여 동종(cognate)의 VEGF 수용체의 결합 및 활성화 억제가 가능한 수용성 미끼 수용체(decoy receptor)로서 작용한다.
1) 작용 기전
혈관내피성장인자 ‑A(VEGF ‑A) 및 태반성장인자(PlGF)는 내피 세포에 강력한 유사분열성, 화학주성, 혈관투과성 인자로 작용하는 VEGF 계열의 혈관신생인자이다. VEGF는 VEGFR ‑1 및 VEGFR ‑2 와 같이 내피세포 표면에 존재하는 두 가지 수용체 티로신 키나제를 통해 작용한다. PlGF는 백혈구 표면에도 존재하는 VEGFR ‑1에만 결합한다. VEGF ‑A에 의해 이러한 수용체가 과도하게 활성화되면 병리적인 신생혈관증식 및 과도한 혈관 투과가 발생할 수 있다. PlGF는 이러한 과정에서 VEGF ‑A와 상승작용을 일으킬 수 있으며, 백혈구 침윤 및 혈관 염증을 촉진하는 것으로 알려져 있다.
2) 약력학적 효과
(1) 습성 연령 관련 황반 변성
습성 연령 관련 황반 변성은 병리적 맥락막 신생혈관(CNV)을 특징으로 한다. CNV에서 혈액 및 액체가 누출되어 망막 비후 또는 부종 및/또는 망막하/망막내 출혈로 이어질 수 있으며, 시력 상실을 일으킬 수 있다.
애플리버셉트을 투여 받은 환자(3개월 연속 매월 1회 주사, 이후 2개월마다 1회 주사)에서 치료 시작 직후 중심망막두께[CRT]가 감소하였으며, 평균 CNV 병변 크기가 줄어들었고, 라니비주맙 0.5 mg을 매월 투여했을 때의 결과와 일관적이었다.
VIEW1 연구에서 광간섭단층촬영(OCT) 검사 결과 평균 CRT가 감소했다(52주 째에 애플리버셉트 2 mg을 2개월마다 투여한 군의 경우 ‑130 μm, 라니비주맙 0.5 mg을 매월 투여한 군의 경우 ‑129 μm). VIEW2 연구에서도 52주 째에 OCT 검사 결과 평균 CRT가 감소했다(애플리버셉트 2 mg을 2개월마다 투여한 군의 경우 ‑149 μm, 라니비주맙 0.5 mg을 매월 투여한 군의 경우 ‑139 μm). CNV 크기의 감소 및 CRT의 감소는 연구 2년차에 대체로 유지되었다.
ALTAIR 연구는 습성 연령 관련 황반 변성 치료 경험이 없는 일본인 환자를 대상으로 수행되었으며, 애플리버셉트 2 mg을 첫 3개월 동안 매 월 주사하고, 2개월 후 1회 주사, 이후 사전 지정된 기준에 따라 최대 16주 간격으로 각기 다른 투여 간격(2주 또는 4주 조정)의 treat ‑and ‑extend 용량 요법으로 지속한 결과 VIEW 연구와 유사한 결과를 나타냈다. 52주째 OCT 검사 결과, 2주 및 4주 간격조정군에서 중심망막두께(CRT)의 평균 감소치는 각각 ‑134.4 μm와 ‑126.1 μm이었다. 52주째 OCT 검사 결과, 체액이 없는 환자의 비율은 2주 및 4주 간격 조정군에서 각각 68.3% 및 69.1%였다. ALTAIR 연구 2년차에서 양쪽 치료군에서의 CRT 감소치는 대체로 유지되었다.
ARIES 연구는 1년 동안 고정 용량으로 치료한 후 treat ‑and ‑extend 용량요법을 시작한 군 (Late start) 대비 애플리버셉트 2 mg 을 첫 3개월 동안 매 달 주사하고 2개월 뒤 1회 주사 투여한 직후 treat ‑and ‑extend 용량요법을 시작한 군(Early ‑start)의 비열등성을 탐색하기 위해 설계되었다.
52주 및 104주 째에, 베이스라인대비 CRT의 평균 감소는 이 군들 간에 유사했고 연구 2년차에도 유지되었다: 52주 째 ‑164.9 μm(Early start) 및 ‑167.1 μm(Late start); 104주 째 ‑161.6μm(Early start) 및 ‑158.6 μm(Late start). 연구 기간 동안 적어도 한 번 매 8주 보다 더 빈번한 치료가 필요했던 환자에서, 베이스라인으로부터 104주까지의 평균 CRT감소는 ‑160.4 μm이었다.
(2) 망막중심정맥폐쇄 및 망막분지정맥폐쇄에 의한 황반 부종
망막중심정맥폐쇄(CRVO) 및 망막분지정맥폐쇄(BRVO)에서, 망막 허혈이 발생하고 VEGF 분비 신호가 전달되며 이는 밀착연접(tight junction)을 불안정화시키고 내피세포 증식을 촉진시킨다. 상향조정된 VEGF는 혈액 망막 장벽의 붕괴, 혈관투과성 증가, 망막 부종, 신생혈관증식 합병증과 연관이 있다.
6개월간 매 월 연속으로 애플리버셉트 2 mg을 투여받은 환자에서, 일관적이고 신속하며 완건한(robust) 형태학적 반응(평균 CRT의 개선으로 측정)이 관찰되었다. 24주째, 3건의 모든 연구에서 CRT의 감소는 대조군 대비 통계적으로 우월했다(COPERNICUS의 CRVO: ‑457 대 ‑145 μm; GALILEO의 CRVO: ‑449 대 ‑169 μm; VIBRANT의 BRVO: ‑ 280 대 ‑128 μm). 이러한 베이스라인 대비 CRT의 감소는 COPERNICUS의 경우 100주, GALILEO의 경우 76주, VIBRANT의 52주 등 각 연구의 종료 시점까지 유지되었다.
(3) 당뇨병성 황반부종
당뇨병성 황반부종은 당뇨병성 망막병증의 결과이며, 시력 상실로 이어질 수 있는 혈관투과성 증가 및 망막 모세혈관의 손상을 특징으로 한다.
애플리버셉트을 투여받은 환자의 경우 상당 수가 제2형 당뇨병 환자로 분류되었으며, 신속하고 완건한 형태학적 반응(CRT, DRSS 수치)이 관찰되었다.
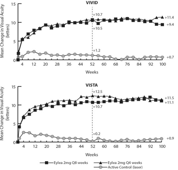
VIVID
DME 및 VISTA
DME 연구에서 레이저 대조군 대비 애플리버셉트을 투여 받은 환자에서 베이스라인으로부터 52주까지의 CRT 평균 감소치가 통계적으로 유의하게 큰 것으로 관찰되었다.
2Q8 애플리버셉트군이 ‑192.4 및 ‑183.1 μm이었고 대조군은 ‑66.2 및 ‑73.3 μm이었다. VIVID
DME 및 VISTA
DME 연구에서 100주 째의 감소치는 2Q8 애플리버셉트군이 ‑195.8 및 ‑191.1 μm이었고 대조군은 ‑85.7 및 ‑83.9 μm이었다.
