1. 경고
1) 중대한 감염
이 약을 투여 받은 환자에서 중대한 감염과 드물게 치명적인 감염이 보고된 바 있다. 이 약 투여 시 가장 흔하게 보고된 중대한 감염에는 폐렴과 연조직염이 포함되었다 (이상반응 항 참조). 이 약 투여 시 기회 감염 중 결핵, 다발피부절 (multidermatomal) 대상포진, 구강/식도 칸디다증 및 크립토코쿠스증이 보고되었다. 이 약 15mg에 비해 이 약 30mg에서 중대한 감염의 발생률이 더 높은 것으로 관찰되었다.
국소 감염을 포함한 중대한 활동성 감염이 있는 환자에서는 이 약 사용을 피한다. 다음과 같은 환자에서는 이 약 투여를 시작하기 전에 치료의 위험성과 유익성을 고려한다:
‑ 만성 또는 재발성 감염 환자.
‑ 결핵에 노출된 적이 있는 환자.
‑ 중대한 감염 또는 기회 감염의 병력이 있는 환자.
‑ 결핵이나 진균증이 풍토병인 지역에 거주했거나 여행한 적이 있는 환자; 또는
‑ 감염되기 쉬운 기저질환이 있는 환자.
이 약으로 치료하는 동안과 치료 후에도 감염의 증상 및 징후 발생에 대하여 환자를 면밀히 모니터링한다. 환자에게 중대한 감염이나 기회 감염이 발생한 경우에는 이 약을 중지한다. 이 약으로 치료하는 동안 새로운 감염이 발생한 환자는 면역저하 환자에 대해 적합한 신속하고 완전한 진단 검사를 받아야 한다; 적절한 항생제 치료를 시작해야 하며, 환자를 면밀히 모니터링해야 하고, 환자가 항생제 치료에 반응하지 않으면 이 약을 중지해야 한다. 감염이 조절되면 이 약을 재투여할 수 있다.
65세 이상의 환자에서 기존 치료제에 적절히 반응하지 않거나 내약성이 없는 경우에 한하여 이 약을 사용하여야 한다.
2) 사망률
최소 한가지 이상의 심혈관계 위험요인이 있는 50세 이상의 류마티스 관절염 환자 대상으로 다른 JAK 억제제(토파시티닙)를 대상으로 진행된 대규모 무작위 시판 후 안전성 연구에서, TNF 차단제 대비 다른 JAK 억제제(토파시티닙)로 치료 받은 환자에서 갑작스러운 심혈관계 사망 등 모든 원인으로 인한 사망률이 더 높게 관찰되었다.
3) 악성종양
최소 한가지 이상의 심혈관계 위험요인이 있는 50세 이상의 류마티스 관절염 환자 대상으로 다른 JAK 억제제(토파시티닙)를 대상으로 진행된 대규모 무작위 시판 후 안전성 연구에서, TNF 차단제 대비 다른 JAK 억제제(토파시티닙)로 치료받은 환자에서 악성종양(비흑색종 피부암 제외)의 발생률이 높았다.
류마티스 관절염 환자에서 림프종 및 폐암의 발생률이 TNF 차단제에 비해 다른 JAK 억제제(토파시티닙) 투여 환자에서 높았다. 현재 또는 과거 흡연자의 경우 추가적인 위험성이 증가한다.
65세 이상 환자, 현재 또는 과거 흡연자, 다른 악성종양 위험요인 (예: 성공적으로 치료된 비흑색종 피부암을 제외하고 악성종양이 현재 있거나 병력이 있는 경우)이 있는 환자들의 경우 기존 치료제에 적절히 반응하지 않거나 내약성이 없는 경우에 한하여 이 약을 사용해야 한다.
류마티스 관절염 환자에서는 림프종을 비롯한 악성종양 위험이 증가되어 있다. 면역조절 약물은 림프종을 비롯한 악성종양 위험을 증가시킬 수 있다.
이 약에 관한 임상시험에서 악성종양이 관찰되었다(이상반응 항 참조). 이 약 15mg에 비해 이 약 30mg에서 NMSC로 인한 더 높은 악성종양 발생률이 관찰되었다. 성공적으로 치료된 비‑흑색종 피부암(non‑melanoma skin cancer, NMSC) 이외에 알려진 악성종양이 있는 환자에서 치료를 시작하기 전에, 또는 악성종양이 발생한 환자에서 이 약을 계속 투여할 것을 고려할 때는 이 약 치료의 위험성과 유익성을 고려한다.
비‑흑색종 피부암(NMSC)
이 약으로 치료받은 환자에서 NMSC가 보고된 바 있다. 피부암에 대한 위험이 높은 환자의 경우, 정기적인 피부 검사가 권장된다.
