1. 경고
1) 주입관련반응: 주입관련반응이 의심되면 주입을 중단한다. 중증도에 따라 주입속도를 감소시키거나 이 약 투여를 영구 중단한다 (5. 일반적주의 참고).
2) 간질성 폐질환/폐염증: 간질성 폐질환/폐염증을 나타내는 증상이 새로 나타나거나 악화되는지 환자를 관찰한다. 간질성 폐질환/폐염증이 의심되면 이 약의 투여를 즉각 중단하고, 간질성 폐질환/폐염증으로 확인되면 이 약 투여를 영구 중단한다 (5. 일반적주의 참고).
3) 레이저티닙과 병용 투여 시 발생하는 정맥 혈전색전증 사례: 치료 첫 4개월 동안은 예방적 항응고요법이 권장된다. 정맥 혈전색전증의 징후와 증상을 모니터링하고 의학적으로 적절하게 치료하도록 한다. 중증도에 따라 이 약과 레이저티닙을 중단하도록 한다. 항응고제 치료를 시작한 후에는 의료진의 재량에 따라 이 약과 레이저티닙을 동일한 용량으로 재개하도록 한다. 항응고제 치료에도 불구하고 재발하는 정맥 혈전색전증의 경우 이 약을 영구적으로 중단하고 레이저티닙은 지속한다. (5. 일반적주의 참고).
4) 피부이상반응: 이 약은 독성 표피 괴사 용해와 여드름양 피부염을 포함한 심각한 발진을 유발할 수 있다. 중증도에 따라 이 약의 투여를 일시 중지하거나, 용량을 감소시키거나 영구 중단한다 (5. 일반적주의 참고).
5) 안 독성: 눈 증상이 환자에게 나타나면 빠르게 안과 진료를 의뢰한다. 중증도에 따라 이 약의 투여를 일시중지하거나, 용량을 감소시키거나 영구 중단한다 (5. 일반적주의 참고).
6) 배아‑태아 독성: 이 약은 태아에게 해를 유발할 수 있다. 가임기 여성에게는 태아에 대한 잠재적 위험을 알리고 효과적인 피임법을 사용하도록 권고한다 (5. 일반적주의 참고).
2. 다음 환자에게는 투여하지 말 것
이 약 또는 이 약의 구성성분에 과민증이 있는 자.
3. 다음 환자에게는 신중히 투여할 것
간질성 폐질환/폐염증의 발병 위험인자를 가지고 있는 환자(약물 유발성 간질성 폐질환, 방사선 폐염증 등)
4. 이상사례
이 약과 레이저티닙을 병용하는 경우
다음의 안전성 정보는 MARIPOSA 연구에서 이 약과 레이저티닙 병용요법에 노출된 EGFR 엑손 19 결손 또는 엑손 21(L858R) 치환 변이된 국소 진행성 또는 전이성 비소세포폐암 환자 421명으로부터 얻어진 것이다. 환자들은 레이저티닙 240mg을 1일 1회 경구로 병용 투여받으며 이 약은 처음 4주 동안 1050mg (체중 80kg 미만인 경우) 또는 1400mg (체중 80kg 이상인 경우) 주1회 정맥 투여받았고, 이후 5주차부터는 2주 마다 투여받았으며, 질병이 진행되거나 허용할 수 없는 독성이 나타날 때까지 지속했다. 이 약과 레이저티닙을 병용 투여한 421명의 환자 중 73%는 6개월 이상 노출되었고, 59%는 1년 넘게 노출되었다. 가장 흔한 이상반응(20% 이상)은 발진, 손발톱 독성, 주입관련반응, 부종, 근골격 통증, 구내염, 정맥 혈전색전증, 지각 이상, 피로, 설사, 변비, 코로나19, 건성 피부, 출혈, 식욕 감소, 소양증, 오심 및 안 독성이였다. 가장 흔한(2% 이상) 3 또는 4등급 실험실 검사 이상으로는 알부민 감소, 알라닌 아미노전이효소 증가, 나트륨 감소, 헤모글로빈 감소, 아스파르트산 아미노전이효소 증가, 감마 글루타밀 전이효소 증가 그리고 마그네슘 증가가 있었다.
이 약과 카보플라틴 및 페메트렉시드 병용 투여하는 경우
다음의 안전성 정보는 다음 두 연구에서 이 약과 카보플라틴 및 페메트렉시드 병용요법에 노출된 281명으로부터 얻어진 것이다.
◦ MARIPOSA‑2 연구의 오시머티닙 치료 도중 또는 이후에 진행이 확인된 EGFR 엑손 19 결손 또는 엑손 21(L858R) 치환 변이된 국소 진행성 또는 전이성 비소세포폐암 환자 130명
◦ PAPILLON 연구의 이전에 치료받은 적 없는 EGFR 엑손 20 삽입 변이된 국소 진행성 또는 전이성 비소세포폐암 환자 151명
환자들은 처음 4주 동안은 이 약 1400mg (체중 80kg 미만인 경우) 또는 1750mg (체중 80kg 이상인 경우)을 주1회 정맥 투여받았고, 이후 7주차부터는 3주마다 1750mg (체중이 80kg 미만인 경우) 또는 2100mg (체중이 80kg 이상인 경우)의 용량을 투여받았으며, 질병이 진행되거나 허용할 수 없는 독성이 나타날 때까지 지속하였고, 카보플라틴 AUC5는 3주마다 1회씩 최대 12주 동안, 페메트렉시드는 500 mg/m2을 3주마다 1회씩 병용 투여받았으며, 질병이 진행되거나 허용할 수 없는 독성이 나타날 때까지 지속했다. 이 약과 카보플라틴 및 페메트렉시드를 병용 투여한 281명의 환자 중 65%는 6개월 이상 노출되었고, 24%는 1년 넘게 노출되었다. 이 안전성 환자집단에서 가장 흔한(20% 이상) 이상반응은 발진, 손발톱 독성, 주입관련반응, 피로, 오심, 구내염, 변비, 부종, 식욕 감소, 근골격 통증, 구토, 그리고 코로나19였다. 가장 흔한(2% 이상) 3 또는 4등급 실험실 검사 이상으로는 중성구 감소, 백혈구 감소, 혈소판 감소, 헤모글로빈 감소, 칼륨 감소, 나트륨 감소, 알라닌 아미노전이효소 증가, 감마 글루타밀 전이효소 증가, 그리고 알부민 감소가 있었다.
이 약을 단독투여하는 경우
다음의 안전성 정보는 CHRYSALIS 연구에서 이 약 단일요법(체중 80kg 미만의 경우 1050mg, 체중 80kg 이상의 경우 1400mg를 처음 4주간은 주1회, 이후에는 2주에 1회 투여)에 노출된 국소진행성 또는 전이성 비소세포폐암 환자 302명으로부터 얻어진 것이다. 이 약을 투여받은 302명의 환자 중, 36%는 6개월 이상, 12%는 1년 넘게 이 약에 노출되었다. 이 안전성 환자집단에서, 가장 흔한(20% 이상) 이상반응은 발진, 주입관련반응, 손발톱주위염, 근골격 통증, 호흡 곤란, 오심, 부종, 기침, 피로, 구내염, 변비, 구토, 소양증이었다. 가장 흔한(2% 이상) 3, 4등급 실험실 검사 이상으로는 림프구 감소, 인산 감소, 알부민 감소, 혈당 증가, 감마‑글루타밀 전이효소 증가, 나트륨 감소, 칼륨 감소, 알칼리 인산분해효소 증가가 있었다.
엑손 19 결손 또는 엑손 21(L858R) 치환 변이된 비소세포폐암 1차 치료
아래에 기술된 안전성 자료는 이전에 치료받지 않은 EGFR 엑손 19 결손 또는 엑손 21(L858R) 치환 변이된 국소 진행성 또는 전이성 비소세포폐암 환자 421명을 대상으로 한 MARIPOSA 시험에서 이 약과 레이저티닙 병용 투여 노출을 반영한다. 환자들은 레이저티닙 240mg을 1일 1회 경구로 병용 투여받으면서 이 약은 4주 동안 매주 1회 1050mg (80kg 미만 환자의 경우) 또는 1400mg (80kg 이상 환자의 경우) 정맥 투여받았고, 이후 5주차부터는 2주마다 투여받았다. 이 약과 레이저티닙을 병용 투여받은 421명의 환자 중 73%는 이 약에 6개월 이상 노출되었고 59%는 1년 넘게 이 약에 노출되었다.
이 약과 레이저티닙을 병용 투여받은 환자들의 연령 중앙값은 64세(범위: 25~88세)였으며, 64%는 여성이었고, 59%가 아시아인, 38%가 백인, 1.7%가 아메리카 원주민 또는 알래스카 원주민, 0.7%가 흑인 또는 아프리카계 미국인, 1%가 인종 불명이거나 다른 인종, 13%가 히스패닉 또는 라틴계였으며, 67%가 ECOG (Eastern Cooperative Oncology Group) 수행 상태 1, 33%가 ECOG 수행 상태 0이었고, 60%가 EGFR 엑손 19 결손이 있었고, 40%가 EGFR 엑손 21(L858R) 치환 돌연변이가 있었다.
중대한 이상반응은 이 약과 레이저티닙을 병용 투여받은 환자의 49%에서 발생했다. 환자의 2% 이상에서 발생한 중대한 이상반응에는 정맥 혈전색전증 (11%), 폐렴 (4%), 발진과 간질성 폐질환/폐염증 (각각 2.9%), 코로나19 (2.4%) 그리고 흉막 삼출과 주입관련반응 (각각 2.1%)이 포함되었다. 이 약과 레이저티닙을 병용 투여받은 환자들에서 생명에 치명적인 이상반응은 7%에서 발생했으며, 달리 명시되지 않은 사망 (1.2%), 패혈증 및 호흡부전 (각각 1%), 폐렴, 심근경색 및 급사 (각각 0.7%), 뇌경색, 폐 색전증 및 코로나19 (각각 0.5%) 그리고 간질성 폐질환/폐염증, 급성 호흡 곤란 증후군 및 심폐 정지 (각각 0.2%)로 인해 발생했다.
이상반응으로 이 약을 영구 중단한 환자는 34%였다. 환자의 1% 이상에서 이 약의 영구 중단을 초래한 이상반응으로는 발진, 주입관련반응, 손발톱 독성, 정맥 혈전색전증, 간질성 폐질환/폐염증, 폐렴, 부종, 저알부민혈증, 피로, 지각 이상 그리고 호흡 곤란이 있었다.
이상반응으로 이 약을 투여 중단한 환자는 88%였다. 환자의 5% 이상에서 투여 중단을 초래한 이상반응으로는 주입관련반응, 발진, 손발톱 독성, 코로나19, 정맥 혈전색전증, 알라닌 아미노전이효소 증가, 부종 그리고 저알부민혈증이 있었다.
이상반응으로 이 약의 용량을 감소한 환자는 46%였다. 환자의 5% 이상에서 용량 감소를 초래한 이상반응으로는 발진 및 손발톱 독성이 있었다.