DRSS의 ≧2단계 개선이 VIVID
DME 및 VISTA
DME에서 사전 지정된 방법으로 평가되었다. VIVID
DME 환자의 73.7% 그리고 VISTA
DME 환자의 98.3%에 대해 DRSS 점수를 매길 수 있었다. 52주 째에 애플리버셉트 2Q8군의 27.7% 및 29.1% 그리고 대조군의 7.5% 및 14.3%가 DRSS의 ≧2단계 개선을 경험하였다. 100주 째에 그 비율은 애플리버셉트 2Q8군의 경우 32.6% 및 37.1%였으며 대조군의 경우 8.2% 및 15.6%였다.
VIOLET 연구는 당뇨병성 황반부종 치료를 위해 첫 5개월 동안 매월 1회 투여하고 이후 2개월마다 1회 투여하여 최소 1년 동안 고정 간격으로 치료한 후, 애플리버셉트 2mg의 세 가지 다른 투여 요법을 비교했다. 환자는 VIOLET 연구의 베이스라인 방문 후 다음 투여요법 중 하나에 따라 애플리버셉트 2 mg으로 치료를 계속했다:
◦ 치료 간격을 최소 8주로 유지한 후 임상 및 해부학적 검사 결과에 근거하여 투여간격을 점진적으로 연장한 treat ‑and ‑extend 용량 요법(2T&E)
◦ 4주마다 환자를 관찰 후 임상 및 해부학적 검사 결과에 따라 필요할 때 주입한 pro re nata (2PRN) 요법
◦ 치료 2년차 및 3년차에 8주마다 (2Q8) 투여한 요법
연구의 52주, 즉 최소 2년의 치료 후 베이스라인 대비 CRT의 평균 변화는 2T&E, 2PRN, 2Q8에서 각각 ‑2.1, 2.2, ‑18.8 μm이었다. 100주차, 즉 최소 3년 이상의 치료 후 베이스라인에서 CRT의 평균 변화는 각각 2.3, ‑13.9, ‑15.5 μm이었다. (임상적 유효성 및 안전성 항 참조)
(4) 근시성 맥락막 신생혈관
근시성 맥락막 신생혈관(근시성 CNV)은 병적 근시가 있는 성인에서 흔한 시력 상실의 원인이다. 이것은 브루크막(Bruch’s membrane) 파열에 따른 상처 치유 기전으로 발생하며 병적 근시 중 가장 시력을 위협하는 사건이다.
MYRROR 연구에서 애플리버셉트을 투여받은 환자의 경우(치료 시작 시 1회 주사, 질병이 지속되거나 재발하는 경우 추가 주사), 투여 시작 후 곧 CRT가 감소하여 24주 째 애플리버셉트에 대해 우호적인 결과를 보였으며(애플리버셉트 2 mg 투여군 및 대조군의 경우 ‑79 μm 및 ‑4 μm), 48주째까지 유지되었다. 또한, 평균 CNV 병변 크기가 감소하였다.
3) 임상적 유효성 및 안전성
(1) 습성 연령 관련 황반 변성
애플리버셉트의 안전성 및 유효성은 습성 연령 관련 황반 변성 환자를 대상으로 한 2건의 무작위배정, 다기관, 이중눈가림, 활성 대조 연구(VIEW1 및 VIEW2)에서 평가되었으며, 총 2,412명의 환자가 투여 받았고 유효성 평가가 가능했다(애플리버셉트 1,817명). 환자 연령은 49세부터 99세였고 평균은 76세였다. 이러한 임상연구 중 애플리버셉트 투여군에 무작위배정된 환자 약 89%(1,616명/1,817명)이 65세 이상이었고, 약 63%(1,139명/1,817명)가 75세 이상이었다. 각 연구에서 4가지 투여 요법 중 한가지에 환자를 1:1:1:1 비율로 무작위배정했다.
⓵ 첫 3개월 동안 매월 투여한 이후 8주마다 애플리버셉트 2 mg 투여(애플리버셉트 2Q8)
⓶ 4주마다 애플리버셉트 2 mg 투여(애플리버셉트 2Q4)
⓷ 4주마다 애플리버셉트 0.5 mg 투여(애플리버셉트 0.5Q4)
⓸ 4주마다 라니비주맙 0.5 mg 투여(라니비주맙 0.5Q4)
연구 2년차에 환자들은 계속 최초 무작위배정된 군의 투여를 받았지만 시력 및 해부학적 결과의 평가에 따라 수정된 투여 일정을 따랐으며 최대 투여 간격은 연구계획서에 정의된 12주였다.
두 연구에서 일차 유효성 평가변수는 시력을 유지한 계획서 순응 임상시험대상자군(Per Protocol Set)의 환자, 즉 52주 째에 베이스라인 대비 15글자 미만의 시력을 소실한 환자의 비율이었다.
VIEW1 연구의 경우 52주 째에 라니비주맙 0.5Q4군의 환자 94.4% 대비 애플리버셉트 2Q8군 환자 95.1%가 시력을 유지하였다. VIEW2 연구의 경우 52주 째에 라니비주맙 0.5Q4군 환자 94.4% 대비 애플리버셉트 2Q8군의 환자 95.6%가 시력을 유지하였다. 두 연구에서 모두 라니비주맙 0.5Q4군 대비 애플리버셉트의 비 열등성과 임상적 동등성을 보였다.
두 연구의 자세한 통합 분석 결과는 아래 표 2 및 그림 1에서 확인할 수 있다.
표 2 : 52주(일차 분석) 및 96주 째의 유효성 결과; VIEW1 및 VIEW2 연구
B)의 통합 데이터
|
유효성 결과 |
애플리버셉트 2Q8E)
(첫 3개월 동안 매월 투여 이후 8주마다 2 mg 투여)
(N = 607) |
라니비주맙 0.5Q4
(4주마다 라니비주맙 0.5 mg 투여)
(N = 595) |
|
52주 |
96주 |
52주 |
96주 |
|
베이스라인 대비 평균 주사 횟수 |
7.6 |
11.2 |
12.3 |
16.5 |
|
52주부터 96주 째까지 평균 주사 횟수 |
|
4.2 |
|
4.7 |
|
베이스라인 대비
<15글자 소실 환자 비율(PPSA)) |
95.33%B) |
92.42% |
94.42%B) |
91.60% |
|
차이C)
(95% CI)D) |
0.9%
(-1.7, 3.5)F) |
0.8%
(-2.3, 3.8)F) |
|
|
|
베이스라인 대비 ETDRSA) 글자 점수로 측정한 BCVA의 평균 변화 |
8.40 |
7.62 |
8.74 |
7.89 |
|
LSA) 평균 변화의 차이(ETDRS글자)C)
(95% CI)D) |
-0.32
(-1.87, 1.23) |
-0.25
(-1.98, 1.49) |
|
|
|
베이스라인 대비
≥15글자 획득 환자 비율 |
30.97% |
33.44% |
32.44% |
31.60% |
|
차이C)
(95% CI)D) |
-1.5%
(-6.8, 3.8) |
1.8%
(-3.5, 7.1) |
|
|
A) BCVA: 최대교정시력
ETDRS: Early Treatment Diabetic Retinopathy Study LS: ANCOVA에서 도출한 최소 제곱 평균
PPS(Per Protocol Set): 계획서 순응 임상시험대상자군
B) 모든 분석 대상자군(FAS), 모든 분석에서 52주 째에 시력을 유지한 PPS 환자의 비율을 제외한 마지막 관찰 이월(Last Observation Carried Forward, LOCF)
C) 애플리버셉트군의 값에서 라니비주맙군의 값을 뺀 값이다. 양의 값은 애플리버셉트에 우호적인 결과이다.