4) 주요 심혈관계 이상반응 (MACE)
최소 한가지 이상의 심혈관계 위험요인이 있는 50세 이상의 류마티스 관절염 환자 대상으로 다른 JAK 억제제(토파시티닙)를 대상으로 진행된 대규모 무작위 시판 후 안전성 연구에서, TNF 차단제 대비 다른 JAK 억제제(토파시티닙)로 치료받은 환자에서 주요 심혈관계 이상반응(심혈관계 사망, 심근경색 및 뇌졸중으로 정의됨)의 발생률이 높았다.
65세 이상의 환자, 현재 또는 과거 흡연자, 다른 심혈관 위험 요인이 있는 환자는 기존 치료제에 적절히 반응하지 않거나 내약성이 없는 경우에 한하여 이 약을 사용하여야 한다.
5) 혈전증
이 약을 포함한 JAK 억제제를 투여 받은 환자에서 심부정맥 혈전증(Deep venous thrombosis, DVT) 및 폐 색전증(Pulmonary embolism, PE) 사례가 보고되었다.
최소 한가지 이상의 심혈관계 위험요인이 있는 50세 이상의 류마티스 관절염 환자 대상으로 다른 JAK 억제제(토파시티닙)를 대상으로 진행된 대규모 무작위 시판 후 안전성 연구에서, TNF 차단제 대비 다른 JAK 억제제(토파시티닙)로 치료받은 환자에서 폐색전증, 심부정맥 혈전증, 동맥 혈전증 등 발생률이 높았다.
이러한 위험이 있는 환자에서 이 약의 사용을 피해야 한다. 환자가 혈전증 증상이 있는 경우 이 약의 사용을 중단하고 신속하게 환자의 상태를 평가해야 한다.
6) 결핵
이 약 치료를 시작하기 전에 환자들은 결핵(tuberculosis, TB)에 대하여 스크리닝 되어야 한다. 활동성 결핵 환자에게 이 약을 투여해서는 안 된다. 이전에 치료받지 않은 잠복 결핵이 있는 환자에서는 이 약을 시작하기 전에 항‑결핵 치료를 고려해야 한다.
개별 환자에 항‑결핵 치료를 시작하는 것이 적합할지 결정을 내리는 데에 도움이 되도록 결핵 치료 전문의와 상의하는 것이 권고된다.
치료를 시작하기 전에 잠복 결핵 감염 결과가 음성이었던 환자들도 포함하여 결핵의 증상 및 징후 발생에 대하여 환자를 면밀히 모니터링 한다.
7) 바이러스 재활성화
임상시험에서 헤르페스 바이러스 재활성화(예, 대상포진) 사례를 포함한 바이러스 재활성화가 보고되었다(이상반응 항 참조). 일본에서는 이 약으로 치료하는 환자에서 대상포진 위험이 증가되는 것으로 나타났다. 환자에게 대상포진이 발생하면, 대상포진이 나을 때까지 이 약을 일시적으로 중지하는 것을 고려한다.
이 약 치료를 시작하기 전과 치료하는 동안 임상 지침에 따라 바이러스성 간염에 대한 선별검사와 바이러스 재활성화에 대한 모니터링을 실시해야 한다. C형 간염 항체 및 C형 간염 바이러스 RNA 양성인 환자는 임상시험에서 제외되었다. B형 간염 표면 항원이나 B형 간염 바이러스 DNA 양성인 환자는 임상시험에서 제외되었다. 이 약을 투여 받는 동안 B형 간염 바이러스 DNA가 검출되면, 간 분야 전문의와 상의해야 한다.
8) 예방 접종
이 약을 투여 받는 환자에서의 생백신 접종에 대한 반응에 관한 자료는 없다. 이 약으로 치료하는 동안 또는 치료 직전에 약독화 생백신을 접종하는 것은 권장되지 않는다. 이 약을 시작하기 전에, 환자가 최신 예방접종 지침에 따라 대상포진 예방 접종을 포함한 모든 예방 접종을 완료하는 것이 권장된다. (재조합 대상포진 백신 및 불활화 폐렴구균 13가 접합백신과 이 약의 병용투여에 대한 결과는 11. 전문가 정보 항 참조)
9) 과민반응
임상시험에서 이 약을 투여받은 환자들에게서 아나필락시스와 혈관부종과 같은 중대한 과민반응이 보고되었다. 임상적으로 유의한 과민반응이 발생할 경우, 이 약을 중단하고 적절한 치료를 시행한다.
10) 위장관 천공
게실염과 위장관 천공 사례가 임상시험 및 시판 후 출처로부터 보고되었다. 이 약은 위장관 천공의 위험이 있는 환자(예, 게실병이 있는 환자, 게실염 병력이 있는 환자 또는 비스테로이드성 항염제, 코르티코스테로이드 또는 오피오이드를 투여 중인 환자)에게서 주의를 갖고 사용해야 한다. 복부 증상 및 증후가 새로이 발병한 환자는 게실염 혹은 위장관 천공을 일찍 식별하기 위해 신속하게 평가되어야 한다.
