1. 다음 환자에는 투여하지 말 것
1) 이 약의 주성분 또는 첨가제에 대한 과민반응 병력이 있는 환자
2) 제1형 당뇨병 또는 당뇨병성 케톤산증 환자
3) 이 약은 유당을 함유한다. 갈락토오스 불내성(galactose intolerance), Lapp 유당분해효소 결핍증(Lapp lactase deficiency) 또는 포도당‑갈락토오스 흡수장애(glucose‑galactose malabsorption) 등의 유전적인 문제가 있는 환자에게는 투여하면 안 된다.
4) 투석 중인 환자
2. 다음 환자에는 신중히 투여할 것
1) 체액량 감소 및 신기능 장애가 있는 환자에서의 투여
이 약은 증상성 저혈압이나 크레아티닌의 급격하고 일시적인 변화로 나타날 수 있는 혈관 내 혈량 저하를 유발할 수 있다. 외국의 시판후 조사에서 이 약을 포함한 SGLT‑2 저해제를 투여한 환자에서 급성 신장손상이 보고되었으며, 일부는 입원과 투석을 필요로 하였다. 신기능 장애(eGFR 60mL/min/1.73m
2 미만), 고령자, 루프계 이뇨제 등을 사용하고 있는 환자에서 혈량 저하 또는 저혈압 위험이 증가할 수 있다. 이러한 특징들을 가진 환자에 대해 이 약의 투여를 시작하기 전 체액량 상태 및 신장 기능에 대한 평가가 필요하며, 투여를 시작한 후 저혈압 증상 및 징후와 신기능에 대해 모니터링 한다.
혈당 조절에 대한 이 약의 유효성은 신장 기능에 따라 다르다. 중등도의 신장애가 있는 환자에서 혈당 조절 유효성이 감소하며 eGFR 45mL/min/1.73m
2 미만인 제2형 당뇨환자에서 혈당조절 목적만으로 이 약을 투여하는 것은 권장되지 않는다(용법 ◦용량 항 참조). 중등도의 신장애 환자 에서, 이 약을 투여한 피험자들은 위약을 투여한 피험자들에 비해 크레아티닌, 인, 부갑상샘 호르몬(PTH) 상승 및 저혈압의 이상반응을 나타내는 비율이 더 높았다.
이 약은 eGFR 25mL/min/1.73m
2 미만인 환자에게 투여를 시작한 경험이 제한적이다.
eGFR 25mL/min/1.73m
2 미만인 만성 심부전 환자 및 만성 신장병 환자에서 이 약의 투여를 시작하는 것은 권장되지 않는다(용법▪용량 항 참조).
3. 이상반응
1) 안전성 프로파일의 요약
제2형 당뇨 환자에 대한 임상 연구에서 15,000명 이상의 환자가 다파글리플로진을 투여받았다.
이 약 10mg을 투여한 2,360명 및 위약을 투여한 2,295명이 포함된 13건의 단기 (최장 24주간) 위약 대조 시험에 대한 사전 정의된 통합 분석을 통해 안전성 및 내약성의 평가가 수행된 바 있다.
제2형 당뇨병 환자에서 다파글리플로진의 심혈관계 영향을 평가하기 위한 임상시험 (DECLARE; ‘11. 전문가를 위한 정보, 3) 임상시험 정보’항 참조)에서는 8,574명에게 다파글리플로진 10 mg, 8,569명에게 위약이 투여되었으며 노출 기간의 중앙값은 48개월이었다. 총 30,623인‑년 (patient‑years)의 다파글리플로진 노출이 있었다.
임상 연구 전반에 걸쳐 가장 흔하게 보고된 이상반응은 생식기 감염이었다.
좌심실 수축기능이 저하된 (LVEF≦40%) 만성 심부전 환자에서 다파글리플로진의 심혈관계 영향을 평가하기 위한 임상시험 (DAPA‑HF; ‘11. 전문가를 위한 정보, 3) 임상시험 정보’항 참조)에서는 2,368명에게 다파글리플로진 10 mg, 2,368명에게 위약이 투여되었으며 노출 기간의 중앙값은 18개월이었다. 시험대상자 집단에는 제2형 당뇨병이 있거나, 당뇨병이 없는, eGFR 30 mL/min/1.73m
2 이상의 환자들이 포함되었다.
좌심실 박출률(LVEF)이 40%를 초과한 심부전 환자에서 다파글리플로진의 심혈관계 영향을 평가하기 위한 임상시험 (DELIVER; ‘11. 전문가를 위한 정보, 3) 임상시험 정보’항 참조)에서는 3,126명에게 다파글리플로진 10mg, 3,127명에게 위약이 투여되었으며 노출 기간의 중앙값은 27개월이었다. 시험대상자 집단에는 제2형 당뇨병이 있거나, 당뇨병이 없는, eGFR 25 mL/min/1.73m
2 이상의 환자들이 포함되었다.
만성신장병 환자에서 다파글리플로진의 신장 영향을 평가하기 위한 임상시험 (DAPA‑CKD; ‘11. 전문가를 위한 정보, 3) 임상시험 정보’항 참조)에서는 2,149명에게 다파글리플로진 10 mg, 2,149명에게 위약이 투여되었으며 노출 기간의 중앙값은 27개월이었다. 시험 대상자 집단에는 제2형 당뇨병이 있거나 당뇨병이 없는, eGFR 25 mL/min/1.73m
2 이상 75 mL/min/1.73m
2 이하의 환자들이 포함되었다. eGFR이 25 mL/min/1.73m
2 미만으로 감소되는 경우 투여가 지속되었다.
다파글리플로진의 안전성 프로파일은 연구된 대상 효능▪효과 전반에 걸쳐 일관되게 나타났다. 당뇨병성 케톤산증은 당뇨병 환자에서만 관찰되었다.
2) 이상반응 목록
위약 대조 임상 시험에서 아래의 이상반응들이 관찰되었다. 용량과 관련된 이상반응은 없었다. 아래에 기재된 이상반응은 빈도 및 기관계(SOC)에 따라 분류하였다. 발현 빈도는 다음과 같이 정의되었다: 매우 흔하게(≧ 1/10), 흔하게(≧ 1/100 ∼ < 1/10), 흔하지 않게(≧ 1/1,000 ∼ < 1/100), 드물게(≧ 1/10,000 ∼ < 1/1,000), 매우 드물게(< 1/10,000), 빈도불명(이용 가능한 자료를 통해 평가할 수 없음).
표 1 위약 대조 시험에서의 이상반응
a
|
기관계 |
매우 흔하게 |
흔하게* |
흔하지 않게** |
드물게 |
매우 드물게 |
|
감염 |
|
외음부질염, 귀두염 및 관련 생식기 감염*,b,c
요로 감염b |
진균감염** |
|
회음부 괴저(푸르니에 괴저)b |
|
대사 및 영양 |
저혈당 (설포닐우레아 또는 인슐린과 함께 사용할 때)b |
|
체액량 감소b,e,
구갈** |
당뇨병성 케톤산증 (제2형 당뇨병 환자인 경우)b,f |
|
|
신경계 |
|
현기증 |
|
|
|
|
위장관 이상 |
|
|
변비**
구강건조** |
|
|
|
근골격계 및 결합조직 |
|
요통 |
|
|
|
|
신장 및 비뇨기계 |
|
배뇨통
다뇨*,g |
야간뇨**
|
|
간질성 신세뇨관염 |
|
생식기계 및 유방 |
|
|
외음부 가려움증**
생식기 가려움증** |
|
|
|
실험실적 수치 |
|
헤마토크릿 상승h
치료 초기 신장 크레아티닌 청소율 감소b
이상지질혈증 i |
치료 초기 혈중 크레아티닌 상승**,b
혈중 요소 상승**
체중 감소** |
|
|
a 이 표는 혈당 구제에 관계없이, 24주(단기간)까지의 자료를 나타낸 것이다.
b 추가 정보는 아래 해당하는 단락을 참고한다.
c 외음부질염, 귀두염 및 관련 생식기 감염은 사전 정의된 선호 용어로서 다음을 포함한다: 외음질 진균감염, 질염, 귀두염, 생식기 진균감염, 외음질 칸디다증, 외음부질염, 칸디다 귀두염, 생식기 칸디다증, 생식기 감염, 남성 생식기 감염, 음경 감염, 외음염, 세균성 질염, 음문 농양.
d 요로감염은 다음 이상반응을 포함하며, 다빈도로 보고된 순서는 다음과 같다: 요로감염, 방광염, 대장균요로감염, 비뇨생식기감염, 신우신염, 방광삼각염, 요도염, 신장감염, 전립선염.
e 체액량 감소는 사전 정의된 선호 용어로서 다음을 포함한다: 탈수, 저혈량증, 저혈압.
f 제2형 당뇨병 환자를 대상으로 한 심혈관계 영향 평가 임상시험 (DECLARE)으로부터 보고된 것이다. 빈도는 연간 발생률에 기반한다.
g 다뇨는 다음의 선호 용어를 포함한다: 빈뇨, 다뇨, 뇨 배출량 증가.
h 헤마토크릿의 베이스라인으로부터의 평균 변화는 이 약 10mg에서 2.30%, 위약군에서 0.33%였다. 헤마토크릿 수치 >55%의 변화는 이 약 10mg에서 1.3%, 위약군에서 0.4%로 보고되었다.
i 이 약 10mg과 위약을 비교한 베이스라인으로부터의 평균 백분율 변화는 다음과 같다: 총 콜레스테롤 2.5% vs 0.0%; HDL 콜레스테롤 6.0% vs 2.7%; LDL 콜레스테롤 2.9% vs ‑1.0%; 중성지방 ‑2.7% vs ‑0.7%.
* 피험자의 2% 이상에서 보고되었으며, 이 약 10mg을 투여한 군에서 위약군에 비해 적어도 3명 더 많은 피험자에게서 1% 이상 더 높은 빈도로 보고되었다.
** 연구자에 의해 연관된 것으로(연관되어 있을 가능성이 있는 경우 포함) 보고되었으며, 피험자의 0.2% 이상에서 보고되었으며, 이 약 10mg을 투여한 군에서 위약군에 비하여 적어도 3명 더 많은 피험자에게서 0.1% 이상 더 높은 빈도로 보고되었다.
3) 특정 이상반응에 대한 설명
⓵ 외음부질염, 귀두염 및 관련 생식기 감염
임상시험 13건으로부터의 안전성 통합 자료에 따르면 외음부질염, 귀두염 및 관련 생식기 감염은 이 약 10mg 및 위약을 투여한 피험자의 각각 5.5%와 0.6%에서 보고되었다. 대부분의 감염은 경증 내지 중등도였고, 피험자들은 최초의 표준 치료에 반응하였으며, 이 약 투여 중단을 야기한 경우는 드물었다. 이러한 감염들은 여성에서 더 흔하였으며(이 약 및 위약군에서 각각 8.4%, 1.2%), 과거 병력이 있는 피험자들은 재발성 감염을 나타낼 가능성이 더 높았다.
DECLARE 임상시험에서 생식기 감염의 중대한 이상사례가 매우 적었으며 고르게 분포하였다 (다파글리플로진 및 위약 군, 각 2명).
DAPA‑HF 임상시험에서 생식기 감염의 중대한 이상사례가 다파글리플로진 군에서는 보고되지 않았으며 위약군에서 1명 보고되었다. 생식기 감염의 이상사례 때문에 치료를 중단한 환자는 다파글리플로진군에 7명 (0.3%)이 있었고 위약군에는 없었다. DELIVER 임상시험에서 생식기 감염의 중대한 이상사례가 각 군에서 1명(<0.1%)씩 보고되었다. 생식기 감염의 이상사례 때문에 치료를 중단한 환자는 다파글리플로진군에 3명(0.1%)이 있었고 위약군에는 없었다.
DAPA‑CKD 임상시험에서 생식기 감염의 중대한 이상사례가 다파글리플로진 군에서 3명 (0.1%) 보고되었고 위약군에는 없었다. 생식기 감염의 이상사례 때문에 치료를 중단한 환자가 다파글리플로진군에 3명 (0.1%)이었고 위약군에는 없었다. 당뇨병이 없는 환자에서 생식기감염의 중대한 이상사례 및 치료 중단으로 이어진 이상사례는 보고되지 않았다.
⓶ 저혈당
당뇨병 환자에 대한 임상시험에서 저혈당의 빈도는 각 시험에 사용된 기저 요법의 종류에 따라 좌우되었다.
이 약의 단독 투여, 메트포르민 혹은 시타글립틴(메트포르민 단독 혹은 병용)에 대한 추가 병용 연구에서 경미한 저혈당 에피소드의 빈도는 투약 102주까지 위약을 포함한 투여군 간에 유사하였다(< 5%). 이 약과 삭사글립틴의 병용요법을 평가한 1169명의 안전성 정보를 종합 분석했을 때 24주에서 전반적인 저혈당 발생률이 낮았다 (모든 군에서 ≦1.8%).
모든 시험들에서, 주요한 저혈당 사건은 흔하지 않았고, 이 약 투여군과 위약군 간에 동등하였다. 설포닐우레아 추가 병용 연구 및 인슐린 추가 병용 연구에서 저혈당 발생률이 더 높았다.
글리메피리드 추가 병용 연구에서 24 주와 48 주차에, 경미한 저혈당 에피소드가 이 약 10mg 및 글리메피리드 병용 투여군(각각 6.0%, 7.9%)에서 위약 및 글리메피리드 병용 투여군(각각 2.1%, 2.1%)에 비해 더 빈번하게 보고되었다.