가장 흔한(20% 이상) 이상반응은 발진, 손발톱 독성, 주입관련반응, 근골격 통증, 구내염, 부종, 정맥 혈전색전증, 지각 이상, 피로, 설사, 변비, 코로나19, 출혈, 건성 피부, 식욕 감소, 소양증 및 오심이었다. 가장 흔한(2% 이상) 3 또는 4등급 실험실 검사 이상은 알부민 감소, 나트륨 감소, 알라닌 아미노전이효소 증가, 칼륨 감소, 헤모글로빈 감소, 아스파르트산 아미노전이효소 증가, 감마 글루타밀 전이효소 증가 및 마그네슘 증가였다.
표 8에 MARIPOSA 연구에서의 이상반응(10% 이상)을 요약하였다.
표 8. MARIPOSA 연구에서 엑손 19 결손 또는 엑손 21(L858R) 치환 변이된 비소세포폐암 환자의 이상 반응(≧ 10%)
|
이상반응1 |
이 약과 레이저티닙 병용
(N=421) |
오시머티닙
(N=428) |
|
기관계 분류
이상반응 |
모든 등급 (%) |
3, 4등급 (%) |
모든 등급 (%) |
3, 4등급 (%) |
|
피부 및 피하조직 장애 |
|
발진* |
86 |
26 |
48 |
1.2 |
|
손발톱 독성* |
71 |
11 |
34 |
0.7 |
|
건성 피부* |
25 |
1 |
18 |
0.2 |
|
소양증 |
24 |
0.5 |
17 |
0.2 |
|
손상, 중독 및 시술 합병증 |
|
주입관련반응+ |
63 |
6 |
0 |
0 |
|
근골격계 및 결합조직 장애 |
|
근골격 통증 |
47 |
2.1 |
39 |
1.9 |
|
각종 위장관 장애 |
|
구내염* |
43 |
2.4 |
27 |
0.5 |
|
설사* |
31 |
2.6 |
45 |
0.9 |
|
변비 |
29 |
0 |
13 |
0 |
|
오심 |
21 |
1.2 |
14 |
0.2 |
|
구토 |
12 |
0.5 |
5 |
0 |
|
복통* |
11 |
0 |
10 |
0 |
|
치핵 |
10 |
0.2 |
2.1 |
0.2 |
|
전신장애 및 투여부위 상태 |
|
부종* |
43 |
2.6 |
8 |
0 |
|
피로* |
32 |
3.8 |
20 |
1.9 |
|
발열 |
12 |
0 |
9 |
0 |
|
각종 혈관 장애 |
|
정맥 혈전색전증*a |
36 |
11 |
8 |
2.8 |
|
출혈* |
25 |
1 |
13 |
1.2 |
|
각종 신경계 장애 |
|
지각 이상* |
35 |
1.7 |
10 |
0.2 |
|
어지러움* |
14 |
0 |
10 |
0 |
|
두통* |
13 |
0.2 |
13 |
0 |
|
감염 및 기생충 감염 |
|
코로나19 |
26 |
1.7 |
24 |
1.4 |
|
결막염 |
11 |
0.2 |
1.6 |
0 |
|
대사 및 영양 장애 |
|
식욕 감소 |
24 |
1 |
18 |
1.4 |
|
호흡기, 흉곽 및 종격 장애 |
|
기침 |
19 |
0 |
23 |
0 |
|
호흡 곤란 |
14 |
1.7 |
17 |
3.5 |
|
각종 눈 장애 |
|
기타 눈 장애* |
16 |
0.7 |
7 |
0 |
|
각종 정신 장애 |
|
불면증 |
10 |
0 |
11 |
0 |
* 그룹화된 용어
+ 이 약에만 해당
이 약과 레이저티닙 병용 투여를 받은 환자의 10% 미만에서 발생한 임상적으로 관련 있는 이상반응은 간질성 폐질환/폐염증 (3.1%)이다.
표 9에 MARIPOSA 연구에서 나타난 실험실 검사 이상을 요약하였다.
표 9. MARIPOSA 연구에서 이전에 치료받지 않은 EGFR 엑손 19 결손 또는 엑손 21 (L858R) 치환 변이된 비소세포폐암 환자에서 베이스라인보다 악화된 실험실 검사 이상 (≧ 20%)
+
|
실험실 검사 이상* |
이 약과 레이저티닙 병용
(N=421) |
오시머티닙
(N=428) |
|
모든 등급 (%) |
3, 4등급 (%) |
모든 등급 (%) |
3, 4등급 (%) |
|
화학 검사 |
|
알부민 감소 |
89 |
8 |
22 |
0.2 |
|
알라닌 아미노 전이효소 증가 |
65 |
7 |
29 |
2.6 |
|
아스파르트산 아미노 전이효소 증가 |
52 |
3.8 |
36 |
1.9 |
|
알칼리 인산 분해 효소 증가 |
45 |
0.5 |
15 |
0.5 |
|
칼슘 감소(보정) |
41 |
1.4 |
27 |
0.7 |
|
감마-글루타밀 전이효소 증가 |
39 |
2.6 |
24 |
1.9 |
|
나트륨 감소 |
38 |
7 |
35 |
5 |
|
칼륨 감소 |
30 |
5 |
15 |
1.2 |
|
크레아티닌 증가 |
26 |
0.7 |
35 |
0.7 |
|
마그네슘 감소 |
25 |
0.7 |
10 |
0.2 |
|
마그네슘 증가 |
12 |
2.6 |
20 |
4.8 |
|
혈액학 검사 |
|
혈소판 감소 |
52 |
0.7 |
57 |
1.4 |
|
헤모글로빈 감소 |
47 |
3.8 |
56 |
1.9 |
|
백혈구 감소 |
38 |
1.0 |
66 |
0.7 |
|
중성구 감소 |
15 |
1.4 |
33 |
1.4 |
+ 특정 실험실 시험에 대한 베이스라인 값과 최소 하나의 치료 후 값이 있는 환자 수를 비율을 계산하는 데에 분모로 사용하였다.
이전에 치료받은 적이 있는 EGFR 엑손 19 결손 또는 엑손 21 (L858R) 치환 변이된 비소세포폐암
아래에 기술된 안전성 자료는 MARIPOSA‑2 시험에서 이 약과 카보플라틴 및 페메트렉시드의 병용투여 노출을 반영한다. 적합한 환자들은 오시머티닙 치료 중 또는 치료 후에 질병이 진행된 EGFR 엑손 19 결손 또는 엑손 21 (L858R) 치환 돌연변이가 있는 국소 진행성 또는 전이성 비소세포폐암을 앓고 있었다. 무증상이거나 이전에 치료받고 안정적인 두개내 전이가 있는 환자가 적합했다. 환자들은 4주 동안 이 약 1400mg (체중 80kg 미만인 경우) 또는 1750mg (체중 80kg 이상인 경우)을 주1회 정맥 투여 받았고, 이후 7주차부터는 3주마다 1750mg (체중이 80kg 미만인 경우) 또는 2100mg (체중이 80kg 이상인 경우)의 용량을 투여 받았으며, 질병이 진행되거나 허용할 수 없는 독성이 나타날 때까지 지속하였고 카보플라틴 AUC5는 3주마다 1회씩 최대 12주 동안, 페메트렉시드는 500 mg/m2을 3주마다 1회씩 병용투여 받았으며, 질병이 진행되거나 허용할 수 없는 독성이 나타날 때까지 지속했다. 이 약을 투여한 환자 중 (n=130) 52%는 6개월 이상 노출되었고, 7%는 1년 넘게 노출되었다. 치료기간 중앙값은 6.3개월(범위 0~14.7개월)이었다.
연령 중앙값은 62세(범위: 36~84세)였으며, 62%는 여성이었고, 48%가 아시아인, 46%가 백인, 2.3%가 흑인 또는 아프리카계 미국인, 1.5%가 인종 미보고, 1.5%가 인종 불명, 0.8%가 알래스카 원주민, 7%가 히스패닉 또는 라틴계였으며, 87%는 베이스라인 체중이 80kg 미만이었다.
아래 표 10에 기술된 이상반응은 이 약과 카보플라틴 및 페메트렉시드 병용(N=130) 치료기간 중앙값 6.3개월 (범위: 0~14.7개월)의 노출 또는 카보플라틴 및 페메트렉시드(N=243) 치료기간 중앙값 3.7개월 (범위: 0~15.9개월)의 노출을 반영한다.
이 약과 카보플라틴 및 페메트렉시드를 병용투여 받은 환자의 32%에서 중대한 이상반응이 발생했다. 환자의 2% 이상에서 발생한 중대한 이상반응으로는 호흡 곤란 (3.1%), 혈소판 감소증 (3.1%), 패혈증 (2.3%), 그리고 폐색전증 (2.3%)이 포함되었다. 이 약과 카보플라틴 및 페메트렉시드를 병용투여 받은 환자의 2.3%에서 생명에 치명적인 이상반응이 발생했고, 호흡곤란, 패혈증 및 심실세동 (각각 0.8%)이 포함되었다.
환자의 11%가 이상반응으로 인해 이 약을 영구적으로 중단하였다. 환자의 5% 이상에서 치료 중단으로 이어진 가장 빈번한 이상반응은 주입 관련 반응이었다.
환자의 60%가 이상반응으로 인해 이 약의 투여를 중단하였다. 환자의 52%에서 주입 중단이 필요한 주입관련 반응이 발생했다. 환자의 5% 이상에서 투여 중단이 필요한 이상반응에는 주입관련반응, 발진 및 피로가 포함되어 있다.
환자의 17%는 이상반응으로 인해 이 약의 용량을 감소하였다. 환자의 2% 이상에서 용량 감소를 초래한 이상반응으로는 발진이 있었다.
가장 흔한 이상 반응(20% 이상)은 발진, 주입 관련 반응, 피로, 손발톱 독성, 오심, 변비, 부종, 구내염, 식욕 감소, 근골격 통증, 구토 및 코로나19였다.