11)실험실 수치
⓵ 혈액학적 이상
임상시험에서는 1% 미만의 환자에서 절대 중성구 수(Absolute Neutrophil Count, ANC) 1 x 10
9cells/L미만, 절대 림프구 수(Absolute Lymphocyte Count, ALC) 0.5 x 10
9cells/L미만 및 헤모글로빈 8 g/dL미만이 보고되었다. 일상적인 환자 관리 동안에 ANC 1 x 10
9cells/L미만, ALC 0.5 x 10
9cells/L미만 또는 헤모글로빈 8 g/dL미만이 관찰된 환자에서는 치료를 시작해서는 안 되며, 치료를 일시 중단해야 한다(용법 ◦ 용량 항 참조).
⓶ 지질
이 약 치료는 총 콜레스테롤, 저밀도 지단백(low‑density lipoprotein, LDL) 콜레스테롤, 고밀도 지단백(high‑density lipoprotein, HDL) 콜레스테롤을 비롯한 지질 변수 상승과 관련이 있었다(이상반응 항 참조). LDL 콜레스테롤 상승은 스타틴 치료에 반응하여 치료‑전 수치로 감소되었다. 이러한 지질 수치 상승이 심혈관계 이환률 및 사망률에 미치는 영향은 아직 밝혀지지 않았다.
치료 시작 후 12주째 및 그 이후에 고지질혈증에 대한 국제 임상 지침에 따라 환자를 모니터링해야 한다.
⓷ 간효소 상승
이 약 치료는 위약군에 비해 간효소 상승 발생률이 증가한 것과 관련이 있었다.
베이스라인에서, 그리고 그 후에 일상적인 환자 관리에 따라 평가한다. 잠재적인 약인성 간손상 사례를 확인하기 위해서 간효소 상승에 대한 신속한 원인 조사가 권장된다.
일상적인 환자 관리 중 ALT나 AST 상승이 관찰되었고 약인성 간손상이 의심되는 경우에는, 이러한 진단이 배제될 때까지 이 약을 중지해야 한다.
12) 면역억제제
생물학적 항류마티스제제(DMARDs) 또는 다른 야누스 키나제(JAK) 억제제를 병용하지 않는다. 강력한 면역억제제(예, 아자티오프린, 타크로리무스, 사이클로스포린)와의 병용은 임상시험에서 평가되지 않았으며, 추가적인 면역억제 위험을 배제할 수 없으므로 이는 권장되지 않는다.
13) 대변에 남아있는 약물 잔존물
이 약을 복용한 환자에게서 대변 또는 장루 내 약물 잔존물이 생성되었다는 보고가 있었다. 대부분의 보고는 위장관 통과 시간이 단축된 해부학적 (예, 회장 조루술, 결장 조루술, 장 절제) 또는 기능성 위장 상태에서 보고되었다. 약물 잔존물이 반복적으로 관찰되면 의료 전문가에게 알려야 한다. 환자를 임상적으로 모니터링하고 치료 반응이 부적절할 경우 대체 치료를 고려해야 한다.
2. 다음 환자에는 투여하지 말 것
1) 이 약의 성분에 과민증이 있는 환자
2) 중대한 감염(예, 패혈증) 또는 국소 감염을 포함한 활성 감염이 있는 환자
3) 활동성 결핵이 있는 환자
4) 중증 간장애 환자
5) 절대 중성구 수(ANC) 1000 cells/mm
3 미만인 환자
6) 절대 림프구 수(ALC) 500 cells/mm
3 미만인 환자
7) 헤모글로빈 수치 8g/dL 미만인 환자
8) 임부, 또는 임신가능성이 있는 여성, 수유부
3. 다음 환자에는 신중히 투여할 것
1) 감염이 의심되는 환자
2) 결핵 병력이 있는 환자
3) 면역력이 약화된 환자
4) 고령자
5) 위장관 게실환자(위장관 천공가능성이 있다.)
6) 중성구 수 또는 림프구 수 감소 환자, 헤모글로빈 수치감소 환자
7) 중등도 간장애 환자
8) 간질성폐렴 병력이 있는 환자
9) 정맥 혈전색전증의 위험이 있는 환자
4. 이상반응
1) 임상시험 경험
(1) 류마티스 관절염
총 4,443명의 류마티스 관절염 환자가 임상시험에서 이 약으로 치료를 받았고, 이는 5,263.5환자‑년 노출을 나타냈으며, 이 중 2,972명이 48주 이상 이 약에 노출되었다. 다섯 건의 3상 임상시험에서, 2,630명의 환자가 이 약 15 mg을 1회 이상 투여 받았고, 이 중 1,607명은 48주 이상 노출되었다.