인슐린 추가 병용 연구에서 주요한 저혈당 에피소드는 인슐린 추가 병용으로 이 약 10mg을 투여한 환자에서 24주와 104주차에 각각 0.5%, 1.0% 보고되었고, 인슐린 추가 병용으로 위약을 투여한 환자에서 24주와 104주차에 0.5% 보고되었다, 경미한 저혈당 에피소드는 인슐린 추가 병용으로 이 약 10mg을 투여한 환자에서 24주와 104주차에 각각 40.3%, 53.1% 보고되었고, 인슐린 추가 병용으로 위약을 투여한 환자에서 34.0%, 41.6% 보고되었다.
메트포르민 및 설포닐우레아에 대한 추가 요법 시험에서, 24주까지 주요 저혈당증 에피소드가 보고되지 않았다. 경증 저혈당증 에피소드가 다파글리플로진 10 mg + 메트포르민 및 설포닐우레아 투여 시험대상자의 12.8%와 위약 + 메트포르민 및 설포닐우레아 투여 시험대상자의 3.7%에서 보고되었다.
DECLARE 임상시험에서 위약 대비 다파글리플로진 요법이 주요 저혈당 사건 발생 위험을 증가시키지 않는 것으로 나타났다. 주요 저혈당 사건은 다파글리플로진군에서 58명 (0.7%), 위약군에서 83명 (1.0%) 보고되었다.
DAPA‑HF 임상시험에서 주요 저혈당 사건이 다파글리플로진군과 위약군 각각 4명 (0.2%) 보고되었으며 제2형 당뇨병 환자에서만 나타났다. DELIVER 임상시험에서 주요 저혈당 사건이 다파글리플로진군에서 6명(0.2%), 위약군에서 7명(0.2%) 보고되었다. 주요 저혈당 사건은 제 2형 당뇨병이 있는 환자에서만 관찰되었다.
DAPA‑CKD 임상시험에서 주요 저혈당 사건이 다파글리플로진군에서 14명 (0.7%), 위약군에서 28명 (1.3%) 보고되었으며 제2형 당뇨병이 있는 환자에서만 관찰되었다.
⓷ 체액량 감소
임상시험 13건으로부터의 안전성 통합 자료에 따르면 체액량 감소(탈수, 저혈량증, 또는 저혈압 포함)를 시사하는 약물반응은 이 약 10mg 투여군과 위약 투여군 피험자에서 각각 1.1%와 0.7% 보고되었다; 피험자의 0.2% 미만에서 발생한 중대한 반응은 이 약 10mg군과 위약군 간에 고르게 분포하였다.
DECLARE 임상시험에서 체액량 감소를 시사하는 이상사례가 나타난 환자의 수는 다파글리플로진군 213명 (2.5%) 및 위약군 207명 (2.4%)으로 투여군 간에 고르게 분포하였다. 중대한 이상사례는 다파글리플로진군 81명 (0.9%) 및 위약군 70명 (0.8%)에서 보고되었다. 이상사례는 연령, 이뇨제 사용여부, 혈압, 안지오텐신전환효소저해제 또는 안지오텐신수용체차단제 사용여부 등 하위군 전반에서 일반적으로 투여 군간 고르게 분포하였다. 기저 추정 사구체 여과율(eGFR)이 60 mL/min/1.73m
2 미만인 환자 집단에서 체액량 감소를 시사하는 중대한 이상사례는 다파글리플로진군에서 19건, 위약군에서 13건 보고되었다.
DAPA‑HF 임상시험에서 체액량 감소를 시사하는 이상사례가 있었던 환자의 수는 다파글리플로진군 170명 (7.2%), 위약군 153명 (6.5%)이었다. 체액량 감소를 시사하는 중대한 이상사례가 있었던 환자의 수는 위약군 (38명 [1.6%])보다 다파글리플로진군 (23명 [1.0%])에서 더 적었다. 연령, 기저 상태에서 당뇨병의 유무, 기저 eGFR 및 수축기 혈압 등의 하위군에 걸쳐 유사한 결과가 관찰되었다. DELIVER 임상시험에서 체액량 감소를 시사하는 중대한 이상사례가 있었던 환자의 수는 다파글리플로진군 35명(1.1%), 위약군 31명(1.0%)이었다.
DAPA‑CKD 임상시험에서 체액량 감소를 시사하는 이상사례가 있었던 환자의 수는 다파글리플로진군 120명 (5.6%), 위약군 84명 (3.9%)이었다. 체액량 감소를 시사하는 중대한 이상사례가 있었던 환자의 수는 다파글리플로진군 16명 (0.7%), 위약군 15명 (0.7%)이었다.
⓸ 당뇨병성 케톤산증
DECLARE 임상시험 (다파글리플로진 노출기간 중앙값 48개월)에서 당뇨병성 케톤산증 사례는 다파글리플로진 10mg을 투여한 환자군에서 27명, 위약군에서 12명 보고되었다. 발생 시점은 연구 기간 전체에 고르게 분포되었다. 다파글리플로진군에서 당뇨병성 케톤산증 사례가 발생한 27명 중 22명은 사례가 발생한 시점에 인슐린을 병용하고 있었다. 당뇨병성 케톤산증의 유발 요인은 제2형 당뇨병 환자집단에서 예상된 바와 같이 나타났다 (‘4. 일반적 주의, 3) 케톤산증’ 항 참조).
DAPA‑HF 임상시험에서, 당뇨병성 케톤산증 사례는 다파글리플로진 군에서 제2형 당뇨병 환자 3명이 보고되었으며 위약군에서는 보고되지 않았다. DELIVER 임상시험에서, 당뇨병성 케톤산증 사례는 다파글리플로진군에서 제2형 당뇨병 환자 2명이 보고되었으며 위약군에서는 보고되지 않았다.
DAPA‑CKD 임상시험에서, 당뇨병성 케톤산증 사례는 다파글리플로진 군에서는 보고되지 않았고, 위약군에서 제 2형 당뇨병 환자 2명이 보고되었다.
⓹ 요로 감염
임상시험 13건으로부터의 안전성 통합 자료에 따르면 요로 감염은 이 약 10mg군에서 위약군에 비해 더 빈번하게 보고되었다 (각각 4.7% vs 3.5%). 대부분의 감염은 경증 내지 중등도였고, 피험자들은 최초의 표준 치료에 반응하였으며, 이 약 투여 중단을 야기한 경우는 드물었다. 이러한 감염들은 여성에서 더 흔하였고, 과거 병력이 있는 피험자들은 재발성 감염을 나타낼 가능성이 더 높았다.
DECLARE 임상시험에서 요로감염의 중대한 이상사례는 다파글리플로진 10 mg 투여군에서 79건 (0.9%) 보고되어 위약군의 109건 (1.3%)보다 빈도가 낮았다.
DAPA‑HF 임상시험에서 요로 감염의 중대한 이상사례를 겪은 환자 수는 적고 양 군 간에 큰 차이 없이 다파글리플로진군에서 14명 (0.6%), 위약군에서 17명 (0.7%)이었다. 요로 감염의 이상사례 때문에 치료를 중단한 환자는 다파글리플로진군과 위약군 각각 5명 (0.2%)이었다. DELIVER 임상시험에서 요로 감염의 중대한 이상사례를 겪은 환자수는 다파글리플로진군에서 41명(1.3%), 위약군에서 37명(1.2%)이었다. 요로 감염의 이상사례 때문에 치료를 중단한 환자는 다파글리플로진군에서 13명(0.4%), 위약군에서 9명(0.3%)이었다.
DAPA‑CKD 임상시험에서 요로감염의 중대한 이상사례를 겪은 환자 수는 다파글리플로진군에서 29명 (1.3%), 위약군에서 18명 (0.8%)이었다. 요로감염의 이상사례 때문에 치료를 중단한 환자는 다파글리플로진군 8명 (0.4%), 위약군 3명 (0.1%)이었다.
➅ 크레아티닌 증가
크레아티닌 증가와 연관된 이상반응이 신장 크레아티닌 청소율 감소, 신장장애, 혈중 크레아티닌 상승, 사구체여과율 감소로 분류되었다. 임상시험 13건으로부터의 안전성 통합 자료에 따르면 이 이상반응들은 이 약 10mg 및 위약을 투여한 피험자의 각각 3.2% 와 1.8%에서 보고되었다. 정상 피험자 또는 경증의 신부전 환자 (eGFR 60 mL/min/1.73m
2 이상인 환자)에서 이 이상반응들은 이 약 10mg 및 위약을 투여 시 각각 1.3%와 0.8%에서 보고되었다. 이 이상반응들은 eGFR 30 mL/min/1.73m
2 이상 60 mL/min/1.73m
2 미만인 환자에서 더 많이 보고되었다 (이 약 10mg 및 위약에서 각각 18.5% 와 9.3%).
신장과 관련된 이상반응을 보인 환자에 대한 향후 평가에서, 대부분 환자에서 혈청크레아티닌 변화가 기저수준으로부터 ≦ 0.5 mg/dL으로 관찰되었다. 증가된 크레아티닌은 일반적으로 투여 기간 동안 일시적으로 나타나거나 투여중단 후 회복된다.
고령자 및 신장애 환자 (eGFR 60 mL/min/1.73m
2 미만)를 포함한 DECLARE 임상시험에서 다파글리플로진군과 위약군 모두 시간 경과에 따라 eGFR이 감소하였다. 1년 경과 후 평균 eGFR이 다파글리플로진군에서 약간 낮아졌으며, 4년이 경과된 후에는 위약군 대비 다파글리플로진 군의 평균 eGFR이 약간 높았다.
DAPA‑HF 임상시험 및 DELIVER 임상시험에서 다파글리플로진군과 위약군 모두 시간 경과에 따라 eGFR이 감소하였다. DAPA‑HF 임상시험에서 평균 eGFR에서 초기 감소는 다파글리플로진군이 ‑4.3 mL/min/1.73m
2, 위약군이 ‑1.1 mL/min/1.73m
2였다. 20개월에 eGFR의 기저치 대비 변화는 치료군간 유사하였다(다파글리플로진군 ‑5.3 mL/min/1.73m
2, 위약군 ‑4.5 mL/min/1.73m
2). DELIVER 임상시험에서 1개월에 평균 eGFR 감소는 다파글리플로진군이 ‑3.7 mL/min/1.73m
2, 위약군이 ‑0.4 mL/min/1.73m
2였다. 24개월에 eGFR의 기저치 대비 변화는 치료군간 유사하였다(다파글리플로진군 ‑4.2 mL/min/1.73m
2, 위약군 ‑3.2 mL/min/1.73m
2).
DAPA‑CKD 임상시험에서 다파글리플로진군과 위약군 모두 시간 경과에 따라 eGFR이 감소하였다. 평균 eGFR의 초기 (14일차) 감소는 다파글리플로진군이 ‑4.0mL/min/1.73m
2, 위약군이 ‑0.8 mL/min/1.73m
2였다. 28개월에 eGFR의 기저치 대비 변화는 다파글리플로진군 ‑7.4 mL/min/1.73m
2, 위약군 ‑8.6 mL/min/1.73m
2이었다.
⑦ 회음부 괴저 (푸르니에 괴저)
시판 후 조사에서 다파글리플로진을 포함한 SGLT2 저해제 투여 환자에 대해 푸르니에 괴저의 사례가 보고된 바 있다 (4. 일반적 주의, 12) 회음부 괴저(푸르니에 괴저) 참조).
제2형 당뇨병 환자 17,160명 대상, 노출 기간 중앙값 48개월의 DECLARE 임상시험에서 푸르니에 괴저는 총 6건 보고되었고, 이 중 다파글리플로진군 1건, 위약군 5건이었다.
4) 시판 후 조사
다음은 이 약의 시판 후 추가로 확인된 약물이상반응이다. 이 약물이상반응은 불특성 다수의 인구집단에서 자발적으로 보고된 것으로서, 발생빈도를 신뢰성 있게 예측하는 것은 가능하지 않다.
‑ 케톤산증 (당뇨병성 케톤산증 포함)
‑ 요로성패혈증 및 신우신염
‑ 급성신장손상 및 신기능 장애
‑ 발진: 발진은 임상연구에서 나타난 빈도 순에 따라 다음의 대표용어를 포함한다: 발진, 전신 발진, 소양성 발진, 황반발진, 반구진발진, 농포발진, 수포발진, 홍반발진. 활성대조 및 위약대조 임상 연구 (다파글리플로진군 5,936명, 모든 대조군 합계 3,403명)에서 발진의 빈도는 다파글리플로진군 (1.4%)와 모든 대조군 (1.4%)에서 유사하였으며 ‘흔하게’에 해당하였다.