표 10. MARIPOSA‑2 연구에서 이 약과 카보플라틴 및 페메트렉시드를 병용투여 받은, 이전에 치료받은 적이 있는 엑손 19 결손 또는 엑손 21 (L858R) 치환 변이된 비소세포폐암 환자에서 발생한 이상반응 (>10%)
|
기관계 분류
이상반응 |
이 약 + 카보플라틴 + 페메트렉시드
(N=130) |
카보플라틴 + 페메트렉시드
(N=243) |
|
모든 등급 (%) |
3, 4등급 (%) |
모든 등급 (%) |
3, 4등급 (%) |
|
피부 및 피하조직 장애 |
|
발진* |
72 |
11 |
12 |
0 |
|
손발톱 독성* |
45 |
2.3 |
0.4 |
0 |
|
소양증 |
15 |
0 |
7.0 |
0 |
|
건성 피부* |
15 |
0 |
2.5 |
0 |
|
전신장애 및 투여부위 상태 |
|
주입관련반응 |
59 |
5.4 |
0.4 |
0 |
|
피로* |
51 |
3.8 |
35 |
3.7 |
|
부종* |
36 |
1.5 |
11 |
0.4 |
|
발열 |
12 |
0 |
10 |
0 |
|
각종 위장관 장애 |
|
오심 |
45 |
0.8 |
37 |
0.8 |
|
변비 |
39 |
0.8 |
30 |
0 |
|
구내염* |
35 |
2.3 |
11 |
0 |
|
구토 |
25 |
0.8 |
17 |
0.4 |
|
설사 |
15 |
1.5 |
7 |
0.8 |
|
근골격 및 결합 조직 장애 |
|
근골격 통증* |
30 |
3.1 |
19 |
0.8 |
|
대사 및 영양 장애 |
|
식욕 감소 |
31 |
0 |
21 |
1.2 |
|
감염 및 기생충 감염 |
|
코로나19 |
21 |
1.5 |
10 |
0 |
|
각종 혈관 장애 |
|
출혈* |
14 |
0.8 |
4.9 |
0 |
|
각종 눈 장애 |
|
안 독성* |
17 |
0 |
3.7 |
0 |
|
호흡기, 흉곽 및 종격 장애 |
|
기침* |
14 |
0 |
16 |
0.4 |
|
호흡 곤란* |
13 |
1.5 |
8 |
1.2 |
* 그룹화된 용어
이 약과 카보플라틴 및 페메트렉시드 병용투여 받은 환자의 10% 미만에서 발생한 임상적으로 관련 있는 이상반응은 복통, 치핵, 어지러움, 시각 장애, 장첩모증, 각막염, 그리고 간질성 폐질환을 포함한다.
표 11에 MARIPOSA‑2 연구에서 나타난 실험실 검사 이상을 요약하였다.
표 11. MARIPOSA‑2 연구에서 이 약과 카보플라틴 및 페메트렉시드를 병용투여 받은, 이전에 치료받은 적이 있는 엑손 19 결손 또는 엑손 21 (L858R) 치환 변이된 비소세포폐암 환자에서 베이스라인보다 악화된 실험실 검사 이상 (≧20%)
|
실험실 검사 이상 * |
이 약 + 카보플라틴 + 페메트렉시드
(N=130) |
카보플라틴 + 페메트렉시드
(N=243) |
|
모든 등급 (%) |
3, 4등급 (%) |
모든 등급 (%) |
3, 4등급 (%) |
|
혈액학 검사 |
|
백혈구 감소 |
91 |
42 |
85 |
19 |
|
중성구 감소 |
74 |
49 |
64 |
25 |
|
혈소판 감소 |
74 |
17 |
58 |
9 |
|
헤모글로빈 감소 |
71 |
12 |
77 |
9 |
|
림프구 감소 |
69 |
28 |
58 |
18 |
|
화학 검사 |
|
알부민 감소 |
73 |
3.8 |
26 |
0.4 |
|
나트륨 감소 |
49 |
11 |
30 |
6 |
|
아스파르트산 아미노 전이효소 증가 |
47 |
0.8 |
52 |
0.9 |
|
알칼리 인산 분해효소 증가 |
42 |
0 |
29 |
0.4 |
|
알라닌 아미노전이효소 증가 |
39 |
3.9 |
56 |
6 |
|
마그네슘 감소 |
38 |
0.8 |
17 |
0.4 |
|
칼륨 감소 |
37 |
11 |
12 |
3.4 |
|
감마-글루타밀 전이효소 증가 |
30 |
3.1 |
41 |
1.3 |
|
칼슘 감소(보정) |
25 |
0 |
11 |
0.9 |
엑손 20 삽입 변이 비소세포폐암 1차 치료
아래에 기술된 안전성 자료는 EGFR 엑손 20 삽입변이가 있는 국소 진행성 또는 전이성 비소세포폐암 환자 151명을 대상으로 한 PAPILLON 시험에서 이 약과 카보플라틴 및 페메트렉시드의 병용투여 노출을 반영한다. 이 약과 카보플라틴 및 페메트렉시드를 병용 투여한 환자의 노출 중앙값은 9.7개월 (범위: 0.0~26.9개월)이었다. 카보플라틴과 페메트렉시드만 투여받은 환자의 노출 중앙값은 6.7개월(범위 0.0~25.3)이었다.
연령 중앙값은 61세(범위: 27~86세)였으며, 56%는 여성이었고, 64%가 아시아인, 32%가 백인, 1.3%가 흑인 또는 아프리카계 미국인이었고, 1.3%는 인종이 보고되지 않았는데, 89%는 히스패닉이나 라틴계가 아니었고, 86%는 베이스라인 체중이 80kg 미만이었다.
중대한 이상반응은 이 약과 카보플라틴 및 페메트렉시드를 병용 투여한 환자의 37%에서 발생했다. 환자의 2% 이상에서 발생한 중대한 이상반응에는 발진, 폐렴, 간질성 폐질환, 폐 색전증, 구토 및 코로나19가 포함되었다. 생명에 치명적인 이상반응은 7명(4.6%)의 환자에서 폐렴, 뇌혈관 사고, 심폐 정지, 코로나19, 패혈증 및 별도로 명시되지 않은 사망으로 인해 발생했다.
환자의 11%가 이상반응으로 인해 이 약을 영구적으로 중단하였다. 환자의 1% 이상에서 이 약의 영구 중단을 초래한 이상반응으로는 간질성 폐질환, 발진이 있었다.
환자의 64%가 이상반응으로 인해 이 약의 투여를 일시 중단하였다. 주입 중단이 필요한 주입관련반응이 환자의 38%에서 발생하였다. 환자의 5% 이상에서 투여 중단을 초래한 이상반응으로는 발진, 손발톱 독성이 있었다.
환자의 36%가 이상반응으로 인해 이 약의 용량을 감소하였다. 환자의 5% 이상에서 용량 감소를 초래한 이상반응으로는 발진과 손발톱 독성이 있었다.
가장 흔한(20% 이상) 이상반응은 발진, 손발톱 독성, 구내염, 주입관련반응, 피로, 부종, 변비, 식욕 감소, 오심, 코로나19, 설사, 구토였다. 가장 흔한(2% 이상) 3, 4등급 실험실 검사 이상은 알부민 감소, 알라닌 아미노전이효소 증가, 감마‑글루타밀 전이효소 증가, 나트륨 감소, 칼륨 감소, 마그네슘 감소, 그리고 백혈구, 헤모글로빈, 중성구, 혈소판, 림프구 감소였다.
표 12에 PAPILLON 연구에서의 이상반응을 요약하였다.
표 12. PAPILLON 연구에서 이 약과 카보플라틴 및 페메트렉시드를 병용투여 받은, 엑손 20 삽입 변이가 있는 전이성 비소세포폐암 환자에서 발생한 이상반응 (≧10%)
|
이상반응* |
이 약과 카보플라틴 및 페메트렉시드 병용
(n=151) |
카보플라틴 및 페메트렉시드
(n=155) |
|
모든 등급 (%) |
3, 4등급 (%) |
모든 등급 (%) |
3, 4등급 (%) |
|
피부 및 피하조직 장애 |
|
발진† |
90 |
19 |
19 |
0 |
|
손발톱 독성† |
62 |
7 |
3 |
0 |
|
건성 피부† |
17 |
0 |
6 |
0 |
|
각종 위장관 장애 |
|
구내염† |
43 |
4 |
11 |
0 |
|
변비 |
40 |
0 |
30 |
0.7 |
|
오심 |
36 |
0.7 |
42 |
0 |
|
구토 |
21 |
3.3 |
19 |
0.7 |
|
설사 |
21 |
3 |
13 |
1.3 |
|
치핵 |
12 |
1 |
1.3 |
0 |
|
복통† |
11 |
0.7 |
8 |
0 |
|
전신장애 및 투여부위 상태 |
|
주입관련반응 |
42 |
1.3 |
1.3 |
0 |
|
피로† |
42 |
6 |
45 |
3.9 |
|
부종† |
40 |
1.3 |
19 |
0 |
|
발열† |
17 |
0 |
6 |
0 |
|
대사 및 영양 장애 |
|
식욕 감소 |
36 |
2.6 |
28 |
1.3 |
|
감염 및 기생충 감염 |
|
코로나19 |
24 |
2 |
14 |
0.6 |
|
폐렴† |
13 |
5 |
6 |
1.9 |
|
각종 혈관 장애 |
|
출혈† |
18 |
0.7 |
11 |
1.9 |
|
호흡기, 흉곽 및 종격 장애 |
|
기침† |
17 |
0 |
16 |
0 |
|
호흡곤란† |
11 |
1.3 |
16 |
3.2 |
|
검사 |
|
체중 감소 |
14 |
0.7 |
8 |
0 |
|
각종 신경계 장애 |
|
어지러움† |
11 |
0 |
12 |
0 |
|
정신계 장애 |
|
불면증 |
11 |
0 |
13 |
0 |
* CTCAE 버전 5.0 사용하여 이상반응 등급 판정.
† 그룹화된 용어
이 약과 카보플라틴 및 페메트렉시드 병용투여 받은 환자의 10% 미만에서 발생한 임상적으로 관련 있는 이상반응은 폐 색전증, 심부 정맥 혈전증, 피부 궤양, 결막염, 간질성 폐질환/폐염증을 포함한다.
표 13에 PAPILLON 연구에서 나타난 실험실 검사 이상을 요약하였다.
표 13. PAPILLON 연구에서 이 약과 카보플라틴 및 페메트렉시드를 병용투여 받은, 엑손 20 삽입 변이가 있는 전이성 비소세포폐암 환자에서 베이스라인보다 악화된 실험실 검사 이상 (≧20%)
|
실험실 검사 이상* |
이 약과 카보플라틴 및 페메트렉시드 병용† |
카보플라틴 및 페메트렉시드‡ |
|
모든 등급 (%) |
3, 4등급 (%) |
모든 등급 (%) |
3, 4등급 (%) |
|
혈액학 검사 |
|
백혈구 감소 |
89 |
17 |
76 |
10 |
|
헤모글로빈 감소 |
79 |
11 |
85 |
13 |
|
중성구 감소 |
76 |
36 |
61 |
23 |
|
혈소판 감소 |
70 |
10 |
54 |
12 |
|
림프구 감소 |
61 |
11 |
49 |
13 |
|
화학 검사 |
|
알부민 감소 |
87 |
7 |
34 |
1 |
|
아스파르트산 아미노 전이효소 증가 |
60 |
1 |
61 |
1 |
|
알라닌 아미노 전이효소 증가 |
57 |
4 |
54 |
1 |
|
나트륨 감소 |
55 |
7 |
39 |
4 |
|
알칼리 인산 분해효소 증가 |
51 |
1 |
28 |
0 |
|
칼륨 감소 |
44 |
11 |
17 |
1 |
|
마그네슘 감소 |
39 |
2 |
30 |
1 |
|
감마-글루타밀 전이효소 증가 |
38 |
4 |
43 |
4 |
|
칼슘 감소(보정) |
27 |
1 |
18 |
1 |
* CTCAE 버전 5.0 사용하여 이상반응 등급 판정.