D) 정규 근사로 계산한 신뢰 구간(CI)
E) 첫 3개월간 매월 투여 시작 후
F) 전체적으로 ‑10% 위에 있는 신뢰 구간은 애플리버셉트가 라니비주맙보다 열등하지 않음을 나타낸다.
그림 1 : View1 및 View2 연구의 통합 데이터에 따른 베이스라인으로부터 96주까지 시력의 평균 변화

VIEW1 및 VIEW2의 통합 데이터 분석에서 사전 지정된 이차 유효성 평가변수인 국립안연구센터 시각기능설문지(NEI VFQ ‑25)를 통해 애플리버셉트은 라니비주맙과 임상적으로 의미 있는 차이 없이 베이스라인 대비 임상적으로 의미 있는 변화를 입증하였다. 이 변화의 정도는 출판된 연구들에서 확인된 것과 유사했으며 최대교정시력(BCVA) 15글자 획득에 해당했다.
연구 2년차에 96주 째의 마지막 평가까지 대체로 유효성이 유지되었고, 환자의 2~4%는 매달 모든 주사를 필요로 했으며, 환자 중 3분의 1은 주사 투여가 최소 1회 요구되었으며 투여 간격은 단 1개월이었다.
평균 CNV 면적의 감소는 두 연구의 모든 투여군에서 명확했다.
각 연구 및 통합 분석의 평가 가능한 모든 하위군(예: 연령, 성별, 인종, 베이스라인 시력, 병변 유형, 병변 크기)에서 유효성 결과는 전체 모집단의 결과와 일관적이었다.
ALTAIR 연구는 96주의 다기관, 무작위배정, 공개(open label) 4상 임상시험으로, 치료 경험이 없는 247명의 습성 연령 관련 황반변성 환자들이 등록되었고 treat ‑and ‑extend 용량 요법을 사용하여 2개의 서로 다른 간격 조정군(2주 간격 또는 4주 간격)에 대한 애플리버셉트의 안전성과 유효성을 평가하도록 설계되었다.
모든 환자들에게 첫 3개월 동안 매달 애플리버셉트 2 mg을 투여하고 2개월 뒤 1회 투여했다. 16주째, 환자들을 두 치료군으로 1:1 무작위 배정했다: 1) 2주 간격으로 조정한 treat ‑and ‑extend 군, 2) 4주 간격으로 조정한 treat ‑and ‑extend 군
|
간격 연장 |
간격 유지 |
간격 단축 |
|
- 액체가 관찰되지 않음*
그리고
- 5자 이상의 ETDRS 글자 소실† 없음
- 100 µm 이상의 CRT 증가‡ 없음
- 새로운 신생혈관 형성 없음
- 새로운 황반 출혈 없음 |
- 잔류 액체의 양 감소*
그리고
- 새로운 액체가 관찰되지 않음*
그리고
- 5자 이상의 ETDRS 글자 소실† 없음
- 100 µm 이상의 CRT 증가‡ 없음
- 새로운 신생혈관 형성 없음
- 새로운 황반 출혈 없음 |
- 새로운 액체의 관찰*
또는
- 잔류 액체의 양이 변화가 없거나 증가*
또는 다음 중 어느 하나라도 해당하는 경우:
- 5자 이상의 ETDRS 글자 소실†
- 100 µm 이상의 CRT 증가‡
- 새로운 신생혈관 형성
- 새로운 황반 출혈 |
두 군 모두에 대해 계획서에 정의된 시력 및/또는 해부학적 기준에 근거하여, 투여 간격 8주 ~ 16주 범위 내에서 투여 간격의 연장이나 단축을 결정했다. 16주차 무작위 배정 이후 치료 기간 동안, 다음 번 유리체내 주사 시점은 매 치료 방문 시 아래 기준을 참조하여 의료진이 결정하였다.
* 결정은 OCT로 평가한 T&E 용량 요법 기준에 근거하였다.
† OCT에서 재발된 액체의 관찰을 동반한 이전 치료 대비 5자 이상의 ETDRS 글자 소실.
‡ OCT로 측정한 이전 최저값 대비 100 μm 이상의 CRT 증가.
투여 간격 단축 후 재 ‑연장 및 간격 연장 이후 재 ‑단축은 2주 간격으로 조정되었다.
CRT, central retinal thickness; ETDRS, Early Treatment Diabetic Retinopathy Study; OCT, optical coherence tomography; T&E, treat ‑and ‑extend.
일차 유효성 평가 변수는 베이스라인 대비 52주째의 BCVA 평균 변화였다. 2차 유효성 평가 변수는 15자 이상 소실되지 않은 환자의 비율과 52주까지 BCVA가 15글자 이상 개선된 환자의 비율이었다.
52주째, 2주 간격 조정군의 환자들에서 베이스라인으로부터 평균 9.0글자가 개선되었고 4주 간격 조정군의 환자들에서는 평균 8.4글자가 개선되었다. [LS 평균 차 (95% CI): ‑0.4 ( ‑3.8,3.0), ANCOVA]. 양 쪽 군에서 15글자 이상이 소실되지 않은 환자의 비율은 비슷했다 (2주 간격 조정군 96.7% 및 4주 간격 조정군 95.9%). 52주째 15글자 이상이 개선된 환자의 비율은 2주 간격 조정군에서 32.5%였고 4주 간격 조정군에서 30.9% 이었다.
투여 간격을 12주 또는 그 이상까지 연장한 환자의 비율은 2주 간격 조정군에서 42.3%였고 4주 간격 조정군에서 49.6% 이었다. 추가적으로, 4주 간격 조정군에서 40.7%의 환자들이 16주까지 투여 간격을 연장했다. 52주까지의 마지막 방문에서, 2주 간격 및 4주 간격 조정군의 각 56.8% 및 57.8%의 환자들은 12주 또는 그 이상의 간격으로 다음 주사 일정이 예정되었다.
연구 2년차에, 마지막 평가를 했던 96주까지 유효성은 대체로 유지되었고, 2주 간격 조정군은 베이스라인으로부터 평균 7.6글자, 4주 간격 조정군은 베이스라인으로부터 평균 6.1글자가 개선되었다. 투여 간격을 12주 또는 그 이상 연장한 환자들의 비율은 2주 간격 조정 군에서는 56.9%였고, 4주 간격 조정군에서는 60.2% 이었다. 96주 이전에 마지막으로 방문하였을 때는 2주 간격의 조정군에서 64.9%, 4주 간격의 조정군에서 61.2%의 환자들이 각각 다음 주사 일정을 12주 후 또는 그 이후로 계획했다.
16주와 96주 사이에 최대 16주까지 투여 간격으로 최소 1회 이상 연장한 환자들의 비율은 2주 간격 조정군에서는 43.1%였고, 4주 간격 조정군에서는 54.5%였다. 이들 환자 중 2주 간격 조정군의 96.2%, 4주 간격 조정군의 77.6%는 연구가 끝날 때까지 16주 투여 간격을 유지했다.
96주의 연구 기간 동안 2주 및 4주 간격 조정군 환자의 41.5%와 46.3%는 최종 투여 간격이 16주였다.
치료 2년차에 주사 투여 횟수는 2주 간격 조정군이 평균 3.6회, 4주 간격 조정군이 평균 3.7회였다. 2년간의 치료 기간 동안 환자들의 평균 주사 투여 횟수는 10.4회였다.