‑ 혈관부종
5) 국내 시판 후 조사결과
국내에서 재심사를 위하여 6년 동안 3,027명을 대상으로 실시한 시판 후 조사 결과, 이상사례의 발현율은 인과관계와 상관없이 26.59%(805/3,027명, 총 1,122건)로 보고되었다. 이 중 인과관계와 상관없는 중대한 이상사례 및 인과관계를 배제할 수 없는 중대한 약물이상반응은 발현 빈도에 따라 아래 표에 나열하였다.
|
|
인과관계와 상관없는
중대한 이상사례
1.59%(48/3,027명, 52건) |
인과관계를 배제할 수 없는
중대한 약물이상반응
0.17%(5/3,027명, 5건) |
|
드물게(0.01~0.1%미만) |
위장관계 장애 |
위식도역류성질한, 상복부통, 장게실, 장천공, 급성췌장염, 만성췌장염 |
- |
|
대사 및 영양 질환 |
고혈당증 |
고혈당증 |
|
중추 및 말초신경계 장애 |
감각이상, 뇌경색, 신경압박 |
- |
|
감염 및 침습 |
요로감염, 부비동염, 게실염, 골반염, 폐렴, 폐결핵 |
요로감염, 급성신우신염 |
|
전신장애 및 투여부위 상태 |
무력증, 통증 |
- |
|
손상, 중독 및 시술상 합병증 |
인대염좌, 도로교통사고, 약물중독, 발목골절, 손 골절, 장골골절, 반월판손상, 흉추골절, 정강뼈골절 |
- |
|
눈장애 |
각막염 |
- |
|
호흡기계 질환 |
만성폐쇄성폐질환, 객혈 |
- |
|
혈관 질환 |
뇌출혈, 말초 동맥 폐색 |
- |
|
심장 장애 |
협심증, 심근경색증 |
- |
|
간 및 담도계 질환 |
담관결석, 담관염, 알코올성간경화 |
- |
|
정신질환 |
우울증, 자살시도 |
- |
|
신생물 |
위선암 |
- |
|
방어기전 장애 |
아나필락시스반응 |
- |
|
흔하지 않게(0.1~1%미만) |
감염 및 침습 |
급성신우신염 |
- |
|
전신장애 및 투여부위 상태 |
가슴통증 |
- |
또한, 인과관계와 상관없는 예상하지 못한 이상사례와 인과관계를 배제할 수 없는 예상하지 못한 약물이상반응은 발현 빈도에 따라 다음의 표에 나열하였다.
|
|
|
인과관계와 상관없는
예상하지 못한 이상사례
15.73%(476/3,027명, 624건) |
인과관계를 배제할 수 없는 예상하지 못한 약물이상반응
3.67%(111/3,027명, 129건) |
|
드물게(0.01~0.1%미만) |
위장관계 장애 |
만성위염, 장게실, 위창자내공기참, 잦은장운동, 위장염, 대장용종, 장천공, 명치불편, 기능성위장장애, 미란성위염, 잇몸장애, 잇몸통증, 치질, 열공탈장, 과민성대장증후군, 흑색변, 급성췌장염, 만성췌장염 |
위염, 위장장애, 복부불편함, 복통, 식도염, 하복부통, 잦은장운동 |
|
비뇨기계 질환 |
긴박뇨, 당뇨병성신증, 과민성방광, 미세알부민뇨, 복압성요실금, 배뇨주저, 요로결석 |
소변이상, 긴박뇨 |
|
임상 검사 |
혈중젖산증가, 림프구감소증 |
체중증가, 혈중젖산증가 |
|
대사 및 영양 질환 |
비타민D결핍 |
고혈당증, 식욕증가 |
|
중추 및 말초신경계 장애 |
미각이상, 졸림, 긴장성두통, 수근관증후군, 뇌경색, 당뇨병성신경병증, 의식불명, 신경압박, 신경통, 말초신경병증, 수면장애, 실신, 진전 |
미각이상 |
|
감염 및 침습 |
기관지염, 대상포진, 부비동염, 편도선염, 게실염, 단순포진, 다래끼, 관절농양, 후두염, 중이염, 골반염, 치관주위염, 폐렴, 폐결핵, 비염, 발톱무좀 |
단순포진 |
|
전신장애 및 투여부위 상태 |
부종, 발열, 이물감, 얼굴부종, 얼굴통증, 온감, 독감유사증후 |
가슴통증, 피로, 통증, 부종, 이물감 |
|
생식기능 장애 |
유방종괴, 발기기능장애, 양성전립선비대증, 유방통증, 생식기발진, 월경과다, 생식기부종, 자궁출혈, 질출혈, 외음부질불편감 |
월경불순, 생식기부종, 외음부질불편감 |
|
피부와 부속기관 장애 |
탈모, 피부염, 피부건조증, 알레르기피부염, 접촉성피부염, 당뇨병성족부궤양, 발한 이상 습진, 동전습진, 습진, 과각화증, 손발톱색소침착, 피부병변 |
두드러기, 식은땀, 피부염, 피부건조증, 과각화증, 피부병변 |
|
근육-골격계 장애 |
옆구리통증, 근섬유통, 사지불편감, 근경련, 근골격불편, 골감소증 |
근위약 |
|
손상, 중독 및 시술상 합병증 |
타박상, 도로교통사고, 약물중독, 발목골절, 안와골절, 족부골절, 위장관내이물, 손 골절, 장골골절, 열상, 인대파열, 사지손상, 반월판손상, 피부찰과상, 힘줄파열, 흉추골절, 정강뼈골절, 치아손상 |
- |
|
눈장애 |
건성안, 안통, 망막장애, 시력저하, 안검염, 백내장, 결막부종, 알레르기결막염, 결막염, 복시, 눈꺼풀부종, 각막염, 고안압증, 시각장애, 유리체부유물 |
- |
|
호흡기계 질환 |
입인두통, 알레르기비염, 천식, 만성폐쇄성질환, 발성장애, 비출혈, 객혈, 객담, 수면무호흡증후군, 천명 |
- |
|
혈관 질환 |
동맥경화증, 뇌출혈, 홍조, 말초 동맥 폐색, 말초한랭, 정맥류, 혈관성두통 |
기립성저혈압 |
|
심장 장애 |
협심증, 심방세동, 이완기장애, 심근경색증 |
- |
|
정신질환 |
불안장애, 유뇨증, 우울증, 환청, 수면장애, 자살시도 |
불안장애, 유뇨증 |
|
간 및 담도계 질환 |
담관결석, 담관염, 알코올성간경화, 간낭종 |
- |
|
청력 및 전정기관 장애 |
현훈 |
- |
|
신생물 |
위선암, 항문생식기사마귀, 위선종, 신경종, 상세불명의뇌하수체신생물 |
상세불명의뇌하수체신생물 |
|
내분비 질환 |
남성생식선저하증, 갑상선낭종, 갑상선종괴 |
- |
|
방어기전 장애 |
아나필락시스 반응, 음식알레르기 |
음식알레르기 |
|
혈액 및 림프계 장애 |
적혈구증다증 |
- |
|
흔하지 않게(0.1~1%미만) |
위장관계 장애 |
소화불량, 오심, 설사, 위염, 구토, 위장장애, 복부불편함, 복통, 위식도역류성질환, 식도염, 하복부통, 상복부통, 장염, 위궤양 |
소화불량, 오심, 설사, 구토 |
|
비뇨기계 질환 |
요저류, 소변이상 |
요저류 |
|
임상 검사 |
알라닌아미노전이효소증가, 아스파르테이트아미노전이효소증가, 체중증가 |
- |
|
대사 및 영양 질환 |
식욕감소, 다음증, 고혈당증, 식욕증가 |
식욕감소, 다음증 |
|
중추 및 말초신경계 장애 |
두통, 감각저하, 감각이상 |
두통 |
|
감염 및 침습 |
비인두염, 상기도감염 |
- |
|
전신장애 및 투여부위 상태 |
무력증, 가슴통증, 피로, 가슴불편함, 통증, 말초부종, 전신부종, 허기 |
무력증, 허기 |
|
생식기능 장애 |
질분비물, 월경불순 |
질분비물 |
|
피부와 부속기관 장애 |
가려움증, 두드러기, 식은땀 |
가려움증 |
|
근육-골격계 장애 |
관절통, 근골격통증, 사지통증, 근위약, 근육통, 골관절염 |
- |
|
손상, 중독 및 시술상 합병증 |
인대염좌 |
- |
|
눈장애 |
당뇨병성망막병증 |
- |
|
호흡기계 질환 |
기침, 호흡곤란 |
- |
|
혈관 질환 |
기립성저혈압 |
|
|
심장 장애 |
두근거림 |
두근거림 |
|
정신질환 |
불면증 |
- |
|
간 및 담도계 질환 |
지방간, 담낭용종 |
- |
|
청력 및 전정기관 장애 |
이명 |
- |
4. 일반적 주의
1) 간장애 환자에 대한 사용
간장애 환자에 대한 임상 시험 경험은 제한적이다. 이 약의 노출은 중증의 간장애 환자에서 증가된다.
2) 체액량 감소 및/또는 저혈압의 위험이 있는 환자에 대한 사용
이 약은 작용 기전으로 인하여 약간의 혈압 감소로 이어지는 배뇨 증가가 임상연구에서 관찰되었다. 이는 매우 높은 혈당 농도를 가진 환자에게서 더 현저하게 나타날 수 있다.
항고혈압제 치료를 받고 있으며 저혈압의 병력이 있는 환자 또는 고령 환자와 같이, 약물로 유도된 혈압 감소가 위험할 수 있는 환자는 주의를 해야 한다.
체액량 감소를 유발할 수 있는 동반 질환 (예: 위장관계 질병)이 있는 경우, 체액량 상태에 대한 면밀한 모니터링(예: 신체 검사, 혈압 측정, 헤마토크릿 및 전해질 검사를 포함한 실험실 검사)이 권장된다. 체액량 감소를 나타내는 환자는 체액량 감소가 회복될 때까지 이 약의 일시적 투여 중단이 권장된다.
3) 케톤산증
이 약을 포함한 SGLT2 저해제로 치료받은 제 1형과 제 2형 당뇨병 환자에서 신속한 입원을 필요로 하는 중대한 생명을 위협하는 케톤산증 보고가 확인되었다. 이 약으로 치료받은 환자에게서 케톤산증과 관련하여 치명적 사례가 보고된 바 있다.
혈당수치가 250mg/dL 보다 낮더라도 이 약과 관련된 케톤산증은 발생할 수 있으므로, 이 약으로 치료한 환자에서 중증의 대사성 산증에 일치하는 징후와 증상이 관찰되는 경우 혈당 수치와 관계없이 케톤산증 검사를 실시해야 한다. 만약 케톤산증이 의심되는 경우, 이 약의 치료를 중단하고 환자의 상태를 평가하고, 즉각적인 조치를 시작해야 한다.
케톤산증의 치료는 인슐린, 체액, 그리고 탄수화물 보충을 필요로 할 수 있다.
많은 시판 후 보고에서, 특히 제 1형 당뇨병 환자에서, 케톤산증의 유무는 즉시 확인되지 않았고, 치료의 도입이 지연되었는데, 이는 나타난 혈당 수치가 당뇨병성 케톤산증에서 일반적으로 예측되는 수치(대부분 250 mg/dL 미만)보다 낮았기 때문이다. 케톤산증의 증상과 징후는 탈수 및 중증의 대사성 산증과 일치하고 오심, 구토, 식욕감소, 복통, 권태, 호흡곤란 등을 포함한다. 일부 보고에서 케톤산증을 일으키기 쉬운 요인으로 인슐린 용량 감소, 급성 열성질환, 질병 또는 수술로 인한 칼로리 섭취 제한, 케톤 생성 식이요법, 인슐린 결핍을 일으키는 췌장장애(예: 제 1형 및 2형 당뇨병, 췌장염 또는 췌장 수술 병력), 그리고 알코올 남용이 확인되었다.
이 약의 투여를 시작하기 전 인슐린 분비 감소, 칼로리 제한, 알코올 남용을 포함한 케톤산증을 일으키기 쉬운 요인이 있는지 고려해야 한다. 이 약으로 치료받는 환자에서 케톤산증이 발생하는지 모니터링하고, 케톤산증을 일으키기 쉬운 임상적 상황(예: 급성 질환 또는 수술로 인한 장기적인 단식)이 발생할 경우 이 약의 투여를 일시적으로 중단하는 것을 고려한다.
환자들에게 당뇨병성 케톤산증의 위험, 관련 위험 인자, 신호 및 증상 등과 함께 당뇨병성 케톤산증이 혈당 250 mg/dL 미만에서도 발생할 수 있는 점을 알려야 한다. 환자들이 혈중 케톤 수치를 모니터링 할 수 있도록 하며 언제 모니터링이 필요한지 교육받는 것이 권장된다. 케톤산증이 의심되는 경우 환자들은 신속히 치료를 받아야 한다.
4) 요로성패혈증과 신우신염
이 약 및 다른 SGLT2 저해제를 사용한 환자에서 요로성패혈증과 신우신염을 포함하는 중대한 요로 감염이 시판 후 보고된 바 있다. SGLT2 저해제 요법은 요로 감염의 위험을 증가시킨다. 필요한 경우 환자의 요로 감염 징후와 증상을 평가하여 신속히 치료한다.
5) 생식기 감염증(진균 포함)
이 약은 생식기 감염(진균 포함)의 위험을 증가시킨다. 생식기 감염(진균 포함) 병력이 있는 환자들은 생식기 감염(진균 포함)이 더 발생하기 쉽다. 적절히 관찰하고 치료한다.
6) 고령 환자
고령 환자는 신장애를 가지고 있거나 안지오텐신 전환 효소 저해제 (ACE‑I) 및 제 1형 안지오텐신II 수용체 저해제(ARB)와 같은 신기능 변화를 일으킬 수 있는 항고혈압제를 투여하고 있을 가능성이 높다. 모든 환자에서와 마찬가지로 고령 환자에게도 신기능에 대한 동일한 권고가 적용된다.
고령 환자들은 체액량 감소의 위험이 더 높을 수 있고, 이뇨제를 투여하고 있을 가능성이 더 높다.
약동학적 측면에서 70세 이상 환자의 혈중 약물농도 노출에 관한 결론을 내리기에는 자료가 충분하지 않다.