세 건의 위약‑대조 임상시험을 통합하여(이 약 15 mg 1일 1회 투여 환자 1,035명과 위약 환자 1,042명) 이 약 15 mg의 안전성을 치료 시작 후 최대 12‑14주 동안 위약과 비교하여 평가했다.
(2) 건선성 관절염
총 1,827명의 건선성 관절염 환자가 임상시험에서 이 약으로 치료를 받았고, 이는 1639.2환자‑년 노출을 나타냈으며, 이 중 722명이 1년 이상 이 약에 노출되었다. 3상 임상시험에서, 907명의 환자가 이 약 15 mg을 1회 이상 투여 받았고, 이 중 359명은 1년 이상 노출되었다.
두 건의 위약‑대조 임상시험을 통합하여(이 약 15 mg 1일 1회 투여 환자 640명과 위약 환자 635명) 이 약 15 mg의 안전성을 치료 시작 후 최대 24주 동안 위약과 비교하여 평가했다.
(3) 축성 척추관절염
강직성 척추염
총 596명의 강직성 척추염 환자가 두 건의 임상시험에서 이 약 15 mg으로 치료를 받았고, 이는 577.3환자‑년 노출을 나타냈으며, 이 중 228명이 1년 이상 이 약에 노출되었다.
비방사선학적 축성 척추관절염
총 187명의 비방사선학적 축성 척추관절염 환자가 임상시험에서 이 약 15 mg으로 치료를 받았고, 이는 116.6 환자‑년 노출을 나타냈으며, 이 중 35명이 1년 이상 이 약 15 mg에 노출되었다.
이상반응 요약표
아래에 나열된 이상반응의 빈도는 다음 기준을 이용하여 정의되었다:
매우 흔하게 (≧ 1/10); 흔하게 (≧ 1/100 ~ <1/10); 흔하지 않게 (≧ 1/1,000 ~ <1/100). 표3의 빈도는 류마티스 관절염, 건선성 관절염, 강직성 척추염 또는 비방사선학적 축성 척추관절염 임상시험에서 이 약과 보고된 이상반응의 가장 높은 비율을 기반으로 한다. 각 빈도 그룹 내에서, 이상반응은 중증도가 감소하는 순으로 제시되어 있다.
표 3. 약물이상반응
|
기관계 분류 |
매우 흔하게 |
흔하게 |
흔하지 않게 |
|
감염 및 기생충 감염
|
상기도 감염a
|
기관지염b
대상 포진
단순 포진c |
폐렴
구강 칸디다증
게실염 |
|
혈액 및 림프계 장애
|
|
중성구 감소증 |
|
|
대사 및 영양 장애
|
|
고콜레스테롤 혈증 |
고중성지방 혈증 |
|
호흡기, 흉부 및 종격 장애
|
|
기침 |
|
|
각종 위장관 장애
|
|
오심 |
|
|
피부 및 피하 조직 장애 |
|
여드름 |
|
|
전신 장애 및 투여 부위 병태 |
|
발열 |
|
|
임상 검사 |
|
혈액 크레아틴 인산 활성 효소(CPK) 증가
ALT 증가
AST 증가
체중 증가 |
|
|
a 상기도 감염, 급성 부비동염, 후두염, 비인두염, 구인두 통증, 인두염, 인두 편도염, 비염, 부비동염, 편도염, 바이러스 상기도 감염이 포함된다.
b 기관지염, 바이러스 기관지염, 세균성 기관지염, 기관 기관지염이 포함된다.
c 단순 포진에는 구순 포진이 포함된다. |
특정 약물이상반응
류마티스 관절염
⓵ 감염
세 건의 위약‑대조 임상시험에서, 12/14주 동안 감염의 빈도는 이 약 15 mg 투여군에서 27.4%였던 것에 비해, 위약군에서는 20.9%였다. MTX(메토트렉세이트)‑대조 임상시험에서, 12/14주 동안 감염의 빈도는 이 약 15 mg 단독요법군에서 19.5%였던 것에 비해, MTX군에서는 24.0%였다. 다섯 건의 3상 임상시험 모두에 걸쳐(환자 2630명) 이 약 15 mg 투여군에 대한 전체적인 장기간 감염의 발생률은 100 환자‑년 당 93.7건이었다.
⓶ 중대한 감염
세 건의 위약‑대조 임상시험에서, 12/14주 동안 중대한 감염의 빈도는 이 약 15 mg 투여군에서 1.2%였던 것에 비해, 위약군에서는 0.6%였다. MTX‑대조 임상시험에서, 12/14주 동안 중대한 감염의 빈도는 이 약 15 mg 단독요법군에서 0.6%였던 것에 비해, MTX군에서는 0.4%였다. 다섯 건의 3상 임상시험 모두에 걸쳐 이 약 15 mg 투여군에 대한 전체적인 장기간 중대한 감염의 발생률은 100 환자‑년 당 3.8건이었다. 가장 흔하게 보고된 중대한 감염은 폐렴과 연조직염이었다. 중대한 감염의 발생률은 장기간 노출 시 안정적으로 유지되었다.