눈 및 전신 안전성 프로파일은 주요 임상 시험인 VIEW1 과 VIEW2에서 관찰된 것과 유사했다.
ARIES는 치료 경험이 없는 습성 연령 관련 황반 변성 환자 269명을 대상으로 104주 동안 진행된 다기관, 무작위 배정, 공개, 활성 대조 연구로, 치료 1년 이후 treat ‑and ‑extend 용량 요법을 시작한 군 대비 첫 3개월 동안 애플리버셉트 2 mg 을 매 달 주사하고 2개월로 치료 간격을 연장한 후 treat ‑and ‑extend 용량요법을 시작한 군의 비열등성을 유효성과 안전성 측면에서 평가하도록 설계되었다.
1차 유효성 평가 변수는 16주 (무작위 배정)에서 104주까지의 BCVA의 변화였다. 16주에서 104주까지의 평균 BCVA 변화는 Early start treat ‑and ‑extend군에서 ‑2.1 ± 11.4글자, Late start treat ‑and ‑extend군에서 ‑0.4 ± 8.4글자로 통계적 비열등성을 달성했다(p = 0.0162). BCVA(베이스라인으로부터 104주까지, 2차 평가 변수)는 Early start군의 경우 60.2에서 64.5글자로 변했고, Late start군의 경우 61.3에서 69.2로 변했다. 16주에서 52주까지 BCVA의 개선은 치료군간에 유사했다(Early start군의 경우 1.3 ± 6.4 글자, Late start군의 경우 2.0 ± 5.3글자).
ARIES 연구는 또한 연구자의 결정에 따라 매 8주보다 더 빈번한 치료가 필요했던 환자의 비율을 연구했다. 연구 기간 동안 269명의 환자 중 62명이 적어도 한 번 더 빈번한 치료를 받았다. 이러한 환자는 연구에 남아 연구자의 최선의 임상적 판단에 따라 치료를 받았지만 매 4주보다 더 자주 치료받지는 않았으며 이들의 치료 간격은 이후에 다시 연장될 수 있었다. 더 자주 치료하기로 결정한 후의 평균 투여 간격은 6.1주였다. 104주째, 연구 기간 동안 적어도 한 번 더 집중적인 치료를 필요로 했던 환자군의 BCVA는 그렇지 않았던 환자군 대비 낮았다. 베이스라인으로부터 연구 종료시점까지의 BCVA 평균변화는 +2.3 ± 15.6글자였다. 더 자주 치료받은 환자들 중, 85.5%는 15글자 미만을 소실하여 시력을 유지했고, 19.4%는 15글자 이상의 개선을 나타냈다.
눈 및 전신 안전성 프로파일은 확증적 임상시험 VIEW1과 VIEW2에서 관찰된 안전성 결과와 유사했다.
(2) 망막중심정맥폐쇄에 의한 황반부종
애플리버셉트의 안전성 및 유효성은 망막중심정맥폐쇄에 의한 황반부종 환자를 대상으로 한 2건의 무작위배정, 다기관, 이중눈가림, 샴(sham) ‑대조 연구(COPERNICUS 및 GALILEO)에서 평가되었으며, 총 환자 358명이 투여 받았고 유효성 평가가 가능했다 (애플리버셉트 217명). 환자 연령은 22세부터 89세였고 평균은 64세였다. 망막중심정맥폐쇄 연구에서 애플리버셉트 투여군에 무작위배정된 환자 중 약 52%(112명/217명)가 65세 이상이었으며, 약 18%(38명/217명)가 75세 이상이었다. 두 연구에서 총 6회의 주사를 환자에게 투여했으며 애플리버셉트 2 mg(2Q4)을 매 4주마다 투여 받는 군 또는 샴(Sham) 주사를 매 4주마다 투여받는 대조군에 3:2 비율로 환자를 무작위배정했다.
6개월간 매월 연속으로 주사 이후, 52주째까지 계속 샴(Sham) 주사를 투여 받은 GALILEO 연구의 대조군 환자를 제외하고, 사전 명시된 재투여 기준을 만족한 환자에 한하여 투여했다. 이후 시점부터 모든 환자에 대해 사전 지정된 기준을 충족한 경우에만 투여했다.
두 연구에서 일차 유효성 평가변수는 24주째에 베이스라인 대비 BCVA에서 최소 15글자를 획득한 환자의 비율이었다. 이차 유효성 변수는 베이스라인 대비 24주째의 시력 변화였다.
두 연구에서 투여군 간 차이는 애플리버셉트에 우호적이었으며 통계적으로 유의하였다. 시력의 최대 개선은 3개월째에 달성되었으며 이후 6개월까지 시력 및 CRT의 안정화가 유지되었다. 통계적으로 유의한 차이는 52주째동안 유지되었다.
두 연구의 자세한 분석 결과는 아래 표 3 및 그림 2에서 확인할 수 있다.
표 3 : COPERNICUS 및 GALILEO 연구의 24주, 52주, 76주/100주째의 유효성 결과(LOCF
C)에 따른 모든 분석 대상자군)
|
유효성 결과 |
COPERNICUS |
GALILEO |
|
24주 |
52주 |
100주 |
24주 |
52주 |
76주 |
|
애플리버셉트 2 mg Q4
(N=114) |
대조군
(N=73) |
애플리버셉트
2 mg
(N=114) |
대조군E)
(N =73) |
애플리버셉트F)
2 mg
(N=114) |
대조군
E,F)
(N=73) |
애플리버셉트
2 mg Q4
(N=103) |
대조군
(N=68) |
애플리버셉트
2 mg
(N=103) |
대조군
(N=68) |
애플리버셉트G)
2 mg
(N = 103) |
대조군G)
(N = 68) |
|
베이스라인 대비 ≥15글자 획득 환자 비율 |
56% |
12% |
55% |
30% |
49.1% |
23.3% |
60% |
22% |
60% |
32% |
57.3% |
29.4% |
|
가중 차이A,B,E)
(95% CI) |
44.8%
(33.0,56.6) |
|
25.9%
(11.8, 40.1) |
|
26.7%
(13.1,40.3) |
|
38.3%
(24.4,52.1) |
|
27.9%
(13.0,42.7) |
|
28.0%
(13.3,42.6) |
|
|
p값 |
p <0.0001 |
p = 0.0006 |
p = 0.0003 |
p <0.0001 |
p = 0.0004 |
p = 0.0004 |
|
베이스라인 대비 ETDRSC) 글자 점수로 측정한 BCVAC)의 평균 변화(SD) |
17.3
(12.8) |
-4.0
(18.0) |
16.2
(17.4) |
3.8
(17.1) |
13.0
(17.7) |
1.5
(17.7) |
18.0
(12.2) |
3.3
(14.1) |
16.9
(14.8) |
3.8
(18.1) |
13.7
(17.8) |
6.2
(17.7) |
|
LS 평균 차이A,C,D,E)
(95% CI) |
21.7
(17.4,26.0) |
|
12.7
(7.7, 17.7) |
|
11.8
(6.7, 17.0) |
|
14.7
(10.8, 18.7) |
|
13.2
(8.2, 18.2) |
|
7.6
(2.1, 13.1) |
|
|
p값 |
p <0.0001 |
p <0.0001 |
p <0.0001 |
p <0.0001 |
p <0.0001 |
p =0.0070 |
A) 애플리버셉트 2 mg Q4군의 값에서 대조군의 값을 뺀 값
B) 차이 및 신뢰 구간(CI)은 지역(COPERNICUS는 미국 대 그 외 국가, GALILEO는 유럽 대 아시아/태평양) 및 베이스라인 BCVA 분류(> 20/200 및 ≦ 20/200)에 대해 조정된 Cochran ‑Mantel ‑Haenszel(CMH) 검정에 따라 계산
C) BCVA: 최대교정시력
ETDRS: Early Treatment Diabetic Retinopathy Study
LOCF: Last Observation Carried Forward
SD: 표준 편차
LS: ANCOVA에서 도출한 최소 제곱 평균
D) 투여군, 지역(COPERNICUS는 미국 대 그 외 국가, GALILEO는 유럽 대 아시아/태평양), 베이스라인 BCVA 분류(> 20/200 및 ≦ 20/200) 등 요인별 ANCOVA 모델에 기반한 LS 평균 차이 및 신뢰 구간
E) COPERNICUS 연구에서 대조군 환자는 24주부터 52주째까지 필요 시 애플리버셉트을 4주마다 투여 받을 수 있었다. 환자는 4주마다 방문했다.