† 비율 계산을 위한 분모는, 베이스라인 수치 및 적어도 하나 이상의 치료 후 수치가 있는 환자 수에 따라 113에서 150까지 다양했다.
‡ 비율 계산을 위한 분모는, 베이스라인 수치 및 적어도 하나 이상의 치료 후 수치가 있는 환자 수에 따라 119에서 154까지 다양했다.
이전에 치료받은 적이 있는 엑손 20 삽입 변이 비소세포폐암
아래 기술된 안전성 자료는 이 약 권장용량에 대한, EGFR 엑손 20 삽입변이가 있고 백금 기반 화학요법 치료 중 또는 이후에 질병이 진행된 국소진행성 또는 전이성 비소세포폐암 환자 129명을 대상으로 한 CHRYSALIS 시험에서의 노출을 반영한다. 이 약을 투여받은 환자 중 44%는 6개월 이상, 12%는 1년 이상 이 약에 노출되었다.
연령 중앙값은 62세(범위: 36~84세)였으며, 61%가 여성이었고, 55%가 아시안, 35%가 백인, 2.3%가 흑인이었으며, 82%가 베이스라인에서의 체중 80kg 미만이었다.
이 약을 투여받은 환자의 30%에서 중대한 이상반응이 발생하였다. 환자 2% 이상에서 발생한 중대한 이상반응은 폐 색전증, 폐염증/간질성 폐질환, 호흡곤란, 근골격 통증, 폐렴, 근육 쇠약을 포함하였다. 생명에 치명적인 이상반응으로는 폐렴이 2명(1.5%)에서 발생하였고 급사가 1명(0.8%)에서 발생하였다.
환자의 11%가 이상반응으로 인해 이 약을 영구적으로 중단하였다. 환자의 1% 이상에서 이 약의 영구 중단을 초래한 이상반응으로는 폐렴, 주입관련반응, 폐염증/간질성 폐질환, 호흡곤란, 흉막 삼출, 발진이 있었다.
환자의 78%가 이상반응으로 인해 이 약의 투여를 일시 중단하였다. 투여 중단이 필요한 주입관련반응이 환자의 59%에서 발생하였다. 환자의 5% 이상에서 투여 중단을 초래한 이상반응으로는 호흡곤란, 오심, 발진, 구토, 피로, 설사가 있었다.
환자의 15%가 이상반응으로 인해 이 약의 용량을 감소하였다. 환자의 2% 이상에서 용량 감소를 초래한 이상반응으로는 발진과 손발톱주위염이 있었다.
가장 흔한(20% 이상) 이상반응은 발진, 주입관련반응, 손발톱주위염, 근골격 통증, 호흡곤란, 오심, 피로, 부종, 구내염, 기침, 변비, 구토였다. 가장 흔한(2% 이상) 3, 4등급 실험실 검사 이상은 림프구 감소, 알부민 감소, 인산 감소, 칼륨 감소, 혈당 증가, 알칼리 인산분해효소 증가, 감마‑글루타밀 전이효소 증가, 나트륨 감소였다.
Chrysalis 연구에서의 이상반응은 다음 표로 요약된다.
표 14. Chrysalis 연구에서 이 약을 투여받은, 백금 기반 화학요법 치료 중 또는 치료 이후에 질병이 진행된 엑손 20 삽입 변이 비소세포폐암 환자에서 발생한 이상반응 (≧10%)
|
이상반응 |
이 약* (N=129) |
|
모든 등급 (%) |
3, 4등급 (%) |
|
피부 및 피하조직 장애 |
|
발진†
소양증
건성 피부 |
84
18
14 |
3.9
0
0 |
|
전신장애 및 투여부위 상태 |
|
주입관련반응
피로†
부종†
발열 |
64
33
27
13 |
3.1
2.3
0.8
0 |
|
감염 및 기생충 감염 |
|
손발톱주위염
폐렴† |
50
10 |
3.1
0.8 |
|
근골격계 및 결합조직 장애 |
|
근골격 통증† |
47 |
0 |
|
호흡기, 흉곽 및 종격 장애 |
|
호흡곤란†
기침† |
37
25 |
2.3
0 |
|
각종 위장관 장애 |
|
오심
구내염†
변비
구토
설사
복통* |
36
26
23
22
16
11 |
0
0.8
0
0
3.1
0.8 |
|
각종 혈관 장애 |
|
출혈† |
19 |
0 |
|
대사 및 영양 장애 |
|
식욕 감소 |
15 |
0 |
|
각종 신경계 장애 |
|
말초신경병증†
어지러움
두통† |
13
12
10 |
0
0.8
0.8 |
* CTCAE 버전 4.03 사용하여 이상반응 등급 판정.
† 그룹화된 용어
이 약을 투여받은 환자의 10% 미만에서 발생하였으나 임상적으로 관련 있는 이상반응으로는 안독성, 간질성폐질환/폐염증, 독성 표피 괴사 용해가 있었다.
아래 표는 CHRYSALIS 연구에서 나타난 실험실 검사 이상을 보여준다.
표 15. Chrysalis 연구에서 이 약을 투여 받은, 백금 기반 화학요법 치료 중 또는 치료 이후에 질병이 진행된 엑손 20 삽입 변이 비소세포폐암 환자에서 베이스라인보다 악화된 실험실 검사 이상 (≧20%)
|
실험실 검사 이상 |
이 약+ (N=129) |
|
모든 등급 (%) |
3, 4등급 (%) |
|
화학 검사 |
|
알부민 감소
혈당 증가
알칼리 인산 분해효소 증가
크레아티닌 증가
알라닌 아미노 전이효소 증가
인산 감소
아스파르트산 아미노 전이효소 증가
마그네슘 감소
감마-글루타밀 전이효소 증가
나트륨 감소
칼륨 감소 |
79
56
53
46
38
33
33
27
27
27
26 |
8
4
4.8
0
1.6
8
0
0
4
4
6 |
|
혈액학 검사 |
|
림프구 감소 |
36 |
8 |
+ 비율 계산을 위한 분모는, 베이스라인 수치 및 적어도 하나 이상의 치료 후 수치가 있는 환자 수인 126이었다.
간질성 폐질환
다른 EGFR 저해제와 마찬가지로, 간질성 폐질환 또는 간질성 폐질환 유사 이상반응이 이 약 사용 시 보고되었다.
시판 후 사용경험
이 약의 사용과 관련된 다음의 이상반응이 확인되었다. 이러한 반응 중 일부는 규모가 불확실한 집단에서 자발적으로 보고되었기 때문에, 그 빈도를 신뢰성 있게 추정하거나 약물 노출에 대한 인과관계를 확립하는 것이 항상 가능하지는 않다.
‑ 피부 및 피하조직 장애: 피부 궤양
5. 일반적 주의
1) EGFR 변이 상태 검사
국소 진행성 또는 전이성 비소세포폐암의 치료제로서 이 약의 사용을 고려할 때, 숙련된 실험실에서 EGFR 변이 양성 상태 (1차 치료: 엑손 20 삽입, 엑손 19 결손 또는 엑손 21(L858R) 치환 변이, 2차 치료: 엑손 20 삽입 변이)를 확인하는 것이 중요하다.
CHRYSALIS (2차 치료), PAPILLON (1차 치료)에서는 EGFR 엑손 20 삽입 변이 양성 비소세포폐암을 진단하기 위해, 해당 지역에서 사용가능한 검사법(중합효소 연쇄반응 시험법(PCR) 또는 차세대 염기서열 분석법(NGS))을 사용하였다.
CHRYSALIS에서는 시험대상자의 40%는 중합효소 연쇄반응 시험법으로, 47%는 차세대 염기서열분석법으로 검사 및 선별되었다. PAPILLON에서는 EGFR 엑손 20 삽입 돌연변이 상태를 확인하기 위해 전체 308명의 환자에서의 종양 조직 (92.2%) 및/또는 혈장 (7.8%) 샘플을 지역 내에서 검사하였고 차세대 염기서열분석법(55.5%) 및/또는 중합효소 연쇄반응 시험법(44.5%)을 사용하였다. 이 중 221명의 참여자를 대상으로 Oncomine™ Dx Target Test와 Guardant360
® CDx를 사용한 중앙 확인 검사를 시행하였다. 한국에서 등록된 환자는 23명이었고, 이 중 70%(16명)는 중합효소 연쇄반응 시험법, 30%(7명)는 차세대 염기서열 분석법으로 등록되었다. 한국에서 사용된 지역 검사법에는 에이치엘비파나진㈜의 Panamutyper, ㈜젠큐릭스의 GenesWell™ ddEGFR Mutation Test, 에이치엘비파나진㈜의 PNAClamp™ Mutation Detection Kit, 로슈진단㈜의 Cobas
® EGFR Mutation Test, 써모피셔사이언티픽솔루션스유한회사의 QuantStudio™ Real‑Time PCR, Guardant Health, Inc.의 Guardant360
®, Illumina, Inc.의 TruSight Oncology 500, 써모피셔사이언티픽솔루션스유한회사의 Oncomine™ Dx Target Test가 포함되었다.
MARIPOSA (1차 치료)에서는 EGFR 엑손 19 결손 또는 엑손 21(L858R) 치환 변이 양성 비소세포폐암을 진단하기 위해, 해당 지역에서 사용가능한 검사법(중합효소 연쇄반응 시험법 또는 차세대 염기서열 분석법)을 사용하였다.
MARIPOSA에서 검체는 지역 검사를 통해 확인된 EGFR 엑손 19 결손 또는 엑손 21(L858R) 치환 돌연변이 중 하나를 가지고 있어야 했다. MARIPOSA 임상시험에 등록한 환자군은 지역 검사 결과에 따라 EGFR 돌연변이가 확인된 1074명의 참여자로 구성되어 있다. 이 중 871명의 환자들 대상으로 Cobas
® EGFR Mutation Test v2와 Guardant360
® CDx를 사용한 중앙 확인 검사를 시행하였다. 한국에서는 지역 검사법을 통해 164명의 환자가 등록하였으며, 2명의 환자는 차세대 염기서열분석법을 사용한 검사 결과를 가지고 있었고, 이를 제외한 환자들은 모두 중합효소 연쇄반응 시험법으로 검사되었다. 한국에서 사용된 지역 검사법에는 에이치엘비파나진㈜의 Panamutyper, 퀴아젠코리아(유)의 therascreen
® EGFR RGQ PCR kit, 로슈진단㈜의 Cobas
® EGFR Mutation Test, ㈜젠큐릭스의 GenesWell™ ddEGFR Mutation Test, Illumina, Inc.의 TruSight Oncology 500이 포함되었다.
2) 주입관련반응
이 약은 주입관련반응을 유발할 수 있다. 주입관련반응의 징후와 증상은 호흡곤란, 홍조, 발열, 오한, 오심, 흉부 불편감, 저혈압, 구토를 포함한다. 주입관련반응 발생까지의 시간 중앙값은 약 1시간이다.