7) 뇨 실험실 평가
이 약을 투여하는 환자들은 작용기전으로 인하여 뇨 중 포도당에 대한 검사에서 양성을 나타낼 것이다.
8) 저혈당을 일으키는 것으로 알려진 약물의 사용
인슐린 및 설포닐우레아와 같은 인슐린 분비촉진제는 저혈당을 유발한다. 따라서 이 약과 병용 시, 저혈당의 위험을 줄이기 위하여 인슐린 또는 인슐린 분비 촉진제의 용량을 줄여야 할 수 있다.
9) 이 약과 같은 SGLT2 저해제들은 배뇨기능에 영향을 줄 수 있는 방광 기저질환이 있는 환자들에 대하여 이론적으로 뇨량 증가로 인하여 질병의 상태를 악화시킬 수 있다. 그러므로 이 약과 같은 SGLT2 저해제들을 이와 같은 환자들에게 처방할 경우 주의가 요구된다.
10) 체중감소
혈당조절이 충분하지 않은 제2형 당뇨병 환자들을 대상으로 24주 위약대조 단독요법 임상시험 결과, 체중의 기저치 대비 차이는 이 약 ‑3.16kg, 위약 ‑2.19kg으로 위약보다 체중감소가 높게 나타났다.
11) 하지 절단
제2형 당뇨병 환자를 대상으로 한 다른 SGLT2 저해제의 장기간 임상연구에서 하지 절단(주로 발가락) 사례의 증가가 관찰되었다. 이 사례가 계열 전체에 적용되는지는 확인되지 않았다. 당뇨병 환자와는 일상적인 예방적 발관리에 대하여 상담하는 것이 중요하다.
12) 회음부 괴저(푸르니에 괴저)
SGLT2 저해제를 복용한 당뇨병 환자의 시판 후 조사에서 드물기는 하나 신속한 수술적 중재를 필요로 하고, 생명을 위협하는 심각한 회음부 괴저가 보고되었다 (3. 이상반응, 3) 특정 이상반응에 대한 설명, ⑦ 회음부 괴저 (푸르니에 괴저) 참조). 회음부 괴저는 남성과 여성 모두에서 보고되었으며 이로 인한 입원, 여러 차례의 수술 및 사망이 보고되었다.
이 약을 투여 받는 환자에서 발열 및 불편함과 함께 생식기 또는 회음부 주변의 통증, 짓무름, 홍반 또는 부종이 나타나는 경우 회음부 괴저 여부를 확인해야 한다. 회음부 괴저가 의심되는 경우, 즉시 광범위 항생제 치료를 시작하고 필요한 경우 외과적 절제술을 시행하여야 한다. 이 약의 투여를 중단하고 혈당 수치를 면밀히 모니터링하면서 혈당조절을 위한 적절한 대체 치료를 시행하여야 한다.
5. 약물 상호작용
1) 약력학적 상호작용
⓵ 이뇨제: 다파글리플로진은 티아지드와 루프계 이뇨제의 이뇨작용을 증가시킬 수 있으며, 탈수 및 저혈압의 위험을 증가시킬 수 있다.
⓶ 인슐린 및 인슐린 분비 촉진제: 인슐린 및 설포닐우레아와 같은 인슐린 분비 촉진제는 저혈당을 일으킬 수 있다. 따라서, 다파글리플로진과 병용 투여시 저혈당의 위험을 줄이기 위해, 인슐린이나 인슐린 분비 촉진제의 용량을 줄여야 할 수 있다.
2) 약동학적 상호작용
⓵ 다파글리플로진의 대사는 주로 UDP‑글루쿠론산전이효소 1A9(UGT1A9)에 의해 매개되는 글루쿠로니드 접합을 통해 이루어진다.
⓶ 실험실적(in‑vitro) 연구에서, 다파글리플로진은 사이토크롬 P450(CYP) 1A2, CYP2A6, CYP2B6, CYP2C8, CYP2C9, CYP2C19, CYP2D6, CYP3A4를 저해하거나, CYP1A2, CYP2B6 또는 CYP3A4를 유도하지 않았다. 따라서, 다파글리플로진은 이러한 효소들에 의해 대사되는 약물들과의 병용투여에서 이들 약물의 대사적 배설을 변화시킬 것으로 예상되지 않는다.
3) 다파글리플로진에 대한 다른 의약품의 영향
⓵ 주로 단회 투여 디자인을 이용하여 건강한 피험자를 대상으로 실시한 상호작용 연구 결과, 다파글리플로진의 약동학은 메트포르민, 피오글리타존, 시타글립틴, 글리메피리드, 보글리보스, 히드로클로로티아지드, 부메타니드, 발사르탄 또는 심바스타틴에 의해 변하지 않았다.
⓶ 다파글리플로진을 리팜피신(다양한 활성 수송체 및 약물 대사 효소의 유도제)과 병용 투여 후, 다파글리플로진 전신 노출(AUC)이 22% 감소한 것으로 관찰되었으나, 24시간 뇨 중 포도당 배설에 대한 임상적으로 의미있는 영향은 없었다. 용량 조절은 권장되지 않는다. 다른 유도제(예, 카바마제핀, 페니토인, 페노바르비탈)와의 임상적으로 관련된 영향은 예상되지 않는다.
⓷ 다파글리플로진을 메페나믹산(UGT1A9의 저해제)과 병용 투여 후, 다파글리플로진 전신 노출이 55% 상승하였으나, 24시간 뇨 중 포도당 배설에 대한 임상적으로 의미있는 영향은 없었다. 용량 조절은 권장되지 않는다.
4) 기타 의약품에 대한 다파글리플로진의 영향
다파글리플로진은 신장의 리튬 배설을 증가시키고 혈중 리튬 농도를 감소시킬 수 있다. 다파글리플로진의 투여 시작과 용량 변경 이후 더 빈번하게 혈청 리튬 농도를 관찰해야 한다. 혈청 리튬 농도를 관찰하기 위해 리튬을 처방한 의사에게 환자의 진료를 의뢰한다.
주로 단회 투여 디자인을 이용한 건강한 피험자를 대상으로 실시한 상호 작용 연구에서, 다파글리플로진은 메트포르민, 피오글리타존, 시타글립틴, 글리메피리드, 히드로클로로티아지드, 부메타니드, 발사르탄, 디곡신 (P‑gp 기질) 또는 와파린(S‑warfarin, CYP2C9 기질)의 약동학, 또는 INR에 따라 평가한 와파린의 항응고 작용을 변화시키지 않았다. 다파글리플로진 20 mg 및 심바스타틴(CYP3A4 기질)의 단회 병용 투여는 심바스타틴 AUC의 19% 상승 및 심바스타틴산 AUC의 31% 상승을 초래하였다. 심바스타틴 및 심바스타틴산 노출의 상승은 임상적으로 관련된 것으로 간주되지 않는다.
5) 기타 상호작용
흡연, 식이, 천연물 의약품 및 알코올이 다파글리플로진의 약동학에 미치는 영향은 연구되지 않았다.
6) 소아
상호작용 연구는 성인에서만 수행되었다.
7) 1,5‑무수글루시톨 검사의 간섭
1,5‑무수글루시톨 검사는 SGLT2 저해제를 투여한 환자에서 측정결과의 신뢰도가 낮으므로 혈당 조절 모니터링 검사로써 권장되지 않는다. 혈당 조절 모니터링을 위해서는 다른 방법을 사용한다.
6. 임부 및 수유부에 대한 투여
1) 임부
임신한 여성을 대상으로 다파글리플로진을 투여한 자료는 없다. 랫트에 대한 연구 결과 사람의 임신 2기와 3기에 해당하는 기간에 신장 발달에 대한 독성을 나타내었다. 임부에서의 이 약의 사용은 권장되지 않는다. 임신이 확인되면, 이 약의 투여를 중단해야 한다.
다파글리플로진이 사람의 생식능에 미치는 영향은 연구되지 않았다. 수컷과 암컷 랫트에서 다파글리플로진은 연구된 어떤 용량에서도 생식능에 영향을 나타내지 않았다.
2) 수유부
다파글리플로진 및 그 대사체가 인체 유즙으로 이행되는지 여부는 알려져 있지 않다. 동물에 대한 약력학/독성학 자료에 따르면 유즙으로 다파글리플로진/대사체가 분비되며, 수유를 받는 새끼에서 약리학적으로 매개된 영향도 나타났다. 신생아/영아에 대한 위험성을 배제할 수 없다. 이 약은 수유 중 사용해서는 안된다.
7. 소아에 대한 투여
소아 환자에서 이 약의 안전성 및 유효성은 확립되지 않았다.
8. 과량투여시의 처치
이 약은 건강한 피험자를 대상으로 한 500mg (인체에 대한 최대 권장 용량의 50배)까지의 단회 경구 투여에서 어떠한 독성도 나타내지 않았다. 이 피험자들은 투약 기간 동안 뇨에서 포도당이 검출되었으며(500mg 용량의 경우 5일 이상), 탈수, 저혈압 또는 전해질 불균형은 보고되지 않았고, QTc 간격에 대한 임상적으로 유의한 영향도 없었다. 저혈당의 발생은 위약과 유사하였다. 건강한 피험자 및 제2형 당뇨병 환자에게 100mg (인체에 대한 최대 권장 용량의 10배)까지 1일 1회 2주간 투여한 임상 시험에서, 저혈당의 발생은 위약군보다 약간 더 높았으며, 용량과 관련이 없었다. 탈수 또는 저혈압을 포함한 이상반응의 비율은 위약군과 유사하였으며, 혈청 전해질 및 신기능의 생체 표지를 포함한 실험실 지표에서 임상적으로 의미있는 용량과 관련된 변화는 없었다.
과량 투여가 발생하는 경우, 환자의 임상적 상태에 맞게 적절한 대증 치료를 실시해야 한다. 투석에 의한 이 약의 제거는 연구되지 않았다.
9. 적용상의 주의
이 약은 운전 및 기계 사용 능력에 영향을 미치지 않거나 거의 미치지 않는다. 환자들은 이 약과 설포닐우레아 혹은 인슐린 병용 투여시 저혈당증의 위험성에 대하여 인지하고 있어야 한다.
10. 보관 및 취급상 주의 사항
1) 소아의 손이 닿지 않는 곳에 보관한다.
2) 제품의 품질을 손상시키거나 사고를 일으킬 수 있으므로, 용기를 변경하는 것은 바람직하지 않다. 원래의 용기에 보관하도록 한다.
11. 전문가를 위한 정보
1) 작용기전 :
다파글리플로진은 매우 강력하고(Ki: 0.55 nM),선택적이며 가역적인 나트륨‑글루코스‑공동수송체 2 (SGLT2)의 저해제이다. 다파글리플로진에 의해 SGLT2가 저해되면 근위 신장 세뇨관에서 사구체 여과액으로부터 포도당의 재흡수가 감소되며 동시에 나트륨 재흡수가 감소되어 포도당의 뇨 배설과 삼투압 이뇨로 이어진다. 따라서 다파글리플로진은 원위 세뇨관으로의 나트륨의 전달을 증가시키며, 이는 세뇨관사구체 되먹임을 증가시키고 사구체 내 압력을 감소시킨다. 이는 삼투성 이뇨와 함께 용적 과부하 감소, 혈압 감소, 낮은 전부하 및 후부하를 나타내어, 심장 리모델링 및 이완 기능에 유익한 영향을 미칠 수 있고 신기능을 보존한다. 기타 영향으로는 헤마토크릿 증가 및 체중 감소가 포함된다.
다파글리플로진의 심장 및 신장에 대한 유익성은 전적으로 혈당 강하 효과에만 의존하는 것이 아니며 당뇨병 환자에 국한되지 않는다.
다파글리플로진은 신장에서의 포도당 재흡수를 감소시킴으로써 뇨 중 포도당 배설을 초래하여, 공복 및 식후의 혈장 중 포도당 수준을 개선한다. 이러한 포도당 배설은 약물의 최초 투여에서 관찰되어 24시간 투여간격 내내 유지되며, 치료기간 동안 지속된다. 이 기전을 통해 신장에서 제거되는 포도당의 양은 혈중 포도당 농도 및 GFR에 의존적이다. 이에 따라, 여과되는 포도당은 그 양이 적고 SGLT1 수송체 및 차단되지 않은 SGLT2에 재흡수되므로, 정상 혈당 및/또는 eGFR이 낮은 시험대상자에서 다파글리플로진이 저혈당을 유발하는 경향이 낮게 나타난다. 다파글리플로진은 저혈당증에 대한 반응으로 정상적인 내인성 포도당 생성을 손상시키지 않는다. 다파글리플로진의 작용은 인슐린 분비 및 작용과는 무관하다. 다파글리플로진 임상 시험에서 베타 세포(HOMA 베타 세포) 기능에 대한 항상성 모델 평가의 개선이 관찰되었다.
SGLT2는 신장에서 선택적으로 발현된다. 다파글리플로진은 말초조직으로의 포도당 수송에 중요한 다른 포도당 수송체를 저해하지 않으며 소화관에서의 포도당 흡수를 책임지는 주요 수송체인 SGLT1과 비교시 SGLT2에 대해 1400배 이상 선택적이다.