F) COPERNICUS 연구에서 대조군 및 애플리버셉트 2 mg 투여군 환자는 52주부터 96주째까지 필요 시 애플리버셉트 2 mg을 4주마다 투여 받았다. 환자는 분기마다 필수 방문을 했지만, 필요 시 4주마다 방문할 수 있었다.
G) GALILEO 연구에서 대조군 및 애플리버셉트 2 mg 투여군 환자는 52주부터 68주째까지 필요 시 애플리버셉트 2 mg을 8주마다 투여 받았다. 환자는 8주마다 필수 방문을 했다.
그림 2 : COPERNICUS 및 GALILEO 연구의 베이스라인으로부터 76주/100주까지 투여군별 평균 시력 변화(모든 분석 대상자군)

GALILEO 연구의 베이스라인 시점에 애플리버셉트 투여군의 86.4%(n=89) 및 샴(sham)군의 79.4%(n=54)가 관류성 CRVO 환자였다. 24주째에 관류성 CRVO 환자의 비율은 애플리버셉트 투여군이 91.8%(n=89)였고 샴(Sham)군은 85.5%(n=47)였다. 이러한 비율은 76주째에 유지되었으며, 애플리버셉트 투여군이 경우 84.3%(n=75)였고 샴(Sham)군은 84.0%(n=42)였다.
COPERNICUS 연구의 베이스라인 시점에 애플리버셉트 투여군의 67.5%(n = 77) 및 샴(Sham)군의 68.5%(n = 50)가 관류성 망막중심정맥폐쇄 환자였다. 24주 째에 관류성 망막중심정맥폐쇄 환자의 비율은 애플리버셉트 투여군이 87.4%(n = 90)였고 샴(Sham)군은 58.6%(n = 34)였다. 이러한 비율은 100주째에 유지되었으며, 애플리버셉트 투여군이 76.8%(n = 76)였고 샴(Sham)군은 78%(n = 39)였다. 샴(Sham)군의 환자는 24주째부터 애플리버셉트을 투여 받을 수 있었다.
시각 기능에 대한 애플리버셉트 투여의 유익한 효과는 관류성 및 비관류성 환자들로 구성된 베이스라인 하위군들에서 비슷하였다. 각 연구의 다른 하위군들(예: 연령, 성별, 인종, 베이스라인 시력, 망막중심정맥폐쇄 기간)에서 투여 효과는 대체로 전체 모집단의 결과와 일관적이었다.
GALILEO 및 COPERNICUS의 통합 데이터 분석 결과 애플리버셉트은 사전 지정된 이차 유효성 평가변수인 국립안연구센터 시각기능설문지(NEI VFQ ‑25)에서 베이스라인 대비 임상적으로 의미 있는 변화를 입증하였다. 이러한 변화의 정도는 출판된 연구들에서 확인된 것과 유사했으며 최대교정시력(BCVA) 15글자 획득에 해당했다.
(3) 망막분지정맥폐쇄에 의한 황반부종
애플리버셉트의 안전성 및 유효성은 절반 ‑망막 정맥 폐쇄(Hemi ‑Retinal Vein Occlusion)를 포함한 망막분지정맥폐쇄에 의한 황반부종 환자를 대상으로 한 무작위배정, 다기관, 이중눈가림, 활성 대조 연구(VIBRANT)에서 평가되었다. 총 181명의 환자가 투여 받았고 유효성 평가가 가능했다 (애플리버셉트 91명). 환자 연령은 42세부터 94세였고 평균은 65세였다. 망막분지정맥폐쇄 연구에서 애플리버셉트 투여군에 무작위배정된 환자 중 약 58%(53명/91명)가 65세 이상이었으며, 약 23%(21명/91명)가 75세 이상이었다. 이 연구에서 환자들은 첫 6개월동안 매월 주사 이후 8주마다 애플리버셉트 2 mg을 투여받는 군 또는 베이스라인 시점에 레이저 광응고 치료를 받는 군 (레이저 대조군)에 1:1 비율로 무작위배정되었다. 레이저 대조군의 환자는 12주째부터 최소 12주 간격으로 추가 레이저 광응고(‘구제 레이저 요법’)치료를 받을 수 있었다. 사전 명시된 기준에 따라 레이저군의 환자는 24주째부터 애플리버셉트 2 mg을 3개월 동안 4주간격으로 투여한 후 8주마다 투여하는 구제 요법을 받을 수 있었다.
VIBRANT 연구에서 일차 유효성 평가변수는 베이스라인 대비 24주째 BCVA에서 최소 15글자를 획득한 환자의 비율이었고, 애플리버셉트 투여군은 레이저 대조군보다 우월했다.
이차 유효성 평가변수는 베이스라인 대비 24주째의 시력 변화였고, VIBRANT 연구에서 애플리버셉트에 우호적이며 통계적으로 유의한 결과를 보였다. 시력 개선의 경과는 신속하였으며 3개월째에 최대 개선을 보인 후 12개월째까지 효과가 유지되었다.
레이저군에서 환자 67명이 24주째부터 애플리버셉트으로 구제 요법을 받았으며(활성 대조군/ 애플리버셉트 2 mg군), 그 결과 24주부터 52주째까지 약 5글자의 시력이 개선 되었다.
VIBRANT 연구의 자세한 분석 결과는 아래 표 4 및 그림 3에서 확인할 수 있다.
표 4 : VIBRANT 연구의 24주 및 52주째 유효성 결과(LOCF에 따른 모든 분석 대상자군)
|
유효성 결과 |
VIBRANT |
|
24주 |
52주 |
|
|
애플리버셉트
2 mg Q4
(N = 91) |
활성대조군
(레이저)
(N = 90) |
애플리버셉트
2 mg Q8
(N = 91)D) |
활성 대조군
(레이저)/
애플리버셉트
2 mgE)
(N= 90) |
|
베이스라인 대비
≥15글자 획득
환자 비율(%) |
52.7% |
26.7% |
57.1% |
41.1% |
|
가중 차이A,B)(%)
(95% CI)
p값 |
26.6%
(13.0, 40.1)
p=0.0003 |
|
16.2%
(2.0, 30.5)
p=0.0296 |
|
|
베이스라인 대비
ETDRS 글자 점수로 측정한 BCVA의 평균 변화(SD) |
17.0
(11.9) |
6.9
(12.9) |
17.1
(13.1) |
12.2
(11.9) |
|
LS 평균 차이A,C)
(95% CI)
p값 |
10.5
(7.1, 14.0)
p<0.0001 |
|
5.2
(1.7, 8.7)
p=0.0035F) |
|
A) 애플리버셉트 2 mg Q4군의 값에서 레이저 대조군의 값을 뺀 값
B) 차이 및 95% CI는 지역(북미 대 일본) 및 베이스라인 BCVA 분류(> 20/200 및 ≦ 20/200)에 대해 조정된 Mantel ‑Haenszel 가중 방법에 따라 계산
C) 투여군, 베이스라인 BCVA 분류(> 20/200 및 ≦ 20/200), 지역(북미 대 일본)을 고정 효과(fixed effect)로 하고 베이스라인 BCVA를 공변량으로 한 ANCOVA 모델에 따른 LS 평균 차이 및 95% CI.