⓷ 결핵
세 건의 위약‑대조 임상시험에서, 어느 치료군에서도 활동성 결핵 사례는 보고되지 않았다. MTX‑대조 임상시험에서, 12/14주 동안 이 약 15 mg 단독요법군이나 MTX군에서 어떠한 사례도 보고되지 않았다. 다섯 건의 3상 임상시험 모두에 걸쳐 이 약 15 mg 투여군에 대한 전체적인 장기간 활동성 결핵의 발생률은 100 환자‑년 당 0.1건이었다.
⓸ 기회 감염(결핵 제외)
세 건의 위약‑대조 임상시험에서, 12/14주 동안 기회 감염의 빈도는 이 약 15 mg 투여군에서 0.5%였던 것에 비해, 위약군에서는 0.3%였다. MTX‑대조 임상시험에서, 12/14주 동안 이 약 15 mg 단독요법군에서는 보고된 기회 감염 사례가 없었고 MTX군에서는 0.2%였다. 다섯 건의 3상 임상시험 모두에 걸쳐 이 약 15 mg 투여군에 대한 전체적인 장기간 기회 감염의 발생률은 100 환자‑년 당 0.6건이었다.
⓹ 악성종양
세 건의 위약‑대조 임상시험에서, 12/14주 동안 NMSC(비‑흑색종 피부암)를 제외한 악성종양의 빈도는 이 약 15 mg 투여군에서 <0.1%였던 것에 비해, 위약군에서는 <0.1%였다. MTX‑대조 임상시험에서, 12/14주 동안 NMSC를 제외한 악성종양의 빈도는 이 약 15 mg 단독요법군에서 0.6%였던 것에 비해, MTX군에서는 0.2%였다. 임상시험 프로그램에서 이 약 15 mg 투여군에 대하여 NMSC를 제외한 악성종양의 전체적인 장기간 발생률은 100환자‑년 당 0.8 건이었다.
➅ 위장관 천공
세 건의 위약‑대조 임상시험에서, 위장관 천공 빈도는 이 약 15 mg 투여군에서 0.2%였던 것에 비해, 위약군에서는 0%였다. MTX‑대조 임상시험에서, 12/14주 동안 이 약 15 mg 단독요법군이나 MTX군에서 위장관 천공 사례는 보고되지 않았다. 다섯 건의 3상 임상시험 모두에 걸쳐 이 약 15 mg 투여군에 대한 전체적인 장기간 위장관 천공의 발생률은 100 환자‑년 당 0.08건이었다.
⑦ 혈전증
세 건의 위약‑대조 임상시험에서, 이 약 15 mg 투여군에서 두 건(0.2%)의 정맥 혈전증 사례(폐 색전증 또는 심부 정맥 혈전증)가 발생한 것에 비해, 위약군에서는 한 건(0.1%)이 발생했다. MTX‑대조 임상시험에서, 12/14주 동안 이 약 15 mg 단독요법군에서 정맥 혈전증 사례는 한 건(0.2%)이 발생했고 MTX군에서는 사례가 발생하지 않았다. 다섯 건의 3상 임상시험 모두에 걸쳐 이 약 15 mg 투여군에 대한 전체적인 장기간 정맥 혈전증 사례의 발생률은 100 환자‑년 당 0.6건이었다.
⑧ 간 아미노전이효소 상승
세 건의 위약‑대조 임상시험에서, 최대 12/14주 동안, 측정치 중 한 번 이상에서 알라닌 아미노전이효소 (alanine transaminase, ALT)와 아스파르테이트 아미노전이효소 (aspartate transaminase, AST)가 정상상한치(ULN)의 3배 이상 상승한 사례는 이 약 15 mg으로 치료받은 환자의 2.1%와 1.5%, 위약으로 치료받은 환자의 1.5%와 0.7%에서 관찰되었다. 대부분의 간 아미노전이효소 상승 사례는 무증상성이고 일과성이었다. MTX‑대조 임상시험에서, 최대 12/14주 동안, ALT 및 AST 측정치가 한 건 이상 ≧ 3 x ULN으로 상승한 사례는 이 약 15 mg으로 치료받은 환자의 0.8%와 0.4%, MTX로 치료받은 환자의 1.9%와 0.9%에서 관찰되었다. ALT/AST 상승 양상과 발생률은 장기 연장 시험을 포함하여 시간이 지남에 따라 안정적으로 유지되었다.
⑨ 지질 상승
이 약 15 mg 치료는 총 콜레스테롤, 중성지방, LDL 콜레스테롤 및 HDL 콜레스테롤을 포함한 지질 수치 상승과 관련이 있었다. LDL 및 HDL 콜레스테롤 상승은 8주차까지 최고조에 이르렀고 이후에는 안정적으로 유지되었다. 대조 임상시험들에서, 최대 12/14주 동안, 이 약 15 mg으로 치료받은 환자에서 베이스라인으로부터의 지질 수치 변화가 아래에 요약되어 있다:
‑ 평균 LDL 콜레스테롤은 0.38 mmol/L 증가했다.