2) 약동학적 정보: ⓵ 흡수: 다파글리플로진은 경구 투여 후 신속하게 흡수된다. 혈중 다파글리플로진 최고 농도 (C<SUB>max</SUB>)는 일반적으로 공복 시 투여했을 때 2시간 이내에 도달되었다. C<SUB>max</SUB>와 AUC는 다파글리플로진 용량에 비례적으로 증가한다. 10 mg 경구 투여 시 다파글리플로진의 생체이용률은 78%이었고, 고지방식이와 함께 투여했을 때 다파글리플로진의 C<SUB>max</SUB>는 공복 시 대비 최대 50% 감소되고, T<SUB>max</SUB>는 약 1시간 지연되며 AUC는 변하지 않았다. 이 차이는 임상적 의미가 없는 것으로 판단된다.
⓶ 분포 : 다파글리플로진의 단백 결합률은 약 91%이고 질환 상태 (예. 신장애 또는 간장애 등)에 따라 달라지지 않는다.
⓷ 대사: 다파글리플로진은 광범위하게 대사되어, 비활성대사체인 다파글리플로진 3‑O‑글루쿠로니드를 주로 생성한다. 다파글리플로진 3‑O‑글루쿠로니드 또는 다른 대사체들은 혈당 감소 효과에 기여하지 않는다. 다파글리플로진 3‑O‑글루쿠로니드를 형성하는 매개체는 간과 신장에서 볼 수 있는 효소인 UGT1A9이며, CYP를 매개로 한 대사는 인체 내 대사 경로에서 적은 비율을 차지한다.
⓸ 배설: 다파글리플로진의 말단 소실 반감기(t1/2)는 12.9 시간이었고, 다파글리플로진 투여 후 전신청소율은 207ml/min 이었다. 다파글리플로진과 관련 대사체들은 주로 뇨를 통해서 배설되며, 이 중 대사되지 않은 다파글리플로진은 2% 미만이다. 14C‑다파글리플로진 50 mg을 투여했을 때 뇨로부터 75%, 대변으로부터 21% 등 총 96%가 회수되었다. 대변에서, 투여량의 약 15%가 대사되지 않은 형태였다.
⓹ 신장애 : 항정상태 (20 mg 1일 1회, 다파글리플로진 7일간 투여)에서 다파글리플로진의 평균 체내 노출은 정상 신기능을 가진 제2형 당뇨환자에 비해, 제2형 당뇨가 있으면서 경증, 중등도 또는 중증의 신기능 장애 (이오헥솔의 혈장 청소율로 측정)를 가진 시험대상자들에서 각각 32%, 60%, 87% 더 많았다. 항정상태의 24시간 동안 뇨중 포도당 배설량은 신기능 상태에 매우 의존적이어서 정상 신기능, 경증, 중등증, 중증 신장애 시험대상자에서 각각 85, 52, 18, 11g (포도당/일) 이었다. 다파글리플로진 노출에 대한 혈액투석의 영향은 알려지지 않았다. 집단약동학 모델로 신기능 저하가 전신 노출에 미치는 영향을 평가하였다. 기존의 결과와 일관되게 정상 신기능 환자보다 만성신장병 환자에서 이 모델의 예측 AUC가 더 높게 나왔고, 제2형 당뇨병이 있거나 없는 만성신장병 환자에서 유의미하게 다르지 않았다.
➅ 간장애 : 경증 또는 중등도의 간장애(Child‑Pugh Class A, B)가 있는 시험대상자에서 다파글리플로진의 Cmax와 AUC는 정상 간기능을 가진 시험대상자에 비해 각각 12%와 36% 더 높았다. 이는 임상적으로 유의한 차이가 아닌 것으로 판단된다. 중증의 간장애(Child‑Pugh Class C)가 있는 시험대상자에서 다파글리플로진의 평균 Cmax와 AUC는 정상 간기능을 가진 시험대상자에 비해 각각 40%와 67% 더 높았다.
3) 임상시험 정보
이 약의 혈당 강하 유효성과 안전성을 평가하기 위한 6,362명의 제2형 당뇨병 환자들을 대상으로 13건의 이중맹검, 무작위배정, 대조 임상시험이 수행되었고, 이 중 4,273명이 이 약을 투여 받았다. 12건의 연구들은 투여 기간이 24주였고 이 중 8건에서 24~80주의 투여 기간을 추가 (최대 104주)한 장기 시험으로 연장되었다. 1건은 52주 시험이었으며 52주, 104주로 연장되었다. 추가적으로 854명의 제2형 당뇨병 환자들을 대상으로 삭사글립틴과 이 약의 병용 투여에 대한 유효성과 안전성을 평가하기 위한 24주 이중맹검, 무작위 배정, 대조군 임상시험 2건이 수행되었다.
위약 대비 다파글리플로진 10 mg이 심혈관계 및 신장 관련 사건에 미치는 영향을 평가하기 위해, 심혈관계 질환이 확인되었거나 심혈관계 위험인자가 있는 제2형 당뇨병 환자 17,160명을 대상으로 임상시험 (DECLARE)이 수행되었다.
단독요법
혈당이 충분히 조절되지 않는 제2형 당뇨병 환자들을 대상으로 이 약의 단독요법에 대한 유효성과 안전성을 평가하기 위해 24주(이후 추가연장) 이중맹검, 무작위배정, 위약 대조 연구가 수행되었다. 이 약 1일 1회 투여 시 당화혈색소(HbA1c)가 위약 투여 대비 통계적으로 유의하게 감소되었다 (p <0.0001)(표 2 참조).
추가 연장 시험에서, HbA1c 감소는 102주에서도 유지되었다 (기저치 대비 평균 감소 보정값 : 이 약 10 mg과 위약 각각 ‑0.61%, ‑0.17%).
표 2 혈당 조절이 충분하지 않은 환자에서 이 약 단독요법의 위약 대조 연구에서, 24주에서의 결과(LOCFa)
|
|
단독 요법 |
|
유효성 평가변수 |
이 약 10 mg
N = 70b |
위약
N = 75b |
|
HbA1c (%)
기저치 (평균) |
8.01 |
7.79 |
|
기저치 대비 차이c |
-0.89 |
-0.23 |
|
위약 대비 차이c
(95% CI) |
-0.66*
(-0.96, -0.36) |
|
|
HbA1c <7%에 도달한 시험대상자의 비율 (%):
기저치에 대해 보정 |
50.8** |
31.6 |
a LOCF; Last observation carried forward, 구제치료 전 자료
b 단기 연구 중 1회 이상의 이중맹검 치료를 받은, 모든 무작위 배정 시험대상자
c 기저치에 따라 보정된 최소 제곱 평균 (adjusted LS mean)
* p‑value <0.0001
** 통계적 유의성이 평가되지 않음 (이차 평가변수에 대한 단계적 시험 절차 때문에)
다른 혈당강하제들과의 병용요법
메트포르민과의 초기 병용요법
약물 치료 경험이 없는 제2형 당뇨 환자들을 대상으로 이 약과 서방형 메트포르민의 초기 병용 투여에 대한 유효성과 안전성을 평가하기 위해 2건의 24주 활성대조 연구가 수행되었다. 이 약 10 mg과 메트포르민 병용 투여 시 각각의 단독 투여 대비 HbA1c가 유의하게 감소되었다 (표 3 참조).
표 3 약물 치료 경험이 없는 환자들을 대상으로 이 약과 서방형 메트포르민 초기 병용요법 활성 대조 연구에서, 24주에서의 결과 (LOCFa)
|
유효성 평가변수 |
이 약 10 mg + 메트포르민 XR
N = 211b |
이 약 10 mg
N = 219b |
메트포르민 XR
N = 208b |
|
HbA1c (%)
기저치 (평균) |
9.10 |
9.03 |
9.03 |
|
기저치 대비 차이c |
-1.98 |
-1.45 |
-1.44 |
|
이 약 단독요법과의 차이c
(95% CI) |
-0.53*
(-0.74, -0.32) |
|
|
|
서방형 메트포르민 단독요법과의 차이c (95% CI) |
-0.54*
(-0.75, -0.33) |
-0.01§
(-0.22, 0.20) |
|
|
기저치 HbA1c ≥9% 인 시험대상자의 기저치 대비 차이c |
-2.59** |
-2.14 |
-2.05 |
|
HbA1c <7%에 도달한 시험대상자의 비율 (%):
기저치에 대해 보정 |
46.6** |
31.7 |
35.2 |
a LOCF; Last observation carried forward, 구제치료 전 자료
b 단기 연구 중 1회 이상의 이중맹검 치료를 받은, 모든 무작위 배정 시험대상자
c 기저치에 따라 보정된 최소 제곱 평균 (adjusted LS mean)
* p‑value <0.0001
§ 메트포르민 대비 비열등성
** p‑value <0.05
메트포르민으로 혈당 조절이 충분하지 않은 환자에서 이 약과 설포닐우레아(글리피지드) 각각의 추가 병용을 비교한 활성 대조군 시험
52주 활성 대조군 비열등성 연구 (52주 및 104주 연장)를 통해 메트포르민으로 혈당 조절이 충분하지 않은 (HbA1c 6.5% 초과 10% 미만) 제2형 당뇨 환자들을 대상으로 메트포르민에 이 약과 설포닐우레아 (글리피지드)를 각각 추가 병용하는 경우를 비교 평가하였다. 그 결과, 이 약은 글리피지드와 비슷한 수준으로 52주에서 기저치 대비 HbA1c 감소를 나타내 비열등성을 입증하였다 (표 4 참조). 104주에서 기저치 대비 HbA1c 감소는 이 약 ‑0.32%, 글리피지드 ‑0.14%였다. 1회 이상의 저혈당 사건 발생률은 글리피지드 투여군(52주, 104주 각각 40.8%, 47.0%) 보다 이 약 투여군(52주, 104주 각각 3.5%, 4.3%)에서 현저히 낮았다.
표 4 메트포르민으로 혈당 조절이 충분하지 않은 환자에서 이 약과 설포닐우레아(글리피지드) 각각의 추가 병용을 비교한 활성 대조 연구에서, 52주에서의 결과 (LOCFa)
|
유효성 평가변수 |
이 약 + 메트포르민
N = 400b |
글리피지드 + 메트포르민
N = 401b |
|
HbA1c (%)
기저치 (평균) |
7.69 |
7.74 |
|
기저치 대비 차이c |
-0.52 |
-0.52 |
|
글리피지드 + 메트포르민 대비 차이c
(95% CI) |
-0.00d
(-0.11, 0.11) |
|
a LOCF; Last observation carried forward
b 무작위 배정 및 치료받은 환자 중 1회 이상의 이후 유효성 측정이 있었던 환자
c 기저치에 따라 보정된 최소 제곱 평균
d 글리피지드 + 메트포르민 대비 비열등성
다른 혈당강하제와의 추가 병용요법
이 약은 메트포르민 (표 5 참조), 설포닐우레아 (글리메피리드; 표 6 참조), 인슐린 (단독 또는 경구 혈당 강하제 병용; 표 7 참조), 시타글립틴 (단독 혹은 메트포르민 병용; 표 8 참조), 메트포르민과 설포닐우레아 (표 9 참조), 메트포르민과 삭사글립틴 (표 10 참조), 피오글리타존 (표 11 참조)에 추가 병용하였을 때, 24주에서 위약 대비 통계적으로 유의하게 HbA1c 감소를 나타내었다 (p <0.0001).
이 약을 메트포르민에 추가 병용한 시험에서 HbA1c 감소 효과는 102주에서도 유지되었다. 글리메피리드에 추가 병용한 시험은 48주, 인슐린에 추가 병용한 시험은 104주까지 연장해도 HbA1c 감소 효과가 유지되었다.
표 5 메트포르민 단독요법으로 혈당 조절이 충분하지 않은 환자에서 이 약 추가 병용을 비교한 위약 대조 연구에서, 24주에서의 결과(LOCFa)
|
유효성 평가변수 |
메트포르민1 |
|
이 약 10 mg
N =135b |
위약
N =137b |
|
HbA1c (%)
기저치 (평균) |
7.92 |
8.11 |
|
기저치 대비 차이c |
-0.84 |
-0.30 |
|
위약 대비 차이c
(95% CI) |
-0.54*
(-0.74, -0.34) |
|
|
HbA1c <7%에 도달한 시험대상자의 비율 (%):
기저치에 대해 보정 |
40.6** |
25.9 |
1 메트포르민≧1500mg/day
a LOCF; Last observation carried forward, 구제치료 전 자료
b 단기 연구 중 1회 이상의 이중맹검 치료를 받은, 모든 무작위 배정 시험대상자
c 기저치에 따라 보정된 최소 제곱 평균 (adjusted LS mean)
* p‑value <0.0001
** p‑value <0.05
표 6 설포닐우레아 (글리메피리드) 단독요법으로 혈당 조절이 충분하지 않은 환자에서 이 약 추가 병용을 비교한 위약 대조 연구에서, 24주에서의 결과(LOCFa)
|
유효성 평가변수 |
설포닐우레아 (글리메피리드1) |
|
이 약 10 mg
N =151b |
위약
N =145b |
|
HbA1c (%)
기저치 (평균) |
8.07 |
8.15 |
|
기저치 대비 차이c |
-0.82 |
-0.13 |
|
위약 대비 차이c
(95% CI) |
-0.68*
(-0.86, -0.51) |
|
|
HbA1c <7%에 도달한 시험대상자의 비율 (%) :
기저치에 대해 보정 |
31.7* |
13.0 |
1 글리메피리드 4mg/day
a LOCF; Last observation carried forward, 구제치료 전 자료
b 단기 연구 중 1회 이상의 이중맹검 치료를 받은, 모든 무작위 배정 시험대상자
c 기저치에 따라 보정된 최소 제곱 평균 (adjusted LS mean)
* p‑value <0.0001
표 7 인슐린 (단독 또는 경구 혈당강하제 병용)으로 혈당조절이 충분하지 않은 환자에서 이 약의 추가 병용을 비교하는 위약 대조 연구에서, 24주에서의 결과 (LOCFa)
|
유효성 평가변수 |
인슐린 (단독 또는 경구 혈당강하제 병용)에 추가 병용 요법b |
|
이 약 10 mg
N = 194c |
위약
N = 193c |
|
HbA1c (%)
기저치 (평균) |
8.58 |
8.46 |
|
기저치 대비 차이d |
-0.90 |
-0.30 |
|
위약 대비 차이d
(95% CI) |
-0.60*
(-0.74, -0.45) |
|
|
1일 평균 인슐린 용량 (IU)e
기저치 (평균) |
77.96 |
73.96 |
|
기저치 대비 차이d |
-1.16 |
5.08 |
|
위약 대비 차이d
(95% CI) |
-6.23*
(-8.84, -3.63) |
|
|
인슐린 1일 용량을 10% 이상 감량한 시험대상자 비율(%) |
19.7** |
11.0 |
a LOCF; Last observation carried forward
b 시험대상자의 15%는 인슐린 단독요법; 50%는 인슐린과 1~2종의 경구용 혈당강하제를 병용하고 있었다: 후자의 경우, 80%는 메트포르민만 병용하고 있었으며, 12%는 메트포르민과 설포닐우레아를 병용하고 있었고, 그 외의 시험대상자는 다른 종류의 경구용 혈당강하제를 병용하고 있었다.
c 단기 연구 중 1회 이상의 이중맹검 치료를 받은, 모든 무작위 배정 시험대상자
d 기저치에 따라 보정된 최소 제곱 평균 (adjusted LS mean)
e 인슐린 (속효성, 중간형, 기저 인슐린 포함) 용량 증가는 사전 정의된 FPG 기준에 맞는 시험대상자에 대해서만 허용됨.