D) 애플리버셉트 투여군의 투여 간격은 24주부터 48주째까지 모든 연구대상자에 대해 4주에서 8주로 연장되었다.
E) 24주째부터 레이저군의 연구대상자는 사전 명시된 적격성 기준 중 최소 하나를 만족하는 경우 애플리버셉트으로 구제 요법을 받을 수 있었다. 이 군에서 총 67의 시험대상자가 애플리버셉트으로 구제 요법을 받았다. 애플리버셉트의 고정 구제 요법은 4주마다 애플리버셉트 2 mg을 3회 투여한 이후 8주마다 주사하는 것이었다.
F) 명목(nominal) p값
그림 3 : VIBRANT 연구에서 베이스라인으로부터 52주째까지 ETDRS 글자 점수로 측정한 평균 BCVA 변화

베이스라인에서 관류성 환자의 비율은 애플리버셉트 투여군 및 레이저군에서 각각 60% 및 68%였다. 24주째에 이 비율은 각각 80% 및 67%였다. 애플리버셉트 투여군에서 관류성 환자의 비율은 52주째동안 유지되었다. 레이저군에서, 24주째부터 애플리버셉트으로 구제 요법을 받을 수 있는 관류성 환자의 비율은 52주째까지 78%까지 증가했다.
(4) 당뇨병성 황반부종
애플리버셉트의 안전성 및 유효성은 당뇨병성 황반부종 환자를 대상으로 한 2건의 무작위배정, 다기관, 이중눈가림, 활성 대조 연구(VIVIDDME 및 VISTADME)에서 평가되었다 총 862의 환자가 투여받았고 유효성 평가가 가능했다(애플리버셉트 576명). 환자 연령은 23세부터 87세였고 평균은 63세였다. 당뇨병성 황반부종 연구에서 애플리버셉트 투여군에 무작위배정된 환자 중 약 47%(268명/576명)가 65세 이상이었으며, 약 9%(52명/576명)가 75세 이상이었다. 두 연구에서 상당 수의 환자가 제II형 당뇨병 환자였다.
두 연구에서 3가지 투여 요법 중 한가지에 1:1:1 비율로 환자를 무작위배정했다.
1) 첫 5개월동안 매월 주사 후 8주마다 애플리버셉트 2 mg 투여(애플리버셉트 2Q8)
2) 4주마다 애플리버셉트 2 mg 투여(애플리버셉트 2Q4)
3) 황반 레이저 광응고(활성 대조군)
24주째부터 사전 지정된 시력 상실 임계값을 충족한 환자는 추가 투여를 받을 수 있었다: 애플리버셉트 투여군의 환자는 레이저 치료를 받을 수 있었고 대조군의 환자는 애플리버셉트 투여를 받을 수 있었다.
두 연구의 일차 유효성 평가변수는 52주째의 베이스라인 대비 평균 BCVA 변화였으며, 애플리버셉트2Q8군 및 애플리버셉트 2Q4군 모두 통계적 유의성을 입증하였고 대조군에 비해 우월했다. 이러한 유익성은 100주째동안 유지되었다.
VIVIDDME 및 VISTADME 연구의 자세한 분석 결과는 아래 표 5 및 그림 4에서 확인할 수 있다.
표 5 : VIVIDDME 및 VISTADME 연구의 52주 및 100주째의 유효성 결과(LOCF에 따른 모든 분석 대상자군)
|
유효성 결과
|
VIVIDDME |
VISTADME |
|
52주 |
100주 |
52주 |
100주 |
|
애플리버셉트
2 mg Q8A)
(N=135) |
애플리버셉트
2 mg Q4
(N=136) |
활성 대조군
(레이저)
(N=132) |
애플리버셉트
2 mg Q8A)
(N=135) |
애플리버셉트
2 mg Q4
(N=136) |
활성 대조군
(레이저)
(N=132) |
애플리버셉트
2 mg Q8A)
(N =151) |
애플리버셉트
2 mg Q4
(N=154) |
활성 대조군
(레이저)
(N=154) |
애플리버셉트
2 mg Q8A)
(N=151) |
애플리버셉트
2 mg Q4
(N=154) |
활성 대조군
(레이저)
(N=154) |
|
베이스라인 대비 ETDRSE) 글자 점수로 측정한 BCVA의 평균 변화 |
10.7 |
10.5 |
1.2 |
9.4 |
11.4 |
0.7 |
10.7 |
12.5 |
0.2 |
11.1 |
11.5 |
0.9 |
|
LS 평균 차이B,C,E) (97.5% CI) |
9.1
(6.3, 11.8) |
9.3
(6.5, 12.0) |
|
8.2
(5.2, 11.3) |
10.7
(7.6, 13.8) |
|
10.45
(7.7, 13.2) |
12.19
(9.4, 15.0) |
|
10.1
(7.0, 13.3) |
10.6
(7.1, 14.2) |
|
|
베이스라인 대비 ≥15글자 획득 환자 비율 |
33% |
32% |
9% |
31.1% |
38.2% |
12.1% |
31% |
42% |
8% |
33.1% |
38.3% |
13.0% |
|
가중 차이D,C,E)
(97.5% CI) |
24%
(13.5, 34.9) |
23%
(12.6, 33.9) |
|
19.0%
(8.0, 29.9) |
26.1%
(14.8, 37.5) |
|
23%
(13.5, 33.1) |
34%
(24.1, 44.4) |
|
20.1%
(9.6, 30.6) |
25.8%
(15.1, 36.6) |
|
A) 첫 5개월 동안 매월 주사 투여 시작 후
B) 베이스라인 BCVA 측정치를 공변량 및 투여군에 대한 요인으로 한 ANCOVA 모델에 따른 LS 평균 및 CI. 또한, 지역(유럽/호주 대 일본)이 VIVIDDME에 대한 요인으로 포함되었으며 MI 및/또는 CVA 병력이 VISTADME에 대한 요인으로 포함됨
C) 애플리버셉트 투여군에서 활성 대조군(레이저)의 값을 뺀 값
D) 신뢰 구간(CI) 차이 및 통계 검정의 경우 VIVIDDME는 지역(유럽/호주 대 일본) VISTADME는 MI 또는 CVA 병력에 대해 조정된 Mantel ‑Haenszel 가중 방법을 이용하여 계산
E) BCVA: 최대교정시력
ETDRS: Early Treatment Diabetic Retinopathy Study
LOCF: Last Observation Carried Forward
LS: ANCOVA에서 도출한 최소 제곱 평균
CI: 신뢰 구간
그림 4 : VIVIDDME 및 VISTADME 연구에서 베이스라인으로부터 100주째까지 ETDRS 글자 점수로 측정한 평균 BCVA 변화

각 연구 및 통합 분석의 평가 가능한 모든 하위군(예: 연령, 성별, 인종, 베이스라인 HbA1c, 베이스라인 시력, 이전 항 ‑VEGF 요법)의 투여 효과는 전체 모집단의 결과와 대체로 일관적이었다.