이 약과 레이저티닙을 병용하는 경우
이 약을 레이저티닙과 병용하면 주입 관련 반응을 일으킬 수 있다. MARIPOSA에서 주입관련반응은 5%의 3등급과 1%의 4등급을 포함하여 이 약과 레이저티닙을 병용하여 치료받은 환자의 63%에서 발생했다. 주입관련반응으로 인한 투여 변경 발생률은 54%였으며, 환자의 0.7%가 이 약의 용량을 감소시켰다. 주입관련반응으로 인해 이 약과 레이저티닙을 병용 투여한 환자의 4.5%가 이 약을 영구적으로 중단했다.
이 약과 카보플라틴 및 페메트렉시드 병용 투여하는 경우
통합 안전성 집단에서, 이 약과 카보플라틴 및 페메트렉시드를 병용투여한 환자의 50%에서 3등급(3.2%) 이상반응을 포함하여 주입관련반응이 발생했다. 주입관련반응으로 인한 투여 변경 발생률은 46%였고, 환자의 2.8%는 이 약을 영구적으로 중단했다.
이 약을 단독투여하는 경우
CHRYSALIS에서 주입관련반응은 단일제로서 이 약을 투여받은 환자의 66%에서 발생하였다. 제1주 제1일에서는 65%의 환자가 주입관련반응을 경험한 반면, 주입관련반응은 제2일에 3.4%, 제2주에 0.4%, 이후 주입시 누적 1.1%의 빈도로 나타났다. 보고된 주입관련반응 중 97%는 1, 2등급이었으며, 3등급은 2.2%, 4등급은 0.4%이었다. 발생 시간의 중앙값은 주입 시작 후 1시간 (0.1~18 시간)이었다. 주입관련반응으로 인해 환자의 62%가 주입을 변경(용량 및 주입속도를 조절)하였고, 1.3%는 주입관련반응 때문에 이 약의 투여를 영구 중단하였다.
항히스타민제, 해열제, 글루코코르티코이드를 미리 처치하고 이 약을 주입하도록 한다 (용법용량 참고). 주입관련반응의 위험을 줄이기 위해 제1주와 제2주에는 이 약을 말초 라인을 통해 주입한다 (용법용량 참고).
비소세포폐암 환자에 대한 2상, 공개 라벨, 다기관 임상시험에서, 환자들은 이 약의 첫 주입 전 이틀 동안 1일 2회 8mg의 덱사메타손을 경구 투여받았다. 처음 주입 당일에는 주입 60분 전에 8mg을 경구 투여하였으며(총 5회 투여), 이와 함께 정맥 주사로 덱사메타손이 투여되었다. 경구 덱사메타손의 추가로 인해 첫 주입 당일 주입관련반응의 발생률이 22.5%로 감소하였으며, 3등급 이상의 주입관련반응은 발생하지 않았다.(용법용량 참조)
심폐소생 약물 및 기기를 사용 가능한 환경에서 이 약 주입 동안 주입관련반응의 징후 및 증상이 없는지 환자를 관찰한다. 주입관련반응이 의심되면 주입을 중단한다. 중증도에 따라 주입 속도를 감소시키거나 이 약 투여를 영구 중단한다 (용법용량 참고).
3) 간질성 폐질환/폐염증
이 약은 중대하고 치명적인 간질성 폐질환/폐염증을 유발할 수 있다.
이 약과 레이저티닙을 병용하는 경우
MARIPOSA에서 간질성 폐질환/폐염증은 1%의 3등급과 0.2%의 4등급을 포함하여 이 약과 레이저티닙을 병용하여 치료받은 환자의 3.1%에서 발생했다. 간질성 폐질환/폐염증의 치명적인 사례가 1건 발생했으며, 환자의 2.9%가 간질성 폐질환/폐염증으로 인해 이 약과 레이저티닙을 영구적으로 중단했다.
이 약과 카보플라틴 및 페메트렉시드 병용 투여하는 경우
통합 안전성 집단에서 이 약과 카보플라틴 및 페메트렉시드를 병용 투여한 환자의 2.1%에서 간질성 폐질환/폐염증이 발생했고 1.8%의 환자는 3등급 간질성 폐질환/폐염증을 경험했다. 환자의 2.1%는 간질성 폐질환/폐염증으로 이 약을 중단했다.
이 약을 단독투여하는 경우
CHRYSALIS에서 간질성 폐질환/폐염증은 단일제로서 이 약을 투여받은 환자의 3.3%에서 발생하였고, 0.7%는 3등급의 간질성 폐질환/폐염증을 경험하였다 (4. 이상사례 참고). 환자 3명(1%)은 간질성 폐질환/폐염증 때문에 이 약 투여를 영구적으로 중단하였다.
간질성 폐질환/폐염증을 나타내는 증상(예: 호흡곤란, 기침, 발열)이 새로 나타나거나 악화되는지 환자를 관찰한다. 간질성 폐질환/폐염증이 의심되면 이 약의 투여를 즉각 중단하고, 간질성 폐질환/폐염증으로 확인되면 이 약 투여를 영구 중단한다 (용법용량 참고).
4) 이 약과 레이저티닙을 함께 사용하는 경우 발생하는 정맥 혈전색전증
이 약과 레이저티닙을 병용하면 심부정맥혈전증 및 폐색전증을 포함한 중대하고 치명적인 정맥 혈전색전증 사건이 발생할 수 있다. 이러한 사례의 대부분은 치료 첫 4개월 동안 발생했다.
MARIPOSA에서 정맥 혈전색전증은 이 약과 레이저티닙을 병용 투여한 환자의 36%에서 발생했고, 10%의 3등급 그리고 0.5%의 4등급 환자가 포함되었다. 연구 중 정맥 혈전색전증은 항응고제 치료를 받는 동안 1.2%의 환자(n=5)에서 발생했다. 치명적인 사례가 2건(0.5%) 있었고, 환자의 9%는 정맥 혈전색전증으로 인해 이 약을 중단했고, 1%는 이 약의 용량을 줄였으며, 3.1%는 이 약을 영구 중단했다. 정맥 혈전색전증 발병까지 걸린 시간 중앙값은 84일 (범위: 6~777일)이었다. 치료 첫 4개월 동안은 예방적 항응고제를 투여하도록 한다. 비타민K 길항제의 사용은 권장되지 않는다. 정맥 혈전색전증의 징후와 증상을 모니터링하고 의학적으로 적절히 치료하도록 한다.
중증도에 따라 이 약과 레이저티닙을 중단하도록 한다. 항응고제 치료를 시작한 후 의료 제공자의 재량에 따라 이 약과 레이저티닙을 동일한 용량으로 재개하도록 한다. 항응고제 치료에도 불구하고 정맥 혈전색전증이 재발하는 경우, 이 약을 영구적으로 중단하도록 한다. 의료 제공자의 재량에 따라 동일 용량 레이저티닙으로 치료를 지속할 수 있다. 권장되는 레이저티닙 용량 조정에 대해서는 레이저티닙 처방정보를 확인하도록 한다.
5) 피부 이상반응
이 약은 독성 표피 괴사 용해 및 여드름양 피부염을 포함한 심각한 발진, 소양증, 건성 피부를 유발할 수 있다.
이 약과 레이저티닙을 병용하는 경우
MARIPOSA에서 발진은 26%의 3등급을 포함하여 이 약과 레이저티닙을 병용하여 치료받은 환자의 86%에서 발생했다. 발진이 나타나기까지 시간의 중앙값은 14일이었다 (범위: 1~556일). 발진으로 인해 환자의 37%가 이 약의 투여를 중단했고, 환자의 23%는 이 약의 용량을 감소시켰으며, 환자의 5%는 이 약을 영구적으로 중단했다.
이 약과 카보플라틴 및 페메트렉시드 병용 투여하는 경우
통합 안전성 집단에서 이 약과 카보플라틴 및 페메트렉시드를 병용 투여한 환자의 82%에서 발진이 발생하였고, 환자의 15%에서는 3등급 발진이 발생하였다. 발진으로 인해 환자의 14%는 용량을 감소시켰고, 2.5%는 이 약을 영구적으로 중단했으며, 3.1%는 페메트렉시드를 중단했다.
이 약을 단독투여하는 경우
CHRYSALIS에서 단일제로서 이 약을 투여받은 환자의 74%에서 발진이 발생하였고, 환자의 3.3%에서는 3등급 발진이 발생하였다. 발진 발병 시간의 중앙값은 14일(1~276일)이었다. 발진으로 인해 환자의 5%가 용량을 감소시켰고, 0.7%는 발진 때문에 이 약의 투여를 영구 중단하였다.
단일제로서 이 약을 투여받은 환자 1명(0.3%)에서 독성 표피 괴사 용해가 발생하였다.
환자에게 이 약 투여 도중 및 이후 2개월간은 직사광선 노출을 피하고 보호복 및 광범위 UVA/UVB 자외선차단제를 사용하며 무알콜(예. 이소프로판올 무함유, 에탄올 무함유) 피부연화크림을 건조 부위에 바르도록 권고한다.
이 약으로 치료를 시작할 때는 피부과적 이상 반응 위험을 줄이기 위해 무알콜(예. 이소프로판올 무함유, 에탄올 무함유) 연화크림을 바르도록 한다. 피부과적 이상 반응 위험을 줄이기 위해 예방적 조치(예. 경구 항생제 사용)를 고려해야 한다. 피부반응이 발생하면, 국소 코르티코스테로이드와 국소 및/또는 경구 항생제 투여를 시작한다. 3등급 반응에는 경구 스테로이드를 추가하고 피부과 상담을 고려한다. 환자가 중증의 발진, 비정형 양상이나 분포를 보이거나 2주내 개선되지 않으면 즉시 피부과 진료를 의뢰한다. 중증도에 따라 이 약의 투여를 일시 중지하거나, 용량을 감소시키거나 영구 중단한다.
6) 안 독성
이 약은 각막염, 안검염, 눈 건조 증상, 결막 발적, 시야 흐림, 시각 장애, 눈 가려움, 눈 소양증, 포도막염을 포함하는 안 독성을 유발할 수 있다. 눈 증상이 있는 환자는 즉시 안과 전문의에게 의뢰한다. 중증도에 따라 이 약의 투여를 일시 중지하거나, 용량을 감소시키거나 영구 중단한다.
이 약과 레이저티닙을 병용하는 경우
MARIPOSA에서 안 독성은 0.7%의 3 또는 4등급을 포함하여 이 약과 레이저티닙을 병용하여 치료받은 환자의 16%에서 발생했다. 중증도에 따라 이 약을 투여 중단, 용량 감소 또는 영구 중단하고 레이저티닙은 지속한다.
이 약과 카보플라틴 및 페메트렉시드 병용 투여하는 경우
통합 안전성 집단에서 이 약과 카보플라틴 및 페메트렉시드를 병용 투여한 환자의 16%에서 안 독성이 발생하였다. 모든 사례는 1 또는 2등급이었다.
이 약을 단독투여하는 경우
CHRYSALIS에서 이 약을 투여받은 환자의 0.7%에 각막염이, 0.3%에 포도막염이 발생하였다. 모든 사례는 1, 2등급이었다.