‑ 평균 HDL 콜레스테롤은 0.21 mmol/L 증가했다.
‑ 평균 LDL/HDL 비는 안정적으로 유지되었다.
‑ 평균 중성지방은 0.15mmol/L 증가했다.
⑩ 크레아틴 인산활성효소 상승
세 건의 위약‑대조 임상시험에서, 최대 12/14주 동안, 크레아틴 인산활성효소(creatine phosphokinase, CPK) 수치 상승이 관찰되었다. 12/14주 동안 이 약 15 mg 군과 위약군에서 각각 환자의 1.0%와 0.3%에서 >5 x ULN의 CPK 상승이 보고되었다. 대부분의 >5 x ULN 수치 상승은 일과성이었고 치료 중단이 필요하지 않았다. 평균 CPK 수치는 4주차까지 상승했고, 이후에는 연장 치료 후를 포함하여 증가된 수치로 안정적으로 유지되었다.
⑪ 중성구 감소증
세 건의 위약‑대조 임상시험에서, 최대 12/14주 동안, 이 약 15 mg 군과 위약군에서 각각 환자의 1.1%와 <0.1%에서 측정치 중 한 번 이상이 1000 cells/mm
3 미만인 중성구 수 감소가 발생했다. 임상시험에서는 ANC(절대 중성구 수) <1000 cells/mm
3인 경우에 치료를 중지했다. 중성구 수 감소 양상과 발생률은 연장 치료를 포함하여 시간이 지남에 따라 베이스라인보다 낮은 수치로 안정적으로 유지되었다.
⑫ 림프구 감소증
세 건의 위약‑대조 임상시험에서, 최대 12/14주 동안, 이 약 15 mg 군과 위약군에서 각각 환자의 0.9%와 0.7%에서 측정치 중 한 번 이상이 500 cells/mm
3 미만인 림프구 수 감소가 발생했다.
⑬ 빈혈
세 건의 위약‑대조 임상시험에서, 최대 12/14주 동안, 이 약 15 mg 군과 위약군 모두에서 환자의 <0.1%에서 측정치 중 한 번 이상이 8 g/dL 미만인 헤모글로빈 감소가 발생했다.
건선성 관절염, 강직성 척추염 및 비방사선학적 축성 척추관절염
전반적으로, 이 약 15 mg로 활동성 건선성 관절염, 강직성 척추염 또는 비방사선학적 축성 척추관절염을 치료받은 환자들에서 관찰된 안전성 프로파일은 류마티스 관절염을 치료받은 환자들에서 관찰된 것과 일치하였다.
(4) 아토피 피부염
총 2,893명의 아토피 피부염 환자가 임상시험에서 이 약으로 치료를 받았고, 이는 2,096환자‑년 노출을 나타냈으며, 이 중 614명이 1년 이상 이 약에 노출되었다. 세 건의 3상 임상시험에서, 1,238명의 환자가 이 약 15 mg을 1회 이상 투여 받았고, 이 중 246명은 1년 이상 노출되었으며, 1,242명의 환자가 이 약 30 mg을 1회 이상 투여 받았고, 이 중 263명은 1년 이상 노출되었다.
네 건의 위약‑대조 임상시험(2상 임상시험 1건, 3상 임상시험 3건)을 통합하여(이 약 15 mg 1일 1회 투여 환자 899명, 이 약 30 mg 1일 1회 투여 환자 906명과 위약 환자 902명) 이 약 15 mg과 30 mg의 안전성을 치료 시작 후 최대 16주 동안 위약과 비교하여 평가했다.
이상반응 요약표
아래에 나열된 이상반응의 빈도는 다음 기준을 이용하여 정의되었다:
매우 흔하게 (≧ 1/10); 흔하게 (≧ 1/100 ~ <1/10); 흔하지 않게 (≧ 1/1,000 ~ <1/100). 각 빈도 그룹 내에서, 이상반응은 중증도가 감소하는 순으로 제시되어 있다.