VIVIDDME 및 VISTADME 연구에서 각각 환자 36명(9%) 및 197명(43%)이 이전에 항 ‑VEGF 요법을 받았으며 3개월 이상의 휴약기가 있었다. 이전에 VEGF 억제제를 투여받은 하위군 환자에서의 투여 효과는 VEGF 억제제를 투여받은 적이 없는 환자에서의 결과와 비슷했다.
양측성 질환(bilateral disease)이 있는 환자는 의사가 필요하다고 판단한 경우 다른 쪽 눈에 항 ‑VEGF 치료제 투여를 받을 수 있었다. VISTADME 연구에서 애플리버셉트 투여군 환자 217명(70.7%)이 100주째까지 양쪽 눈에 애플리버셉트 투여를 받았다; VIVIDDME 연구에서는 애플리버셉트 투여군 환자 97명(35.8%)이 다른 쪽 눈에 다른 항 ‑VEGF 치료제 투여를 받았다.
당뇨병성 망막병증 임상시험 네트워크(DRCR.net)에서 독립적으로 실시한 항 ‑VEGF 치료제 비교 임상 시험(Protocol T)은 엄격한 광간섭 단층촬영(OCT) 및 시력 재치료 기준에 근거한 유연한 용량 요법(flexible dosing regimen)을 사용했다. 52주 시점의 유연한 용량용법을 적용한 애플리버셉트 투여군(n = 224)은 VIVIDDME 및 VISTADME 연구 애플리버셉트 2Q8 군과 평균 투여 횟수와 전체적 유효성에서 유사하였다. 평균 투여횟수는 9.2회, 베이스라인 대비 BCVA 평균변화는 13.3글자, 베이스라인 대비 15글자 이상 획득한 환자비율은 42%였다. 안전성 결과로서, 눈 및 눈 이외의 부작용(동맥 혈전색전성 사건(ATEs)포함)의 전반적 발병률은 연구 간과 각 연구의 모든 치료 그룹 사이에서 유사하였다.
VIOLET은 당뇨병성 황반부종 환자 463명을 대상으로 100주 동안 진행된 다기관, 무작위배정, 공개(open ‑label), 활성 대조군 연구였다. 환자들은 당뇨병성 황반부종 치료를 위해 첫 5개월 동안 매월 1회 투여하고 이후 2개월마다 1회 투여하여 최소 1년 동안 고정 간격으로 치료한 후 애플리버셉트 2 mg의 세 가지 투여요법 중 하나에 1:1:1 비율로 무작위 배정되었다.
이 연구는 치료 2년차와 3년차에 대해 매 8주마다 투여한 요법(2Q8) 대비 아래 투여 요법의 비열등성을 평가하였다.
◦ 치료 간격을 최소 8주로 유지하고 임상 및 해부학적 검사 결과에 따라 점차 연장하는 treat ‑and ‑extend 용량 요법(2T&E)에 따라 애플리버셉트 2 mg을 투여했다. 치료 간격의 증감은 연구자의 재량에 따라 결정되었으며, 연구에서 2주 간격의 증감이 권장되었다. 또한,
◦ 환자를 4주마다 관찰하고 임상 및 해부학적 검사 결과에 따라 필요 시 애플리버셉트 2 mg을 투여(2PRN)했다.
1차 유효성 평가변수 (베이스라인 대비 52주의 BCVA변화)는 2Q8군에서 0.4 ± 6.7글자 대비 2T&E군에서 0.5 ± 6.7글자, 2PRN 군에서 1.7 ± 6.8글자였으며, 통계적 비열등성(NI)을 달성하였다. (두 비교에 대해 P<0.0001 ; NI 한계 4글자)
베이스라인 대비 100주까지의 BCVA 변화도 52주까지의 결과와 일관되었다: 2Q8군에서 0.1 ± 7.2글자, 2T&E군에서 ‑0.1 ± 9.1글자, 2PRN 군에서 1.8 ± 9.0글자였다. 100주 동안 평균 주사 횟수는 2T&E, 2PRN, 2Q8에서 각각 10.0회, 11.5회, 12.3회였다.
모든 세 가지 투여군의 안구 및 전신 안전성 프로파일은 확증적 임상시험인 VIVID 및 VISTA에서 관찰된 것과 유사했다.
(5) 근시성 맥락막 신생혈관
애플리버셉트의 안전성 및 유효성은 치료 경험이 없는 아시아인 근시성 맥락막 신생혈관 환자를 대상으로 한 무작위배정, 다기관, 이중눈가림 연구에서 평가되었다. 총 환자 121명이 투여 받았고 유효성 평가가 가능했다 (애플리버셉트 90명). 환자 연령은 27세부터 83세였고 평균은 58세였다. 근시성 맥락막 신생혈관 시험에서 애플리버셉트 투여군에 무작위배정된 환자 중 약 36%(33명/91명)가 65세 이상이었으며, 약 10%(9명/91명)가 75세 이상이었다.
환자들은 애플리버셉트 2 mg 유리체내 투여군 또는 샴(Sham) 주사 군에 3:1의 비율로 무작위 배정되었다. 연구 시작 시점에 1회 투여 받고 일차 평가변수 평가 시점인 24주째까지 질병이 지속되거나 재발하는 경우 매 월 추가 주사를 투여했다. 24주째에, 처음 샴(Sham)군에 무작위배정되었던 환자는 애플리버셉트을 처음으로 투여 받을 수 있었다. 이후, 두 군의 환자는 질병이 지속되거나 재발하는 경우 추가 주사 투여를 받을 수 있었다.
투여군 간 차이는 24주째에 베이스라인 대비 일차 평가변수(BCVA의 변화) 및 확증적 이차 유효성 평가변수(BCVA에서 15글자를 획득한 환자의 비율)에 대해 애플리버셉트에 우호적이었으며 통계적으로 유의하였다. 두 평가변수의 차이는 48주째동안 유지되었다.
MYRROR 연구의 자세한 분석 결과는 아래 표 6 및 그림 5에서 확인할 수 있다.
표 6 : MYRROR 연구의 24주(일차 분석) 및 48주째의 유효성 결과(LOCFA)에 따른 모든 분석 대상자군)
|
유효성 결과 |
MYRROR |
|
24주 |
48주 |
|
애플리버셉트
2 mg
(N = 90) |
샴(Sham)
(N = 31) |
애플리버셉트
2 mg
(N = 90) |
샴(Sham) / 애플리버셉트 2 mg
(N = 31) |
|
베이스라인 대비 ETDRS글자 점수로 측정한 BCVAB)의 평균 변화(SD)B) |
12.1
(8.3) |
-2.0
(9.7) |
13.5
(8.8) |
3.9
(14.3) |
|
LS 평균 차이C,D,E)
(95% CI) |
14.1
(10.8, 17.4) |
|
9.5
(5.4, 13.7) |
|
|
베이스라인 대비 ≥15글자 획득 환자의 비율 |
38.9% |
9.7% |
50.0% |
29.0% |
|
가중 차이D,F)
(95% CI) |
29.2%
(14.4, 44.0) |
|
21.0%
(1.9, 40.1) |
|
A) LOCF: Last Observation Carried Forward
B) BCVA: 최대교정시력
ETDRS: Early Treatment Diabetic Retinopathy Study
SD: 표준 편차
C) LS 평균: ANCOVA 모델에서 도출한 최소 제곱 평균
D) CI: 신뢰 구간
E) 투여군, 국가(국가 지정)를 고정 효과로 하고 베이스라인 BCVA를 공변량으로 한
ANCOVA 모델에 따른 LS 평균 차이 및 95% CI.