새로운 또는 악화된 눈 증상이 있는 환자는 즉시 안과 전문의에게 의뢰한다. 중증도에 따라 이 약의 투여를 일시 중지하거나, 용량을 감소시키거나 영구 중단한다.
7) 배아‑태아 독성
작용기전 및 동물모델로부터의 연구결과에 근거하였을 때, 임신부에게 투여 시 이 약은 태아에게 해를 유발할 수 있다. 임신한 동물에게 다른 EGFR 저해제를 투여하였을 때 배태아 발달 장애, 배아 치사, 유산 발생률이 증가하였다. 가임기 여성에게는 태아에 대한 잠재적 위험을 알리고 이 약 투여 도중 및 마지막 투여로부터 3개월까지 효과적인 피임법을 사용하도록 한다.
6. 임부, 수유부에 대한 투여
1) 임부
임부에 대한 이 약의 안전성을 평가한 자료는 없다. 임신한 동물에게 다른 EGFR 및 MET 저해제를 투여하였을 때 배아 태아 발달 장애, 배아 치사, 유산의 발생이 증가하였다. 따라서, 작용기전 및 동물모델에서의 결과를 근거로, 이 약은 임신한 여성에서 투여시 태아에게 해가 될 수 있다.
임부에 대한 투여 이익이 태아에 대한 잠재적 위험을 상회하는 경우 외에는 이 약을 임신 중에 사용하여서는 안 된다. 이 약 투여 중 환자가 임신하는 경우, 태아에 대한 잠재적 위험을 환자에게 알려야 한다.
2) 수유부
이 약이 사람 및 동물의 모유로 분비되는지, 모유 생성에 영향을 미치는지에 대해서는 알려져 있지 않다. 모유 수유를 받은 영아에게 심각한 이상반응을 초래할 가능성이 있으므로, 이 약 투여 도중 및 마지막 투여 후 3개월 간 수유하지 않을 것을 권장한다.
3) 피임
임부에게 투여시 이 약은 태아에게 해가 될 수 있으므로, 가임기 여성은 이 약 투여 도중 및 마지막 투여 후 3개월 간 효과적인 피임법을 사용하도록 권장된다. 남성 환자는 이 약 투여 도중 및 마지막 투여 후 3개월 간 효과적인 피임법(예. 콘돔)을 사용해야 하며 정자를 기증하거나 보관하면 안 된다.
7. 소아에 대한 투여
소아 환자에 대한 이 약의 안전성과 유효성은 확립되지 않았다.
8. 고령자에 대한 투여
고령자에게 이 약의 용량 조절은 필요하지 않다.
9. 과량투여
1) 증상 및 징후
이 약 과량투여에 대한 정보는 알려져 있지 않다.
2) 과량투여 시 처치
이 약 과량투여에 대한 특별한 해독제는 알려져 있지 않다. 과량투여 발생시 이 약 투여를 중단하고, 임상적인 독성이 감소 또는 해결될 때까지 일반적인 보조요법을 시행한다.
10. 적용상의 주의
1) 투여준비
이 약 용액은 의료전문가가 무균 조작하여 정맥주입용으로 희석 및 준비되어야 한다.
(1) 환자의 투여시작시 체중을 근거로 이 약의 필요용량 및 필요한 바이알 수를 결정한다 (‘용량’ 참조). 이 약의 각 바이알은 아미반타맙 350mg을 함유한다.
(2) 이 약 용액이 무색에서 연한 노란색인지 확인한다. 변색되었거나 육안으로 입자가 보이면 사용하지 않는다.
(3) 5% 덱스트로스(포도당) 용액 또는 0.9% 염화나트륨 용액 250 mL 주입백에서 투입할 이 약의 부피만큼 용액을 취하여 버린다 (예: 이 약 한 바이알 당 주입백에서 용액 7mL를 제거한다). 주입백 재질은 염화폴리비닐(PVC), 폴리프로필렌(PP), 폴리에틸렌(PE), 혼합 폴리올레핀(PP+PE) 중 하나이어야 한다.
(4) 각 바이알에서 이 약 7mL를 취하여 주입백에 넣는다. 주입액의 최종 부피는 250mL이어야 한다. 충분한 채취 용량을 보장하기 위하여 각 바이알은 0.5mL의 추가 용량(overfill)을 포함한다. 바이알에 남은 미사용분은 폐기한다.
(5) 용액을 혼합하기 위하여 주입백을 부드럽게 뒤집는다. 흔들지 않는다.
(6) 투여 전, 희석 용액을 육안으로 관찰한다. 변색이 있거나 육안으로 입자가 보이면 사용하지 않는다.
(7) 희석 용액은 상온(15~25℃) 및 실내조명 조건에서 10시간 이내(주입시간 포함)에 투여되어야 한다.
2) 투여
(1) 투여 전, 희석액 (5% 포도당 용액 또는 0.9% 염화나트륨 용액)으로 주입 세트를 준비한다.
(2) 유량 조절기와 인라인(in‑line) 무균, 무발열성, 저단백질 PES 필터(0.2㎛)를 끼운 주입세트를 이용하여 희석 용액을 정맥 내 투여한다. 투여 세트의 재질은 폴리우레탄(PU), 폴리부타디엔(PBD), PVC, PP, PE 중 하나이어야 한다.
(3) 같은 정맥라인을 통하여 이 약과 다른 제제를 동시에 주입하지 않는다.
(4) 이 제품은 일회투여용이다. 미사용분은 관련 규정에 따라 폐기한다.
11. 보관 및 취급상의 주의사항
1) 어린이의 손이 닿지 않는 곳에 보관한다.
2) 이 약은 보존제를 함유하고 있지 않으므로, 이 약의 개봉 및 희석 방법이 미생물 오염 위험을 배제할 수 없다면 즉시 사용해야 한다. 이 약을 냉장고에서 꺼내 가능한 즉시 희석한 후에는 상온(15~25 ℃)에서 주입시간 포함 10시간 이내에 투여한다.
3) 빛으로부터 보호를 위해 원 포장상태로 보관한다.
12. 전문가를 위한 정보
1) 약리학적 특성
아미반타맙은 활성 및 저항성 EGFR 변이와 MET 변이 및 증폭을 보이는 종양세포를 표적하도록 면역세포를 지시하는, 저‑푸코스(fucose), 완전 인간유래 IgG1 기반 EGFR‑MET 이중특이적 항체이다. 아미반타맙은 EGFR과 MET의 세포 외 도메인에 결합한다.
비임상시험을 통해 아미반타맙은 엑손 19 결손, L858R 대체, 엑손 20 삽입 변이와 같이 일차적으로 EGFR 활성화 변이를 가진 종양에, 이차적으로 T790M, C797S 같은 EGFR 저항성 변이 종양에, 그리고 MET 경로 활성화로 인하여 EGFR 저해에 대한 저항성을 가진 종양에 활성을 가지는 것으로 나타났다. 아미반타맙은 리간드 결합을 차단하고 EGFR과 MET의 분해를 향상시킴으로써 EGFR과 MET 신호기능을 방해하며, 이로 인해 종양의 성장과 진행을 방지한다. 종양세포 표면에 EGFR과 MET이 존재하면 자연살해세포나 대식세포 같은 면역 반응기 세포의 표적이 될 수 있다.
2) 약동학적 특성
이 약의 단독요법 자료에 따르면, 아미반타맙의 AUC<SUB>1week</SUB>는 350mg~1750mg 범위에서 용량 비례적으로 증가한다.
이 약의 집단 약동학에 따르면, 권장되는 3주 요법 및 2주 요법 모두에서 13주차에 이 약의 항정상태 농도에 도달하였으며, 전신 축적은 1.9배였다.
(1) 분포
이 약을 권장용량 투여하였을 때, 집단 약동학 지표로부터 예측한 아미반타맙 분포용적 평균은 5.34 ± 1.81 L이었다.
(2) 배설
선형 청소율과 최종 반감기의 기하 평균(% 변동계수)은 각각 0.266 L/day (30.4%) 및 13.7일 (31.9%)이었다.
(3) 특수집단에 대한 정보
17세 이하 소아 : 소아 환자에 대한 아미반타맙의 약동학은 연구되지 않았다.
65세 이상 고령자 : 연령(21~88세)에 따른 아미반타맙의 임상적으로 의미있는 약동학 차이는 관찰되지 않았다.
신장애 : 경증(60 ≦ CrCl < 90 mL/min) 및 중등도(29 ≦ CrCl < 60 mL/min) 또는 중증(15 ≦ CrCl < 29 mL/min) 신장애가 아미반타맙의 약동학에 미치는 임상적으로 의미있는 영향은 관찰되지 않았다. 중증 신장애 환자에 대한 데이터는 제한적이지만(n=1), 이들 환자에게 용량 조절이 필요하다는 증거는 없다. 말기 신장 질환(CrCl <15 mL/min) 환자에 대한 데이터는 없다.
간장애 : 아미반타맙과 같이 IgG1에 기반하는 분자는 간에서 대사되지 않으므로, 간기능 변화가 아미반타맙 배설에 영향을 미칠 가능성은 낮다. 경증[(총 빌리루빈 ≦ ULN 및 AST > ULN) 또는 (ULN < 총 빌리루빈 ≦ 1.5 x ULN 및 모든 AST)] 또는 중등도(총 빌리루빈이 ULN의 1.5~3배 및 모든 AST) 간장애가 아미반타맙의 약동학에 미치는 임상적으로 의미있는 영향은 관찰되지 않았다. 중등도 간 장애가 있는 환자에 대한 데이터는 제한적이다(n=1). 그러나 이러한 환자들에게 용량 조절이 필요하다는 증거는 없다. 중증 간 장애(총 빌리루빈 > 3×ULN 및 모든 AST) 환자에 대한 데이터는 없다.
성별 : 아미반타맙 청소율은 여성에 비해 남성에서 24% 높았다. 그러나 성별에 따라 임상적으로 의미있는 아미반타맙의 약동학 차이는 관찰되지 않았다.
체중 : 아미반타맙의 중심 분포용적과 청소율은 체중이 증가함에 따라 증가한다. 이 약을 권장용량 투여하였을 때, 즉 80kg 미만 환자에게는 1050mg을 투여하고 80kg 이상 환자에게는 1400mg을 투여하였을 때, 아미반타맙 노출은 유사하였다.
3) 임상시험
이전에 치료받지 않은 비소세포폐암
이전에 치료받지 않은 EGFR 엑손 20 삽입 돌연변이가 있는 비소세포폐암 환자
NSC3001(PAPILLON) 연구는 지역 시험법을 통해 EGFR 엑손 20 삽입 변이를 가진 것으로 확인된 치료 경험이 없는 국소 진행성 또는 전이성 비소세포폐암 환자를 대상으로 이 약과 카보플라틴 및 페메트렉시드 병용요법을 단독 화학요법(카보플라틴 및 페메트렉시드)과 비교하는 무작위, 공개 라벨, 다기관 3상 임상시험이다. Guardant360® 동반진단의료기기를 사용하여 후향적으로 209/308 (67.9%)명의 환자의 혈장 샘플을 테스트하여 EGFR 엑손 20 삽입 변이가 있는 155/209 (74.2%)명의 샘플을 식별했다. 50/209(23.9%) 샘플에는 EGFR 엑손 20 삽입 돌연변이가 확인되지 않았다. 나머지 4/209 (1.9%)명의 샘플은 잘못된 테스트 결과를 보였다.