* p‑value <0.0001
** p‑value <0.05
표 8 시타글립틴(단독 혹은 메트포르민 병용)으로 혈당 조절이 충분하지 않은 환자에서 이 약의 추가 병용을 비교한 위약 대조 연구에서, 24주에서의 결과 (LOCFa)
|
유효성 평가변수 |
시타글립틴1 ± 메트포르민2 |
|
이 약 10mg
N=223b |
위약
N=224b |
|
HbA1c (%)
기저치 (평균) |
7.90 |
7.97 |
|
기저치 대비 차이c |
-0.45 |
0.04 |
|
위약 대비 차이 c
(95% CI) |
-0.48*
(-0.62, -0.34) |
|
1 시타글립틴 100mg/day, 2 메트포르민≧1500mg/day
a LOCF; Last observation carried forward
b 단기 연구 중 1회 이상의 이중맹검 치료를 받은, 모든 무작위 배정 시험대상자
c 기저치에 따라 보정된 최소 제곱 평균 (adjusted LS mean)
* p‑value <0.0001
표 9 메트포르민과 설포닐우레아로 혈당 조절이 충분하지 않은 환자에서 이 약의 추가 병용을 비교한 위약 대조 연구에서, 24주에서의 결과
|
유효성 평가변수 |
설포닐우레아 + 메트포르민1 |
|
이약 10mg
N= 108a |
위약
N=108a |
|
HbA1c (%)
(LRM)b
기저치 (평균) |
8.08 |
8.24 |
|
기저치 대비 차이c |
-0.86 |
-0.17 |
|
위약 대비 차이c
(95% CI) |
-0.69*
(-0.89, -0.49) |
|
|
HbA1c <7%에 도달한 시험대상자의 비율 (%) (LOCF)d:
기저치에 대해 보정 |
31.8* |
11.1 |
1 시험 대상자 선정 이전 적어도 8주동안, 메트포르민 1일 1500 mg 이상과 설포닐우레아의 최대 내약성 용량 (1일 최대 용량의 절반 이상이어야 함)
a 단기 연구 중 1회 이상의 이중맹검 치료를 받은, 모든 무작위 배정 시험대상자
b 경시적 반복 측정 (LRM; Longitudinal repeated measures)
c 기저치에 따라 보정된 최소 제곱 평균 (adjusted LS mean)
d LOCF; Last observation carried forward, 구제치료 전 자료
* p‑value <0.0001
표 10 삭사글립틴과 메트포르민으로 혈당 조절이 충분하지 않은 환자에서 이 약의 추가 병용을 비교한 위약 대조 연구에서, 24주에서의 결과
|
유효성 평가변수 |
삭사글립틴1 + 메트포르민2 |
|
이 약 10mg
N=160a |
위약
N=160a |
|
HbA1c (%)
(LRM)b
기저치 (평균) |
8.24 |
8.16 |
|
기저치 대비 차이c |
-0.82 |
-0.10 |
|
위약 대비 차이c
(95% CI) |
-0.72*
(-0.91, -0.53) |
|
|
HbA1c <7%에 도달한 시험대상자의 비율 (%):기저치에 대해 보정 |
38.0* |
12.4 |
1 삭사글립틴 5mg/day, 2 메트포르민≧1500mg/day
a 무작위 배정 및 치료받은 환자 중 1회 이상의 이후 유효성 측정이 있었던 환자
b 경시적 반복 측정 (LRM; Longitudinal repeated measures), 구제치료 전 자료
c 기저치에 따라 보정된 최소 제곱 평균 (adjusted LS mean)
* p‑value <0.0001
표 11 피오글리타존으로 혈당 조절이 충분하지 않은 환자에서 이 약의 추가 병용을 비교한 위약 대조 연구에서, 24주에서의 결과 (LOCF
a)
|
유효성 평가변수 |
피오글리타존 |
|
|
이 약 10 mg
N = 140b |
위약
N = 139b |
|
HbA1c (%)
기저치 (평균)
기저치 대비 차이c
위약대비 차이c
(95% CI) |
8.37
-0.97
-0.55*
(-0.78, -0.31) |
8.34
-0.42 |
|
HbA1c <7%에 도달한 시험대상자의 비율 (%)
기저치에 대해 보정 |
38.8** |
22.4 |
a LOCF; Last observation carried forward
b 무작위 배정 및 치료받은 환자 중 1회 이상의 이후 유효성 측정이 있었던 환자
c 기저치에 따라 보정된 최소 제곱 평균 (adjusted LS mean)
*p‑value <0.0001
**p‑value <0.05
중등증 신장애 3A기 (eGFR 45~60 mL/min/1.73m2) 환자
eGFR이 45~60 mL/min/1.73m2 인 당뇨 환자에 한정한 연구에서, 기존 요법으로 혈당 조절이 충분하지 않은 환자에 다파글리플로진 추가 투여의 유효성을 평가하였다. 이 약은 위약 대비 표 12와 같은 HbA1c의 감소를 나타내었다.
표 12 eGFR 45~60 mL/min/1.73m2 인 당뇨 환자를 대상으로 이 약의 효과를 확인한 위약 대조 연구에서, 24주에서의 결과
|
유효성 평가변수 |
이 약a 10 mg
N = 159 |
위약 a
N = 161 |
|
HbA1c (%)
기저치 (평균)
기저치 대비 차이b
위약 대비 차이 b
(95% CI) |
8.35
-0.37*
-0.34*
(-0.53, -0.15) |
8.03
-0.03 |
a 기존 요법 중 메트포르민 투여 비율 위약군 및 이 약 투여군 각각 64.0% 및 69.4%
b 기저치에 따라 보정된 최소 제곱 평균 (adjusted LS mean)
* p‑value <0.001
공복 시 혈당
이 약 10 mg을 단독투여, 또는 메트포르민, 글리메피리드, 메트포르민과 설포닐우레아, 시타글립틴 (단독 또는 메트포르민 병용), 삭사글립틴과 메트포르민 또는 인슐린에 추가 병용 투여했을 때 위약 대비 통계적으로 유의하게 공복시 혈당을 감소시켰다. 이 효과는 투여 첫 주부터 104주로 연장된 시험 내내 유지되었다.
eGFR 45~60 mL/min/1.73 m2 인 당뇨 환자를 대상으로 한정한 연구에서 투여 24주 시점 공복 혈당 값은 위약 투여 ‑0.27 mmol/L (‑4.87 mg/dL) 및 다파글리플로진 투여 ‑1.19 mmol/L (‑21.46mg/dL)였다.
식후 혈당
이 약 10 mg을 글리메피리드 또는 시타글립틴 (단독 또는 메트포르민 병용)에 추가 병용했을 때 식후 2시간 혈당의 감소가 24주에서 확인되었으며 48주까지 유지되었다.
심혈관계 및 신장에 대한 영향
DECLARE 연구는 다국가, 다기관, 무작위배정, 이중맹검, 위약 대조 임상시험으로서, 기존 치료 요법에 이 약을 추가하였을 때 심혈관계 및 신장에 대한 위약 대비 다파글리플로진의 영향을 확인하기 위해 수행되었다. 모든 환자는 제2형 당뇨병에 추가적으로 최소 2가지 이상의 심혈관계 위험 인자 (만 55세 이상 남성 또는 만 60세 이상 여성, 이상지질혈증, 고혈압 또는 현재 흡연 중 하나 이상)가 있거나 심혈관계 질환이 있었다.
17,160명 중 심혈관계 질환이 있었던 환자는 6,974명 (40.6%), 심혈관계 질환이 없었던 환자는 10,186명 (59.4%)이었다. 8,582명은 다파글리플로진 10 mg을, 8,578명은 위약을 무작위 배정받았고 추적기간의 중앙값은 4.2년이었다.
연구에 참여한 집단의 평균 연령은 63.9세, 이 중 여성은 37.4%였다. 전체 환자의 평균 유병 기간은 11.9년이었고 22.4%는 당뇨 유병기간이 5년 이하였다. 평균 HbA1c는 8.3%, 평균 체질량지수는 32.1kg/m2이었다.
베이스라인에서 10.0%의 환자는 심부전의 병력이 있었다. 평균 eGFR은 85.2 mL/min/1.73m2로 7.4%의 환자는 eGFR가 60 mL/min/1.73m2 미만이었고, 30.3%의 환자는 미세알부민뇨증 [뇨중 알부민 대 크레아티닌 비 (UACR)가 30 mg/g 이상 ‑ 300 mg/g 이하] 또는 거대알부민뇨증 (UACR이 300 mg/g 초과)이 있었다.
환자 대부분 (98%)은 베이스라인에서 1종 이상의 당뇨 치료를 위한 약제를 투여 받고 있었다. 82%는 메트포르민, 41%는 인슐린, 43%는 설포닐우레아로 치료 중이었다.
환자의 약 81.3%는 안지오텐신 전환효소 저해제 또는 안지오텐신차단제, 75.0%는 스타틴, 61.1%는 항혈소판제, 55.5%는 아스피린, 52.6%는 베타차단제, 34.9%는 칼슘채널차단제, 22.0%는 티아지드계 이뇨제, 10.5%는 루프 이뇨제가 투여되었다.
주요 심혈관계 관련 사건
다파글리플로진 10 mg은 심혈관계 질환 사망, 심근경색 또는 허혈성 뇌졸중으로 정의되는 심혈관계 관련 사건(MACE)의 복합 평가변수에 대한 위약 대비 비열등성을 입증하였다(단측 p<0.001).
심부전으로 인한 입원 또는 심혈관계 질환 사망
다파글리플로진 10mg은 일차 복합 평가변수인 심부전으로 인한 입원 또는 심혈관계 질환 사망의 예방에 대해 위약 대비 우월한 효과를 나타냈다 (그림 1).
각 요소에 대한 탐색적 분석에서 심부전으로 인한 입원 발생률의 유의한 감소가 치료 효과의 차이에 기여하였으며, 심혈관계 질환 사망에서는 유의한 차이가 없었다.
이 약의 위약 대비 치료 유익성은 베이스라인에서의 심혈관계 질환의 유무 및 기저 심부전의 유무와 관계없이 관찰되었고, 연령, 성별, 신기능 (eGFR) 및 지역 등 핵심 하위군 전반에서 일관성을 보였다.
그림 1. 심부전으로 인한 입원 또는 심혈관계 질환 사망 사건 첫 발생까지의 기간

환자 수: 구간 별 시작 시점에서 대상 환자 수 (patients at risk)
신장병증
신장과 관련한 평가변수는 탐색적 목적으로 평가되었다.
이 약은 확인된 지속적 eGFR 감소, 말기 신질환, 신장 또는 심혈관계 사망 등의 복합적인 사건의 발생률을 감소시켰다. 지속적 eGFR 감소, 말기 신질환 및 신장 관련 사망 등 신장 요인의 사건이 감소하면서 치료군 간의 차이가 나타났다.
신장병증(지속적 eGFR 감소, 말기 신질환 또는 신장 관련 사망) 사건까지의 시간에 대한 위약대비 다파글리플로진의 위험비(HR)는 0.53 [95% CI 0.43, 0.66]이었다.
알부민뇨증의 병력이 없던 환자에 대해 다파글리플로진은 지속적 알부민뇨증 (UACR 30 mg/g 초과)으로의 새로운 발병을 위약 대비 감소(위험비(HR) 0.79 [95% CI 0.72, 0.87])시켰고, 거대알부민뇨증의 병력이 있던 환자에서의 거대알부민뇨증 감소는 위약군 대비 다파글리플로진군에서 더 크게 나타났다 (위험비(HR) 1.82 [95% CI 1.51, 2.20]).