F) 차이 및 95% CI는 국가(국가 지정)에 대해 조정된 Cochran ‑Mantel ‑Haenszel(CMH) 검정을 사용하여 계산
그림 5 : MYRROR 연구의 베이스라인에서 48주째까지 투여군별 평균 시력변화(모든 분석 대상자군, LOCF)

약동학적 특성
애플리버셉트은 눈의 국소 효과를 위해 유리체로 직접 투여한다.
1) 흡수/분포
애플리버셉트는 유리체 내 투여 후 눈에서 체순환으로 느리게 흡수되며 주로 체순환에서 VEGF와 비활성, 안정적 복합체로 관찰된다. 하지만 “유리된 애플리버셉트”만 내인성 VEGF와 결합할 수 있다.
신생 혈관 습성 연령 관련 황반 변성 환자 6명에서 빈번한 샘플링이 수행된 약동학 하위연구에서 유리된 애플리버셉트의 최대 혈장 농도(전신 Cmax)는 2 mg을 유리체내 주사한 이후 1~3일 내 평균 약 0.02 μg/mL(범위 0~0.054)으로 낮았으며, 투여 이후 2주 동안 거의 모든 환자에서 검출되지 않았다. 애플리버셉트는 4주마다 유리체내 투여 시 혈장에 축적되지 않는다.
유리 애플리버셉트의 평균 최대 혈장 농도는 동물 모델에서 전신 VEGF의 생체 활성을 50% 저해하는데 필요한 애플리버셉트 농도보다 약 50~500배 낮았다. 동물 모델에서 유리 애플리버셉트의 혈중 농도(circulating level)가 약 10 μg/mL에 도달했을 때 혈압 변화가 관찰되었고 농도가 약 1 μg/mL 아래로 감소한 후 베이스라인으로 돌아왔다. 환자에게 2 mg을 유리체내 투여한 후 건강한 자원자 대상 연구에서 유리 애플리버셉트의 평균 최대 혈장 농도는 전신 VEGF와 최대의 절반만큼 결합(half ‑maximally bind)하는데 필요한 애플리버셉트의 농도(2.91 μg/mL)보다 100배 이상 낮았다. 따라서 혈압 변화 등 전신 약력학 효과의 가능성은 낮다.
망막중심정맥폐쇄, 망막분지정맥폐쇄, 당뇨병성 황반 부종 또는 근시성 맥락막 신생혈관 환자를 대상으로 한 약동학 하위연구에서 혈장 내 유리 애플리버셉트의 평균 Cmax는 0.03~0.05 μg/mL 의 범위와 유사했으며 개별 값은 0.14 μg/mL를 초과하지 않았다. 이후, 유리 애플리버셉트의 혈장 농도는 대체로 일주일 이내에 정량 하한 아래 또는 유사한 값으로 감소하였다; 모든 환자들은 4주 후 다음 투여 전에 미검출 수준의 농도에 도달했다.
2) 제거
애플리버셉트은 단백질 기반 치료제이므로, 대사 연구는 수행되지 않았다.
유리 애플리버셉트는 VEGF와 결합하여 안정적인 비활성 복합체를 형성한다. 다른 거대 단백질과 마찬가지로, 유리 및 결합 애플리버셉트는 모두 단백질 이화작용으로 제거될 것으로 예상된다.
3) 신장애
애플리버셉트으로 신장애 환자를 대상으로 한 특정 연구는 수행되지 않았다.
40%(24% 경증, 15% 중등도, 1% 중증)의 신장애 환자를 포함했던 VIEW2 연구의 환자 약동학 분석 결과, 4주 또는 8주마다 유리체내 투여한 후 활성 약물의 혈장 농도에는 차이가 없었다.
GALILEO 연구의 망막중심정맥 폐쇄환자, VIVIDDME 연구의 당뇨병성 황반 부종 환자, MYRROR 연구의 근시성 맥락막 신생혈관 환자에서 유사한 결과를 보였다.
비임상 안전성 결과
비임상 연구에서의 반복 투여 독성에 대한 효과는 임상적 사용과의 관련성이 거의 없도록 의도된 임상 용량의 유리체내 투여 후 최대 사람 노출을 상당히 초과한 것으로 간주되는 전신 노출에서만 관찰되었다.
애플리버셉트를 유리체내 투여한 원숭이의 코선반(nasal turbinate)에서 최대 사람 노출을 초과한 전신 노출 시 호흡기 상피의 미란 및 궤양이 관찰되었다. Cmax및 AUC에 따른 유리 애플리버셉트의 전신 노출은 사람에서 유리체내 2 mg 투여 후 관찰된 값보다 각각 약 200배 및 700배 더 높았다. 원숭이에서 최대무독성량(NOAEL) 인 0.5mg/눈에서 전신 노출은 Cmax 및 AUC에 따라 각각 42배 및 56배 더 높았다.
애플리버셉트의 돌연변이 또는 발암 가능성에 대해 수행된 연구는 없다.
자궁 내 발생에 대한 애플리버셉트의 효과는 임신한 토끼를 대상으로 수행한 배태자 발생 연구에서 정맥 내 투여(3~60 mg/kg) 및 피하 투여(0.1~1 mg/kg)를 통해 확인되었다. 모성 NOAEL은 각각 3 mg/kg 또는 1 mg/kg 이었다. 발생 NOAEL은 확인되지 않았다. 0.1 mg/kg 용량에서 유리 애플리버셉트의 Cmax 및 누적 AUC에 기반한 전신 노출은 유리체내 2 mg 투여 이후 사람에서 관찰된 값보다 각각 약 17배 및 10배 더 높았다.
수컷 및 암컷 생식력에 대한 효과는 애플리버셉트를 3~30 mg/kg의 용량 범위로 원숭이 정맥 내 투여한 6개월간의 연구 중 일부로 평가되었다. 모든 용량 수준에서 암컷 생식 호르몬 농도 변화와 연관된 무월경 또는 불규칙한 월경 그리고 정자 형태 및 운동성의 변화가 관찰되었다. 3 mg/kg의 용량을 정맥 내 투여 시 관찰된 유리 애플리버셉트의 Cmax 및 AUC에 따르면 사람에서 유리체 내 2 mg 투여 후 관찰된 값보다 전신 노출이 각각 약 4,900배 및 1,500배 더 높았다. 모든 변화는 가역적이었다.
비교동등성 입증 정보
1) 이 약은 품질, 비임상, 임상 시험 결과 대조약과의 동등성이 입증되었다.
2) 이 약과 대조약의 동등성을 증명하기 위하여 신생혈관성(습성) 연령 관련 황반변성 환자 573명을 대상으로 치료적 확증 임상시험을 수행하였다. 치료 후 8주차에 측정된 최대 교정시력의 베이스라인 대비 변화 값을 통해 치료적 동등성이 확인되었다.