EGFR 엑손 20 삽입 돌연변이 상태를 확인하기 위해 전체 308명의 환자에서의 종양 조직 (92.2%) 및/또는 혈장 (7.8%) 샘플을 지역 내에서 검사하였고 차세대 염기서열분석법(55.5%) 및/또는 중합효소 연쇄반응 시험법(44.5%)을 사용하였다.
스크리닝 시 뇌 전이가 있는 환자는 확실하게 치료받아 임상적으로 안정적이고 무증상이며, 무작위 배정 전 최소 2주 동안 코르티코스테로이드 치료가 없었던 경우 참여할 수 있었다. ILD 병력, 약물 유발 ILD, 스테로이드 치료가 필요한 방사선 폐염증 또는 임상적으로 활성인 ILD의 증거가 있는 환자는 임상 연구에서 제외되었다.
이 약은 4주 동안 매주 1회 1,400 mg (체중 80 kg 미만인 경우) 또는 1,750 mg (체중 80 kg 이상인 경우) 정맥 투여된 다음, 제 7주차부터는 질병이 진행되거나 허용할 수 없는 독성이 나타날 때까지 매 3주마다 1,750 mg (체중 80 kg 미만인 경우) 또는 2,100 mg (체중 80 kg 이상인 경우)을 정맥 투여되었다. 카보플라틴은 1분당 5mg/mL의 농도‑시간 곡선 하 면적 (AUC 5)으로 3주마다, 최대 12주 동안 정맥 투여되었다. 페메트렉시드는 질병이 진행되거나 허용할 수 없는 독성이 나타날 때까지 매 3주마다 500 mg/m
2 씩 정맥 투여되었다. 무작위 배정은 ECOG 수행 상태, 이전의 뇌 전이 및 이전 EGFR TKI 사용 여부에 따라 계층화되었다. 질병의 진행이 확인된 카보플라틴 및 페메트렉시드 병용 투여군에 무작위 배정된 피험자는 이 약 단독요법을 받기 위해 교차하는 것이 허용되었다.
총 308명의 피험자가 이 약과 카보플라틴 및 페메트렉시드 병용 투여군 (N=153) 또는 카보플라틴과 페메트렉시드 병용 투여군 (N=155)으로 무작위(1:1) 배정되었다. 연령 중앙값은 62세 (범위: 27~92세)였으며, 대상자의 39%가 65세 이상이었다. 58%는 여성이었고, 61%는 아시아인이었으며, 36%는 백인이었다. 베이스라인에서 ECOG(Eastern Cooperative Oncology Group) 수행 상태는 0 (35%) 또는 1 (65%)이었고 58%는 담배를 피운 적이 없었다. 23%는 뇌 전이 병력이 있었고 84%는 초기 진단 당시 4기였던 것으로 확인되었다.
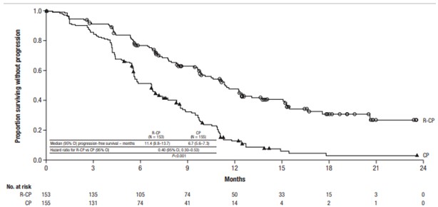
이 약과 카보플라틴 및 페메트렉시드 병용 투여군은 카보플라틴 및 페메트렉시드 병용 투여군에 비해 무진행 생존기간(PFS)에서 임상적으로 의미있고 통계적으로 유의한 개선을 나타냈으며, 위험비는 0.40 (95% CI: 0.30, 0.53; p<0.0001)으로, 환자의 질병 진행 또는 사망 위험이 61% 감소했다. 1차 분석 당시 전체 생존율은 이 약 투여군에서의 유리한 생존 이점을 암시하는 강한 경향성을 보여줬는데, 카보플라틴과 페메트렉시드 병용 투여에 무작위 배정되었던 환자 중 65명(42%)이 이 약 단독요법으로 전환하여 투여받았다.
3001 연구의 유효성 결과는 표 16, 그림 1에 요약되어 있다.
표 16. 3001 연구의 유효성 결과
|
|
이 약 + 카보플라틴 + 페메트렉시드 (N=151) |
카보플라틴+페메트렉시드(N=155) |
|
무진행 생존기간a |
|
사건 발생 건수 (%) |
84 (55%) |
132 (85%) |
|
중앙값, (개월, 95% CI) |
11.4 (9.8, 13.7) |
6.7 (5.6, 7.3) |
|
위험비 (95% CI); p값 |
0.40 (0.30, 0.53); p<0.0001 |
|
객관적 반응률a |
|
객관적 반응률 (95% CI) |
73% (65%, 80%) |
47% (39%, 56%) |
|
완전 반응 |
3.9% |
0.7% |
|
부분 반응 |
69% |
47% |
|
반응 지속 기간a‡ |
|
중앙값b (개월, 95% CI) |
10.1 (8.5, 13.9) |
5.6 (4.4, 6.9) |
CI = confidence interval(신뢰구간)
NE = not estimable(추정불가)
a 고형암 반응평가 기준 버전1.1에 의해 눈가림된 독립적 중앙 검토에 의함
b 전체 생존기간 중간분석 결과에 기초함. 전체 생존기간 분석은 교차의 잠재적 교란효과에 대해 조정되지 않음. (후속치료로 이 약의 단독요법 투여받은 카보플라틴+페메트렉시드 병용군 환자 65명[42%])
‡ 확인된 응답자 대상
그림 1. 이전에 치료받지 않은 비소세포폐암 환자의 무진행 생존기간에 대한 눈가림된 독립적 중앙 검토 평가에 따른 카플란‑마이어 곡선

EGFR 엑손 19 결손 또는 엑손 21(L858R) 치환 돌연변이가 있는 이전 치료 경험이 없는 비소세포폐암 환자
NSC3003(MARIPOSA)은 근치적 치료가 불가능한 EGFR 변이 국소 진행성 또는 전이성 비소세포폐암 환자를 대상으로 1차 치료제로서 이 약과 레이저티닙의 병용요법의 유효성 및 안전성을 오시머티닙 단독요법과 비교하여 평가하는 무작위 배정, 활성 대조, 다기관 3상 연구이다. 환자 검체는 지역 검사를 통해 확인된 두 가지 일반적인 EGFR 돌연변이(엑손 19 결손 또는 엑손 21 L858R 치환 돌연변이) 중 하나를 가지고 있어야 했다.
총 1,074명의 환자가 질병이 진행되거나 허용할 수 없는 독성이 발생할 때까지 이 약과 레이저티닙 병용요법, 오시머티닙 단독요법 또는 레이저티닙 단독요법에 무작위 배정(2:2:1)되었다. 이 약은 1050mg (80kg 미만 환자의 경우) 또는 1400mg (80kg 이상 환자의 경우)이 4주간 매주 1회 정맥투여된 후 5주차부터 2주마다 정맥투여되었다. 레이저티닙은 240mg이 1일 1회 경구 투여되었다. 오시머티닙은 1일 1회 80mg이 경구 투여되었다. 무작위 배정은 EGFR 돌연변이 유형(엑손 19 결손 또는 엑손 21 L858R), 인종(아시아인 또는 비아시아인), 뇌 전이 병력(예 또는 아니오)에 따라 계층화되었다.
베이스라인 인구통계 및 질병 특성은 치료군 전반에 걸쳐 균형을 이루었다. 연령 중앙값은 63세 (범위: 25~88세)였으며, 환자의 45%가 65세 이상이었고 62%는 여성, 59%는 아시아인, 38%는 백인이었다. 베이스라인 ECOG(Eastern Cooperative Oncology Group) 수행 점수는 0 (34%) 또는 1 (66%)이었고, 69%는 흡연 이력이 없으며, 41%는 이전에 뇌 전이가 있었고, 90%는 첫 진단 당시 4기 암을 앓고 있었다. EGFR 돌연변이 상태와 관련하여 60%는 엑손 19 결손이었고 40%는 엑손 21 L858R 치환 돌연변이였다.
이 약은 레이저티닙과 병용하여 눈가림된 독립적 중앙 검토 평가에 따른 무진행 생존 기간에 있어 통계적으로 유의하고 임상적으로 의미 있는 개선을 보였으며, 오시머티닙에 비해 진행 또는 사망 위험이 30% 감소했다 (HR=0.70 [95% CI: 0.58, 0.85], p=0.0002). 해당 무진행 생존기간 중앙값은 이 약과 레이저티닙 병용군의 경우 23.72개월 (95% CI: 19.12, 27.66)이었고, 오시머티닙 투여군의 경우 16.59개월 (95% CI: 14.78, 18.46)이었다.
표 17, 그림 2에는 레이저티닙과 병용한 이 약의 유효성 결과가 요약되어 있다.
표 17. BICR에 따른 NSC3003 유효성 결과
|
|
이 약 + 레이저티닙
(N=429) |
오시머티닙
(N=429) |
레이저티닙
(N=216) |
|
무진행 생존기간a |
|
사건 발생 건수 |
192 |
252 |
121 |
|
중앙값 (개월, 95% CI) |
23.72 (19.12, 27.66) |
16.59 (14.78, 18.46) |
18.46 (14.75, 20.11) |
|
위험비 (95% CI); p값 |
--- |
0.70 (0.58, 0.85);
p=0.0002 |
0.72 (0.57, 0.90);
p=0.0046 |
|
객관적 반응률a |
|
객관적 반응률 (95% CI) |
86.2% (82.6%,
89.4%) |
84.5% (80.7%,
87.9%) |
82.7% (77.0%,
87.5%) |
|
완전 반응 |
6.9% |
3.6% |
4.2% |
|
부분 반응 |
79.3% |
80.9% |
78.5% |
|
반응 지속 기간b |
|
중앙값 (개월, 95% CI) |
25.76 (20.14, NE) |
16.76 (14.75, 18.53) |
16.56 (14.75, 20.21) |
|
6개월 이상 |
86.3% |
85.0% |
82.5% |
|
12개월 이상 |
67.9% |
57.6% |
58.8% |
BICR = Blinded independent central review(눈가림된 독립적 중앙 검토), CI = confidence interval(신뢰구간), NE = not estimable(추정불가)
a 고형암 반응평가 기준 버전1.1에 의해 눈가림된 독립적 중앙 검토에 의함
b 반응이 확인된 피험자에서 고형암 반응평가 기준 버전1.1에 따른 눈가림된 독립적 중앙 검토에 의함
그림 2. 눈가림된 독립적 중앙 검토 평가에 따른 이전에 치료받지 않은 비소세포폐암 환자의 무진행 생존기간 카플란‑마이어 곡선

눈가림된 독립적 중앙 검토에 의해 사전 지정 된 탐색적 분석으로써 CNS 객관적 반응률 및 반응 지속기간 평가 결과에 따르면, 이 약과 레이저티닙 병용요법 환자 중 베이스라인에서 측정 가능한 두개내 병변이 있는 하위 그룹 환자에서는 대조군과 유사한 객관적 반응률을 보였다. 프로토콜에 따라 MARIPOSA의 모든 환자는 두개내 반응과 지속기간을 평가하기 위한 여러 번의 뇌 자기공명영상 촬영을 하였다. 결과는 표 18에 요약되어 있다.