만성 심부전
DAPA‑HF 임상시험: 좌심실 박출률 40% 이하(LVEF≦40%) 심부전
DAPA‑HF는 좌심실 수축기능이 저하된(좌심실 박출률 [LVEF] 40% 이하) 심부전 (NYHA functional class II~IV)이 있는 환자를 대상으로 표준 치료 요법에 추가했을 때 심혈관계 질환 사망 및 심부전 악화 발생에 대한 위약 대비 다파글리플로진의 효과를 평가한 다국가, 다기관, 무작위배정, 이중맹검, 위약 대조 연구였다.
4,744 명의 환자 중 2,373 명이 다파글리플로진 10 mg군, 2,371명이 위약군으로 무작위 배정되었으며 중앙값으로 18 개월 간 치료받았다. 시험 집단의 평균 연령은 66 세였고, 77%는 남성이었다.
기저상태에서 환자의 67.5%는 NYHA class II, 31.6%는 class III, 0.9%는 class IV였으며, LVEF 중앙값은 32%, 심부전의 56%는 허혈성, 36%는 비허혈성, 8%는 모르는 병인이었다. 각 치료군 환자의 42%는 제 2 형 당뇨병의 병력이 있었으며, 추가로 각 군 환자의 3% 가 시험대상자 등록 및 무작위 배정 시 적용된 HbA1c ≧ 6.5%의 기준으로는 제2 형 당뇨병이 있는 것으로 분류되었다. 환자의 94%는 ACE 저해제, ARB 또는 안지오텐신수용체‑네프릴리신 저해제 (ARNI; 11%), 96%가 베타 차단제, 71%가 무기코르티코이드 수용체 길항제, 93%가 이뇨제로 치료받고 있었으며, 26%가 제세동기 기능이 있는 이식 장치를 가지고 있었다.
모집 시점에서 eGFR 30 mL/min/1.73 m
2이상이었던 환자가 연구에 포함되었다. 평균 eGFR은 66 mL/min/1.73 m
2이었고, 환자의 41%는 eGFR 60 mL/min/1.73 m
2미만, 15%는 eGFR 은 45 mL/min/1.73 m
2미만이었다.
심혈관계 질환 사망과 심부전 악화
다파글리플로진은 일차 복합 평가변수인 심혈관계 질환 사망, 심부전으로 인한 입원 또는 심부전으로 인한 긴급 병원 방문의 발생률을 감소시켰다 (HR 0.74 [95% CI 0.65, 0.85], p < 0.0001).
사건 발생 곡선은 다파글리플로진과 위약에 대해 초기부터 간격이 벌어져 시험 기간 전체동안 계속 지속되었다 (그림 2).
그림 2 심혈관계 질환 사망, 심부전으로 인한 입원 또는 심부전으로 인한 긴급 병원 방문의 복합 사건 첫 발생까지의 기간

심부전으로 인한 긴급 병원 방문: 긴급하고, 예정되어 있지 않았으며, 담당 의사 (예: 응급실)의 판단, 경구 이뇨제의 단순 증량 이외에 심부전 악화를 막기 위한 치료가 필요했는지 등으로 정의된다.
환자 수: 구간 별 시작 시점에서 대상 환자 수 (patients at risk)
일차 복합 평가변수를 구성하는 세 가지 요소 각각이 모두 치료 효과를 나타냈다. 심부전으로 인한 긴급 병원 방문이 감소되었다 (그림 3).
그림 3 일차 평가 변수 및 구성요소와 모든 원인에 의한 사망에 대한 치료 효과

심부전으로 인한 긴급 병원 방문: 긴급하고, 예정되어 있지 않았으며, 담당 의사 (예: 응급실)의 판단, 경구 이뇨제의 단순 증량 이외에 심부전 악화를 막기 위한 치료가 필요했는지 등으로 정의된다.
각 구성요소 별 최초 사건의 수는 실제로 발생한 구성요소별 사건 수를 나타내며, 복합 평가변수로의 사건 수는 가산되지 않는다.
사건 발생률은 추적 관찰 100 인‑년 당 사건이 발생한 환자 수를 나타낸다.
각 구성요소와 모든 원인에 의한 사망에 대한 p‑value는 명목상의 값이다.
다파글리플로진은 또한 심부전 (첫 발병 및 재발)으로 인한 입원과 심혈관계 질환 사망의 총 사건 수를 감소시켰다; 다파글리플로진 군에서 567건, 위약군에서 742건이었다 (비율비 (RR) 0.75 [95% CI 0.65, 0.88]; p = 0.0002).
다파글리플로진의 치료 유익성은 제2형 당뇨병이 있는 심부전 환자와 당뇨가 없는 심부전 환자 모두에게서 나타났다 .
다파글리플로진은 일차 복합평가변수에 대한 발생률을 당뇨가 있는 환자에서 HR 0.75 [95% CI 0.63, 0.90], 당뇨가 없는 환자에서 HR 0.73 [95% CI 0.60, 0.88]로 감소시켰다.
또한 심부전 병용 치료법, 신장 기능 (eGFR), 연령, 성별 및 지역 등 주요 하위군에 걸쳐 일차 평가변수에 대한 위약 대비 다파글리플로진의 치료 유익성이 일관되게 나타났다.
DELIVER 임상시험: 좌심실 박출률 40% 초과(LVEF>40%) 심부전
DELIVER는 LVEF가 40%를 초과하는 심부전 (NYHA functional class II~IV)이 있는 40세 이상의 환자를 대상으로 표준 치료 요법에 추가했을 때 심혈관계 질환 사망 및 심부전 악화 발생에 대한 위약 대비 다파글리플로진의 효과를 평가한 다국가, 다기관, 무작위배정, 이중맹검, 위약 대조 연구였다.
6,263 명의 환자 중 3,131 명이 다파글리플로진 10 mg군, 3,132명이 위약군으로 무작위 배정되었으며 중앙값으로 28 개월 간 치료받았다. 시험은 654명(10%)의 아급성 심부전 환자(심부전으로 입원하는 동안 또는 퇴원 후 30일 이내에 무작위배정된 환자로 정의됨)를 포함한다.
시험 집단의 평균 연령은 72세였고, 56%는 남성이었으며 71%는 백인, 3%는 흑인 또는 아프리카계 미국인, 그리고 20%는 아시아인이었다.
기저상태에서 환자의 75%는 NYHA class II, 24%는 class III, 0.3%는 class IV였으며, LVEF 중앙값은 54%이었다. 34%의 환자는 LVEF 49% 이하였고, 36%의 환자는 LVEF 50~59%였으며, 30%는 LVEF 60% 이상이었다. 각 치료군에서, 45%는 제 2 형 당뇨병의 병력이 있었다. 병용약물은 ACE 저해제/ARB/ARNI(77%), 베타 차단제(83%), 이뇨제(98%) 및 무기코르티코이드 수용체 길항제(43%)를 포함했다.
모집 시점에서 eGFR 25 mL/min/1.73 m2이상이었던 환자가 연구에 포함되었다. 평균 eGFR은 61 mL/min/1.73 m2이었고, 환자의 49%는 eGFR 60 mL/min/1.73 m2미만, 23%는 eGFR 은 45 mL/min/1.73 m2미만, 3%는 eGFR 30 mL/min/1.73 m2미만이었다.
심혈관계 질환 사망과 심부전 악화
일차 복합 평가변수인 심혈관계 질환 사망, 심부전으로 인한 입원 또는 심부전으로 인한 긴급 병원 방문의 발생률 감소에서 다파글리플로진은 위약보다 우월하였다 (HR 0.82 [95% CI 0.73, 0.92], p=0.0008). 사건 발생 곡선은 다파글리플로진과 위약에 대해 초기부터 간격이 벌어졌고 분리된 상태는 시험 기간 전체동안 유지되었다 (그림 4).
그림 4 심혈관계 질환 사망, 심부전으로 인한 입원 또는 심부전으로 인한 긴급 병원 방문의 복합 사건 첫 발생까지의 기간

심부전으로 인한 긴급 병원 방문: 긴급하고, 예정되어 있지 않았으며, 담당 의사 (예: 응급실)의 판단, 경구 이뇨제의 단순 증량 이외에 심부전 악화를 막기 위한 치료가 필요했는지 등으로 정의된다.
환자 수: 구간 별 시작 시점에서 대상 환자 수 (patients at risk)
일차 복합 평가변수 및 그 구성요소에 대한 치료효과는 그림5와 같다.
그림 5 일차 복합 평가 변수 및 구성요소에 대한 치료 효과

심부전으로 인한 긴급 병원 방문: 긴급하고, 예정되어 있지 않았으며, 담당 의사 (예: 응급실)의 판단, 경구 이뇨제의 단순 증량 이외에 심부전 악화를 막기 위한 치료가 필요했는지 등으로 정의된다.
각 구성요소 별 최초 사건의 수는 실제로 발생한 구성요소별 사건 수를 나타내며, 복합 평가변수로의 사건 수는 가산되지 않는다.
사건 발생률은 추적 관찰 100 인‑년 당 사건이 발생한 환자 수를 나타낸다.
각 구성요소에 대한 p‑value는 명목상의 값이다. 일차 평가변수의 구성요소로 나타나있는 심혈관계 질환 사망은 정식 제 1종 오류 통제 아래 이차 평가변수로 시험되었다.
총 심부전 악화 사건 수(심부전으로 인한 첫 입원 및 재입원 또는 심부전으로 인한 긴급 병원 방문) 및 심혈관계 질환 사망 수 감소에서 다파글리플로진은 위약보다 우월하였다; 다파글리플로진군에서 815건, 위약군에서 1,057건이 발생하였다(발생률비 0.77 [95% CI 0.67, 0.89]; p=0.0003).
일차 평가변수에 대한 위약군 대비 다파글리플로진의 치료 유익성은 LVEF 49% 이하인 환자군, 50~59%인 환자군 및 60% 이상인 환자군 하위군 모두에서 관찰되었다. 다른 주요 하위군(나이, 성별, NYHA class, NT‑proBNP level, 아급성 여부, 제2형 당뇨병 여부, 신장기능(eGFR) 등)에서도 효과는 일관되었다.
만성 신장병
DAPA‑CKD는eGFR이 25mL/min/1.73m2이상 75mL/min/1.73m2이하이고 알부민뇨증(뇨중 알부민 크레아티닌 비 [UACR]가 200mg/g 이상 5,000mg/g 이하)이 있는 만성 신장병(CKD) 환자에서 배경 표준 요법에 추가했을 때 이 약을 위약과 비교하는 다국가, 다기관, 사건 기반, 무작위배정, 이중 눈가림, 평행군, 위약 대조 시험이었다. 일차 목표는 복합 평가변수인 50% 이상으로 지속된 eGFR의 감소, 말기 신장병 (ESKD)(15mL/min/1.73m2미만으로 지속된 eGFR, 만성적인 투석 치료 또는 신장 이식을 받는 것으로 정의함), CV 사망 또는 신장 관련 사망의 발생률을 낮추는 데 있어 위약 대비 이 약의 효과를 측정하는 것이었다. 이 시험에서는 상염색체 우성 또는 열성 다낭성 신장 질환, 루푸스 신염 또는 항호중구세포질항체(ANCA) 연관 혈관염이 있는 환자와 이전 6개월 이내에 세포독성 치료, 면역억제 또는 면역 조절 요법을 받은 환자는 제외되었다.
환자 총 4,304명이 1일1회 이 약 10mg (N=2,152) 또는 위약 (N=2,152)에 무작위 배정되었고 28.5개월의 중앙값 동안 추적되었다. 치료는 해당 시험 동안 eGFR이 25mL/min/1.73m2이하로 감소한 경우에도 지속하였다.
베이스라인 시, 평균 eGFR은 43.1mL/min/1.73m2였고 UACR 중앙값은 949.3mg/g이었으며, 환자 중 44.1%는 eGFR이 30mL/min/1.73m2내지 45mL/min/1.73m2미만이었고 14.5%는 eGFR이 30mL/min/1.73m2미만이었다. 해당 환자 중 67.5%는 제2형 당뇨병이 있었다.
환자는 표준요법을 받고 있었으며; 환자 중 97.0%는 안지오텐신 전환 효소 억제제(ACEi) 또는 안지오텐신 수용체 차단제(ARB)로 치료를 받았다. 약 44%는 항혈소판제를 복용하고 있었고, 65%는 스타틴을 복용했다.
시험 집단의 평균 나이는 61.8세였고 66.9%는 남성이었으며 53.2%는 백인, 4.4%는 흑인 또는 아프리카계 미국인, 그리고 34.1%는 아시아인이었다.
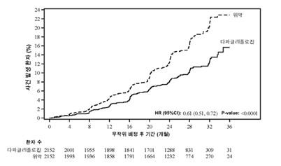
이 약은 일차 복합 평가변수인 50% 이상으로 지속된 eGFR의 감소, ESKD에 이르는 것, CV 사망 또는 신장 관련 사망의 발생률을 낮추는 데 있어 위약보다 우월하였다(HR 0.61[95% CI 0.51, 0.72], p<0.0001). 27개월당 필요 치료 환자 수는 19명(95% CI 15, 27)이었다. 카플란‑마이어(Kaplan‑Meier) 도표를 근거로 할 때, 이 약 및 위약에 대한 사건 곡선은 조기(4개월째)에 나뉘기 시작했고 해당 시험 기간 동안 계속 벌어졌다(그림 6).