표 4. 약물이상반응
|
기관계 분류 |
매우 흔하게 |
흔하게 |
흔하지 않게 |
|
감염 및 기생충 감염
|
상기도 감염a
|
단순 포진b
대상 포진
모낭염
인플루엔자 |
폐렴
구강 칸디다증
게실염 |
|
양성, 악성, 상세불명의 신생물(낭종과 용종을 포함) |
|
|
비-흑색종 피부암d
|
|
혈액 및 림프계 장애
|
|
중성구 감소증
빈혈 |
|
|
대사 및 영양 장애
|
|
|
고콜레스테롤 혈증
고중성지방 혈증 |
|
호흡기, 흉부 및 종격 장애
|
|
기침 |
|
|
각종 위장관 장애
|
|
오심
복통c |
|
|
전신 장애 및 투여 부위 병태 |
|
발열
피로 |
|
|
임상 검사 |
|
혈액 크레아틴 인산 활성 효소 증가
체중 증가 |
ALT 증가
AST 증가 |
|
피부 및 피하 조직 장애 |
여드름 |
두드러기 |
|
|
각종 신경계 장애 |
|
두통 |
|
|
a 후두염, 바이러스 후두염, 비인두염, 구인두 통증, 인두 농양, 인두염, 연쇄상 구균 인두염, 인두 편도염, 기도 감염, 바이러스 기도 감염, 비염, 비후두염, 부비동염, 편도염, 세균성 편도염, 상기도 감염, 바이러스 인두염, 바이러스 상기도 감염 포함.
b 생식기 헤르페스, 생식기 단순 포진, 헤르페스 피부염, 안구 헤르페스, 단순 포진, 비포진, 안구 단순 포진, 헤르페스 바이러스 감염, 구강 헤르페스 포함.
c 복통 및 상복부 통증 포함.
d그룹화된 용어로 표시 |
이 약에 대한 장기간 치료의 안전성 프로파일은 16주에서 관찰된 것과 유사했다
특정 약물이상반응
⓵ 감염
위약‑대조 임상시험에서, 16주 동안 감염의 빈도는 이 약 15 mg 및 30 mg 투여군에서 각각 39% 및 43%였던 것에 비해, 위약군에서는 30%였다. 이 약 15 mg 및 30 mg 투여군에 대한 장기간 감염의 발생률은 각각 100 환자‑년 당 123.7건 및 139.1건이었다.
위약‑대조 임상시험에서, 16주 동안 중대한 감염의 빈도는 이 약 15 mg 및 30 mg 투여군에서 각각 0.8% 및 0.4%였던 것에 비해, 위약군에서는 0.6%였다. 이 약 15 mg 및 30 mg 투여군에 대한 장기간 중대한 감염의 발생률은 각각 100 환자‑년 당 2.4건 및 3.4건이었다. 가장 흔하게 보고된 중대한 감염은 폐렴이었다.
⓶ 결핵
위약‑대조 임상시험에서, 16주 동안 어느 치료군에서도 활동성 결핵 사례는 보고되지 않았다. 이 약 15 mg 및 30 mg 투여군에 대한 전체적인 장기간 결핵의 발생률은 두 군 모두 100 환자‑년 당 0.1건이었다.
⓷ 기회 감염(결핵 제외)
전세계 아토피 피부염 임상시험에서 보고된 모든 기회 감염(결핵 및 대상 포진 제외)은 헤르페스 습진이었다. 위약‑대조 임상시험에서, 16주 동안 헤르페스 습진의 빈도는 이 약 15 mg 및 30 mg 투여군에서 각각 0.7% 및 0.8%였던 것에 비해, 위약군에서는 0.4%였다. 이 약 15 mg 및 30 mg 투여군에 대한 장기간 헤르페스 습진의 발생률은 각각 100 환자‑년 당 2.1건 및 2.2건이었다.
이 약 15 mg 및 30 mg 투여군에 대한 장기간 대상 포진의 발생률은 각각 100 환자‑년 당 3.8건 및 5.3건이었다.
⓸ 악성 종양
위약‑대조 임상시험에서, 16주 동안 NMSC(비‑흑색종 피부암)를 제외한 악성 종양의 빈도는 이 약 15 mg 및 30 mg 투여군에서 각각 0% 및 0.4%였던 것에 비해, 위약군에서는 0%였다. 이 약 15 mg 및 30 mg 투여군에 대하여 NMSC를 제외한 악성 종양의 장기간 발생률은 각각 100환자‑년 당 0 건 및 0.7 건이었다.
⓹ 위장관 천공
어느 치료군에서도 위장관 천공 사례는 보고되지 않았다.
➅ 혈전증
위약‑대조 임상시험에서, 16주 동안 이 약 15 mg 및 30 mg 투여군에서는 정맥 혈전증 사례(폐 색전증 또는 심부 정맥 혈전증)가 발생하지 않은 것에 비해, 위약군에서는 1건(0.1%)이 발생했다. 아토피 피부염 임상시험에서 장기간 정맥 혈전증의 발생률은 100 환자‑년 당 <0.1건이었다.