표 18. 베이스라인에서 측정 가능한 두개내 병변이 있는 피험자의 눈가림된 독립적 중앙 검토 평가에 의한 두개내 객관적 반응률 및 반응기간 ‑ MARIPOSA
|
|
이 약 + 레이저티닙
(N=180) |
오시머티닙
(N=187) |
레이저티닙
(N=93) |
|
두개내 종양 반응 평가 |
|
두개내 객관적 반응률(부분 반응+완전 반응, %, 95% CI) |
76.7
(69.8, 82.6) |
76.5
(69.7, 82.4) |
74.2
(64.1, 82.7) |
|
완전 반응 (%) |
62.2 |
57.8 |
54.8 |
|
두개내 반응 지속 기간 |
|
반응 환자수 |
138 |
143 |
69 |
|
반응기간≥12개월 (%) |
58.0 |
53.8 |
52.2 |
|
반응기간≥18개월 (%) |
31.2 |
21.0 |
18.8 |
CI = confidence interval(신뢰구간)
이전에 치료받은 비소세포폐암
이전에 치료받은 적이 있는 EGFR 엑손 19 결손 또는 엑손 21 (L858R) 치환 변이된 비소세포폐암 환자
이 약의 효능은 무작위(2:2:1), 공개 라벨, 다기관 3상 임상 시험을 통해 EGFR 엑손 19 결손 또는 엑손 21 L858R 치환 돌연변이가 있는 국소 진행성 또는 전이성 비소세포폐암 환자(국소 진행성 또는 전이성 질환 진단 시점 또는 이후에 지역 또는 중앙 연구소에서 검증된 테스트를 통해 확인)를 대상으로 평가되었다(MARIPOSA‑2, NCT04988295). MARIPOSA‑2에서, 이전에 오시머티닙을 투여받은 환자는 카보플라틴 및 페메트렉시드(CP, N=263) 또는 이 약과 카보플라틴 및 페메트렉시드(ACP, N=131)를 병용 투여받았다. 이 약은 4주 동안 매주 1회 1,400mg (80kg 미만 환자의 경우) 또는 1,750mg (80kg 이상 환자의 경우) 정맥 투여된 다음, 7주차부터는 질병이 진행되거나 허용할 수 없는 독성이 나타날 때까지 3주마다 1,750mg (80kg 미만 환자의 경우) 또는 2,100mg (체중이 80kg 이상인 환자의 경우)이 정맥 투여되었다. 카보플라틴은 농도‑시간 곡선 아래 면적에 분당 5mg/mL (AUC 5)를 3주마다 1회, 최대 12주 동안 정맥 투여되었다. 페메트렉시드는 질병이 진행되거나 허용할 수 없는 독성이 나타날 때까지 3주에 한 번씩 500mg/m
2 정맥 투여되었다. 또한, 236명의 환자는 연구의 별도 치료군으로써 이 약과 함께 레이저티닙, 카보플라틴 및 페메트렉시드를 투여받았다 (EGFR 돌연변이 비소세포폐암에 대해 승인되지 않은 요법).
환자들은 오시머티닙 치료 차수(1차 또는 2차), 이전 뇌 전이 여부(예 또는 아니오), 아시아 인종(예 또는 아니오)에 따라 계층화되었다.
ACP군 또는 CP군에 무작위 배정된 394명의 환자 중 연령 중앙값은 62세 (범위: 31~85세)였으며, 환자의 37.8%가 65세 이상이었고, 60.4%는 여성, 48.2%는 아시아인, 46.4%는 백인이었다. ECOG(Eastern Cooperative Oncology Group) 수행 점수의 베이스라인은 0(39.6%) 또는 1(60.4%)이었고, 65.5%는 담배를 피운 적이 없고, 45.2%는 뇌전이 병력이 있었고, 91.6%는 첫 진단 당시 4기 암이었다.
이 약과 카보플라틴 및 페메트렉시드의 병용은 카보플라틴과 페메트렉시드에 비해 무진행 생존기간에서 임상적으로 의미 있고 통계적으로 유의한 개선을 나타냈으며, 위험비는 0.48(95% CI: 0.36, 0.64; p<0.0001)로 CP 대비 ACP에 무작위 배정된 환자의 질병 진행 또는 사망 위험이 52% 감소하고, 생존 기간 중앙값이 임상적으로 의미있게 더 길어진 것으로 나타났다.
유효성 결과는 표 19에 요약되어 있다.
표 19. MARIPOSA‑2 유효성 결과
|
|
이 약 + 카보플라틴 + 페메트렉시드 (N=131) |
카보플라틴+페메트렉시드(N=263) |
|
무진행 생존기간a |
|
사건 발생 건수 (%) |
74 (56.5%) |
171 (65.0%) |
|
중앙값, (개월, 95% CI) |
6.28 (5.55, 8.41) |
4.17 (4.04, 4.44) |
|
위험비 (95% CI); p값 |
0.48 (0.36, 0.64); p<0.0001 |
|
객관적 반응률a,b |
|
객관적 반응률 (95% CI) |
63.8% (55.0, 72.1) |
36.2% (30.3, 42.3) |
|
완전 반응 |
1.5% |
0.4% |
|
부분 반응 |
62.3% |
35.8% |
|
반응 지속 기간a‡ |
|
중앙값b (개월, 95% CI) |
6.90 (5.52, NE) |
5.55 (4.17, 9.56) |
CI = confidence interval(신뢰구간)
NE = not estimable(추정불가)
a 고형암 반응평가 기준 버전1.1에 의해 눈가림된 독립적 중앙 검토에 의함
b 카플란‑마이어 추정 기준
‡ 확인된 응답자 대상
그림 3. 눈가림된 독립적 중앙 검토평가를 통해 이전에 치료받은 비소세포폐암 환자의 무진행 생존기간에 대한 카플란‑마이어 곡선 ‑ MARIPOSA‑2

두개내 전이 유효성 데이터
무증상이거나 이전에 치료를 받았고 안정적인 두개내 전이가 있는 환자는 MARIPOSA‑2에 무작위 배정될 수 있었다. 뇌 자기공명영상을 포함한 기본 질병 평가가 치료 개시 시 수행되었다. 모든 환자는 시험 기간 동안 지속적으로 뇌 자기공명영상를 촬영했다.
ACP 치료는 뇌 전이 병력이 있는 피험자 (위험비=0.52, 명목 p=0.0093)와 이전에 뇌에 방사선 치료를 받은 적이 없으면서 뇌 전이 병력이 있는 피험자 (위험비=0.36, p=0.0129) 모두에서 두개내 무진행 생존기간의 현저한 개선과 연관성을 보였다 (두개내 PFS 중앙값 각각 ACP군 12.45개월 대 CP군 8.31개월; 위험비=0.55; 명목 p=0.0011). 또한, ACP 치료에서는 두개내 객관적 반응률 (ACP 26.7% 대 CP 14.8%, 오즈비 2.10, 명목 p=0.1758)과 두개내 반응 지속 기간 (ACP 치료군에서는 추정 불가, CP 치료군에서는 3.48개월)이 수치적으로 증가한 것으로 나타났다.
이전에 치료받은 적이 있는 엑손 20 삽입 변이 비소세포폐암 환자
EDI1001(CHRYSALIS) 연구는 국소진행성 또는 전이성 비소세포폐암 환자에 대한 이 약의 안전성과 유효성을 평가하기 위하여 수행된 다기관, 공개 라벨, 복수 코호트 임상시험이다. 기존의 표준적인 검사법으로 EGFR 엑손 20 삽입 변이를 가진 것으로 진단된, 백금기반 화학요법 진행 중 또는 이후에 질병이 진행한 국소진행성 또는 전이성 비소세포폐암 환자 81명을 대상으로 유효성을 평가하였다. 추적기간 중앙값은 9.7개월이다. 80 kg 미만인 환자에게는 이 약 1050 mg, 80 kg 이상인 환자에게는 이 약 1400 mg을 처음 4주간은 주 1회 정맥 투여하였다. 이후에는 질병이 진행하거나 수용하기 어려운 독성이 나타날 때까지 2주에 1회 이 약을 투여하였다.
피험자 연령의 중앙값은 62세 (범위 42~84)였으며, 이 중 9%가 75세 이상이었고, 59%가 여성이었으며, 49%가 아시안, 37%가 백인이었다. 이전에 투여받은 요법 개수의 중앙값은 2 (범위 1~7) 였다. 베이스라인에서 99%가 ECOG 수행점수가 0 또는 1이었으며, 53%가 흡연 경험이 없었고, 75%가 암 병기 4단계였으며, 22%가 뇌 전이로 인한 치료를 받은 이력이 있었다. 엑손 20 삽입은 8가지 다른 잔기에서 발견되었는데, 가장 흔한 것은 A767(24%), S768(16%), D770(11%), N771(11%)이었다.
유효성 결과는 다음 표와 같다.
표 20. EDI1001(CHRYSALIS) 연구의 유효성 결과
|
|
이전에 백금기반 화학요법을 받은 환자
(N=81) |
|
전체 반응률a,b (95% CI) |
40% (29%, 51%) |
|
완전 반응 |
4% |
|
부분 반응 |
36% |
|
반응지속기간a (DOR) |
|
|
중앙값 (95% CI), 개월d |
11.1 (6.9, NE) |
|
반응지속기간이 6개월 이상인 환자 |
63% |
a 고형암 반응평가 기준 버전1.1에 의해 눈가림된 독립적 중앙 검토에 의함
b 확정된 반응.
c 임상적 이익율은 완전반응, 부분반응, 11주 이상 안정상태 유지를 합한 것을 의미함.
d 카플란마이어 추정에 의함.
NE=Not Estimable(추정불가)
이 약의 유효성은 반응률 및 반응기간에 근거하였으며, 치료적 확증 시험에서 생존기간의 개선을 입증한 자료는 없다.
4) 비임상자료
시노몰구스 원숭이를 대상으로 한 반복투여 독성시험에서, 아미반타맙을 3개월간 최대 120mg/kg 매주 정맥 투여하였을 때 그리고 2주간 최대 125mg/kg 매주 피하 투여하였을 때 내약성이 우수하였다. 심혈관계, 호흡기계, 신경계 기능에 영향이 없었다. 임상병리적으로는 대조군과 비교시 혈청 알라닌아미노전이효소(ALT), 아스파테이트아미노전이효소(AST), 글로불린의 유해하지 않은 상승과 알부민의 유해하지 않은 감소가 나타났다. 이 모든 수치는 회복군에서 정상범위로 회복되었다.
발암성 및 유전독성
발암성 시험은 수행되지 않았다.
생식독성
생식독성 연구는 수행되지 않았다.