그림 6일차 복합 평가변수인 50% 이상으로 지속된 eGFR의 감소, ESKD, CV 사망 또는 신장 관련 사망이 처음 발생하기까지의 시간

환자 수: 구간 별 시작 시점에서 대상 환자 수 (patients at risk)
일차 복합 평가변수의 4가지 구성요소 모두 이러한 치료 효과에 개별적으로 기여하였다(그림 7). 이 약은 복합 평가변수인 50% 이상으로 지속된 eGFR의 감소, ESKD 또는 신장 관련 사망(HR 0.56[95% CI 0.45, 0.68], p<0.0001), 복합 평가변수인 CV 사망 및 심부전으로 인한 입원(HR 0.71[95% CI 0.55, 0.92], p=0.0089), 그리고 모든 원인에 의한 사망(HR 0.69[95% CI 0.53, 0.88], p=0.0035)의 발생률도 낮추었다.
그림 7일차 및 이차 복합 평가변수, 이의 개별 구성요소, 그리고 모든 원인에 의한 사망과 관련된 치료 효과

각 구성요소 별 최초 사건의 수는 실제로 발생한 구성요소별 사건 수를 나타내며, 복합 평가변수로의 사건 수는 가산되지 않는다.
사건 발생률은 추적 관찰 100 인‑년 당 사건이 발생한 환자 수를 나타낸다.
위험비 추정치는 두 군 모두를 통합하여 총 15건 미만인 하위군에 대해 제시되어 있지 않다.
복합 평가변수의 구성요소에 대한 p‑value는 명목상의 값이다.
이 약의 치료 효과는 제2형 당뇨병이 있는 만성 신장병 환자 및 당뇨병이 없는 만성 신장병 환자에서 일관되었다(그림 8).
그림 8제2형 당뇨병이 있는 환자 및 당뇨병이 없는 환자에서의 치료 효과

각 구성요소 별 최초 사건의 수는 실제로 발생한 구성요소별 사건 수를 나타내며, 복합 평가변수로의 사건 수는 가산되지 않는다. 위험비 추정치는 두 군 모두를 통합하여 총 15건 미만인 하위군에 대해 제시되어 있지 않다.
사건 발생률은 추적 관찰 100 인‑년 당 사건이 발생한 환자 수를 나타낸다. p‑value는 명목상의 값이다.
일차 복합 평가변수와 관련된 위약 대비 이 약의 치료 유익성은 핵심적인 하위군 전반에서 일관되었다(그림 9).
그림 9 하위군별 일차 복합 평가변수와 관련된 치료 효과

n/N# 사건을 나타낸 시험대상자 수/하위군의 시험대상자 수
이 약의 치료 유익성은 탐색적인 평가변수에 대해서도 관찰되었다:
• 위약 대비 이 약과 관련하여 UACR의 더 큰 감소가 입증되었다. 이러한 효과는 빠르면 14일째에 관찰되었으며 해당 시험 전반에서 유지되었다. 36개월째에 UACR(mg/g)의 베이스라인 대비 보정된 평균 백분율 변화는 이 약으로 치료를 받은 환자에서 ‑41%였고 위약으로 치료를 받은 환자에서 ‑20%였으며, 치료군 간의 차이는 ‑26.3%([95% CI ‑36.8, ‑14.0], 명목상의 p=0.0001)였다.
• 가장 최근의 실험실적 측정으로부터 혈청 크레아티닌이 배가하는 것의 발생률(신장 기능의 급성 악화에 대한 평가)은 위약군 대비 이 약군에서 감소하였다(HR 0.68[95% CI 0.49, 0.94], 명목상의 p=0.0187).
4) 비임상 안전성 자료
⓵ 발암원성: 다파글리플로진은 2년간의 발암성 시험에서 평가된 어떤 용량에서도 마우스 또는 랫트에서 종양을 유도하지 않았다. 마우스에서의 경구 용량은 수컷에서 5, 15, 40 mg/kg/일, 암컷에서 2, 10, 20 mg/kg/일이었으며, 랫트에서의 경구 용량은 암수 모두 0.5, 2, 10 mg/kg/일 이었다. 마우스에서 평가된 최고 용량은 1일 10mg의 최대인체권장용량(MRHD)에서 인체 AUC의 약 72배 (수컷) 및 105배(암컷)의 AUC 노출 배수에 해당하였다. 랫트에서의 AUC 노출은 MRHD에서의 인체 AUC의 약 131배(수컷) 및 186배(암컷)였다.
⓶ 돌연변이원성: 다파글리플로진은 Ames 돌연변이성 시험에서 음성이었고, in vitro 염색체 이상 유발성 시험에서는 양성이었으나, 이는 S9 활성 조건에서 100 mg/mL이상 농도일 때 그러하였다. 특히, 다파글리플로진은 MRHD에서의 인체 노출의 2100배 이상에 해당하는 노출에서 랫트를 대상으로 실시한 소핵 또는 DNA 복구 시험들에서 in vivo 조건의 염색체 이상성에 대해 음성이었다. 이 시험들은 랫트 및 마우스 발암성 시험에서 종양 소견이 없다는 점에서, 다파글리플로진이 인체에 대한 유전 독성 위험을 나타내지 않았음을 뒷받침한다.
⓷ 생식능장애: 랫트에 대한 생식능 및 초기 배아 발달 시험에서, 15, 75, 또는 300/210 mg/kg/일의 다파글리플로진을 수컷에게 투여하였고(300 mg/kg/일 용량은 4일 후 210 mg/kg일로 감량), 3, 15, 또는 75 mg/kg/일 용량을 암컷에게 투여하였다. 다파글리플로진은 투여한 어떤 용량에서도 수컷 또는 암컷에서 교미, 생식능 또는 초기 배아 발달에 영향을 미치지 않았다 (노출 배수는 수컷과 암컷에서 MRHD의 1708 배 이하 및 998 배). 하지만, 300/210 mg/kg/일에서, 정낭 및 부고환 중량이 감소하였고, 정자 운동성 및 정자 수가 감소하였으며, 형태학적으로 비정상인 정자 수는 적었다.
⓸ 최기형성: 이유기의 어린 랫트에 직접 투여하는 것과 임신 후반기 및 수유기(사람의 신장발달과 관련하여 임신 2기 및 3기에 해당하는 기간)에 간접적으로 약물에 노출되는 것은 후손의 신우확장 및 세뇨관 확장의 심각성 및 사건을 증가시키는 것과 관련이 있다. 어린 동물의 독성시험에서 다파글리플로진이 출생 후 21일째 되는 어린 랫트에게 90일째까지 1, 15, 혹은 75 mg/kg/일의 용량으로 투여되었을 때 모든 투여 용량에서 신우확장 및 세뇨관 확장이 보고되었다; 가장 낮은 용량에서의 새끼에 대한 노출은 MRHD의 15배 이상이었다. 이러한 관찰 결과는 용량과 관련된 신장 질량의 증가, 모든 용량에서 육안으로 관찰된 신장 비대와 관련이 있었다. 어린 동물에서 관찰된 신우 확장과 세뇨관 확장은 약 1달간의 회복기간 동안 완전히 역전되지 않았다.
⓹ 초기발달장애: 출생전과 출생후의 발달에 대한 별도의 연구에서 모체 랫트는 임신 6일째부터 출산 후 21일 째까지 약물(1, 15, 또는 75 mg/kg/일)을 투여받았고 새끼는 자궁 속과 수유를 통하여 간접적으로 노출되었다. (유즙과 새끼에 대한 다파글리플로진의 영향을 평가하기 위한 별도의 연구가 수행되었다.) 75 mg/kg/일의 용량(어미 및 새끼의 다파글리플로진 노출은 [MRHD에서 인체 수치]의 각각 1415배 및 137배에 해당)에서만이긴 하나 투여받은 어미의 다 자란 후손에서 신우 확장의 심각성 혹은 사건이 증가됨이 다시 한번 관찰되었다. 추가적인 발달 독성은 용량과 관련된 새끼의 체중 감소에 제한되었고 이것은 15 mg/kg/일 이상의 용량(새끼의 노출은 [MRHD에서 인체 수치]의 29배 이상)에서 관찰되었다. 모체 독성은 75 mg/kg/일에서만 명백하였으며 투여 초기에 체중과 먹이소비의 일시적 감소에 국한되었다. 발달독성에서 무독성용량(NOAEL)인 1 mg/kg/day은 [MRHD에서 인체 수치]의 약 19배이며 모체 전신 노출량에 해당한다.
랫트와 토끼에 대한 추가적인 배태아 발달시험에서 다파글리플로진은 각 종의 기관형성기의 주요한 기간에 해당하는 간격에 투여되었다. 토끼에서 투여된 어떤 용량(20, 60 혹은 180 mg/kg/일)에서도 모체 혹은 발달 독성이 관찰되지 않았다; 180 mg/kg/일은 MRHD의 약 1191배의 전신노출에 해당한다. 랫트에서 다파글리플로진은 75 mg/kg/일의 용량(MRHD의 약 1441배)까지 배아치사성 혹은 최기형성을 나타내지 않았다. 150 mg/kg/일의 용량([MRHD에서 인체 수치]의 약 2344배)에서 모체 및 발달독성이 관련이 되었다. 모체 독성은 사망률, 이상 임상 신호 및 체중 및 음식 소모량의 감소를 포함한다. 발달 독성은 배‑태아 치사율, 태아 기형 및 골격 변이 사건의 증가, 태아 체중 감소를 포함한다. 기형은 대혈관 기형, 늑골과 중심 척추 접합, 흉골 및 흉골 중심 중복이다. 변이는 주로 골화 감소였다.
➅ 동물 독성학: 랫트와 개에 대한 주요 반복 투여 독성 시험에서 관찰된 대부분의 영향들은 뇨 포도당의 약리학적으로 매개된 증가에 수반된 것으로 판단되었으며, 체중 감소 및/또는 체중 증가율 감소, 사료 소비량 증가, 삼투성 이뇨제로 인한 뇨량 증가를 포함하였다. 다파글리플로진은 랫트에게 25mg/kg/일(MRHD에서의 인체 노출의 346 배 이상)이하의 용량을 최대 6개월간 경구 투여하였을 때 및 개에게 120 mg/kg/일(MRHD에서 인체 노출의 3200 배 이상) 이하의 용량으로 최대 12개월간 경구 투여하였을 때 내약성이 양호하였다. 또한 다파글리플로진의 단회 투여 시험 결과 랫트와 개의 독성 시험 모두에서, MRHD에서 다파글리플로진의 투여 후 예상되는 인체 dapagliflozin 3‑O‑glucuronide 노출과 동등하거나 그 이상의 노출 수준(AUC)에서 dapagliflozin 3‑O‑glucuronide 대사체가 형성되었다. 랫트에서 가장 주목할만한 비임상 독성 소견인 해면골 증가 및 조직 무기물화(혈청 칼슘 증가와 관련)는 높은 노출 배수에서만 관찰되었다(MRHD에서 인체 노출에 근거하였을 때 2100배 이상). MRHD에서의 인체 노출 대비 3200배 이상의 노출 배수에 도달하였음에도 불구하고, 12개월간의 개에 대한 시험에서 용량 제한 또는 표적 장기 독성은 없었다.
5) 의약품동등성시험 정보
가. 시험약 플로가정10밀리그램(다파글리플로진프로판디올수화물)[(주)넥스팜코리아]과 대조약 포시가정10밀리그램(다파글리플로진프로판디올수화물)[한국아스트라제네카(주)]을 2x2 교차시험으로 각 1 정 씩 건강한 성인에게 공복 시 단회 경구투여하여 28명의 혈중 다파글리플로진을 측정한 결과, 비교평가 항목치 (AUCt, Cmax)를 로그 변환하여 통계처리 하였을 때, 평균치 차의 90% 신뢰구간이 log 0.8에서 log 1.25 이내로서 생물학적으로 동등함을 입증하였다.
<다파글리플로진>
|
구분 |
비교평가항목 |
참고평가항목 |
|
AUC0-36hr
(ng·hr/mL) |
Cmax
(ng/mL) |
Tmax(hr) |
t1/2(hr) |
|
대조약 |
포시가정10밀리그램
(다파글리플로진프로판디올수화물)
/ 한국아스트라제네카㈜ |
480.3
± 108.2 |
138.5
± 40.8 |
1.00
(0.50~3.00) |
9.29 ± 2.63 |
|
시험약 |
플로가정10밀리그램
(다파글리플로진프로판디올수화물)
/ ㈜넥스팜코리아 |
490.7
± 111.3 |
125.4
± 29.3 |
1.50
(0.75~3.00) |
9.77 ± 3.93 |
|
90%신뢰구간*
(기준:log0.8∼log1.25) |
log 0.9921 ~ 1.0431 |
log 0.8433 ~ 0.9913 |
- |
- |
|
(AUCt, Cmax, t1/2; 평균값±표준편차, Tmax; 중앙값(범위), n=28)
AUCt: 투약시간부터 최종혈중농도 정량시간 t까지의 혈중농도-시간곡선하면적
Cmax: 최고혈중농도
Tmax: 최고혈중농도도달시간
t1/2: 말단소실반감기
*비교평가항목치를 로그변환한 평균치 차의 90% 신뢰구간 |
나. 의약품동등성시험기준 제7조제2항에 따라, 시험약 플로가정5밀리그램(다파글리플로진프로판디올수화물)[(주)넥스팜코리아]은 대조약 플로가정10밀리그램(다파글리플로진프로판디올수화물)[(주)넥스팜코리아]과의 비교용출시험자료를 제출하였으며, 대조약과 용출양상이 동등하였다. 이에 따라 해당 자료로서 생물학적동등성을 입증하였다.