⑦ 간 아미노 전이효소 상승
위약‑대조 임상시험에서, 최대 16주 동안, 측정치 중 한 번 이상에서 알라닌 아미노 전이효소 (alanine transaminase, ALT)가 정상상한치(ULN)의 3배 이상 상승한 사례는 이 약 15 mg, 30 mg, 위약을 받은 환자의 각각 0.7%, 1.4%, 1.1%에서 관찰되었다. 이 임상시험에서, 아스파르테이트 아미노 전이효소 (aspartate transaminase, AST)가 정상상한치(ULN)의 3배 이상 상승한 사례는 이 약 15 mg, 30 mg, 위약을 받은 환자의 각각 1.2%, 1.1%, 0.9%에서 관찰되었다. 대부분의 간 아미노 전이효소 상승 사례는 무증상성이고 일과성이었다. ALT/AST 상승 양상과 발생률은 장기 연장 시험을 포함하여 시간이 지남에 따라 안정적으로 유지되었다.
⑧ 지질 상승
이 약 치료는 총 콜레스테롤, LDL 콜레스테롤 및 HDL 콜레스테롤을 포함한 지질 수치의 용량‑관련 상승과 관련이 있었다. 대조 임상시험에서, 최대 16주 동안, 베이스라인으로부터의 지질 수치 변화가 아래에 요약되어 있다:
‑ 평균 LDL 콜레스테롤은 이 약 15 mg 및 30 mg 투여군에서 각각 0.21 mmol/L 및 0.34 mmol/L 증가했다.
‑ 평균 HDL 콜레스테롤은 이 약 15 mg 및 30 mg 투여군에서 각각 0.19 mmol/L 및 0.24 mmol/L 증가했다.
‑ 평균 LDL/HDL 비는 안정적으로 유지되었다.
‑ 평균 중성지방은 이 약 15 mg 및 30 mg 투여군에서 각각 0.09 mmol/L 및 0.09 mmol/L 증가했다.
16주 이후 LDL 콜레스테롤에 작은 증가가 관찰되었다.
⑨ 크레아틴 인산 활성 효소 상승
위약‑대조 임상시험에서, 최대 16주 동안, 크레아틴 인산 활성 효소(creatine phosphokinase, CPK) 수치 용량‑관련 상승이 관찰되었다. 16주 동안 이 약 15 mg 투여군, 30 mg 투여군과 위약군에서 각각 환자의 3.3%, 4.4%와 1.7%에서 >5 x ULN의 CPK 상승이 보고되었다. 대부분의 >5 x ULN 수치 상승은 일과성이었고 치료 중단이 필요하지 않았다.
⑩ 중성구 감소증
위약‑대조 임상시험에서, 최대 16주 동안, 이 약 15 mg 투여군, 30 mg 투여군과 위약군에서 각각 환자의 0.4%, 1.3%와 0%에서 측정치 중 한 번 이상이 1000 cells/mm
3 미만인 중성구 수 용량‑관련 감소가 발생했다. 임상시험에서는, ANC(절대 중성구 수) <1000 cells/mm
3인 경우에 치료를 중지했다. 중성구 수 감소 양상과 발생률은 연장 치료를 포함하여 시간이 지남에 따라 베이스라인보다 낮은 수치로 안정적으로 유지되었다.
⑪ 림프구 감소증
위약‑대조 임상시험에서, 최대 16주 동안, 이 약 15 mg 투여군, 30 mg 투여군과 위약군에서 각각 환자의 0.1%, 0.3%와 0.1%에서 측정치 중 한 번 이상이 500 cells/mm
3 미만인 림프구 수 감소가 발생했다.
⑫ 빈혈
위약‑대조 임상시험에서, 이 약 15 mg 투여군, 30 mg 투여군과 위약군에서 각각 환자의 0%, 0.1%와 0%에서 측정치 중 한 번 이상이 8 g/dL 미만인 헤모글로빈 감소가 발생했다.
소아 집단
총 541명의 체중이 40kg 이상인 12~17세의 청소년 아토피 피부염 환자가 3상 임상시험 (n=343) 및 추가적인 청소년 하위 시험 (n=198)에서 치료를 받았고, 이 중 264명은 15mg에, 265명은 30mg에 노출되었다. 이 약 15 mg 및 30 mg에 대한 안전성 프로파일은 청소년과 성인에서 유사했다. 장기간 노출 시, 이 약 15mg 및 30mg 투여군의 청소년 아토피 피부염 환자 중 각각 3.4%와 6.8%에서 약물이상반응으로 피부 유두종이 보고되었다.
(5) 궤양성 대장염
총 1,313명의 중등증에서 중증의 활동성 궤양성 대장염 환자 대상 무작위 배정, 이중‑눈가림, 위약‑대조 임상시험 및 장기 연장 시험에서 노출도는 3,537환자‑년이었으며, 이 중 959명이 1년 이상 이 약에 노출되었다.
유도요법 연구에서 719명의 환자가 이 약 45 mg을 최소 1회 이상 투여 받았고, 이 중 513명이 8주 동안, 127명이 최대 16주 동안 노출되었다.
유지요법 연구 및 장기 연장 시험에서 285명의 환자가 이 약 15 mg을 최소 1회 투여 받았고, 이 중 193명은 1년 이상 노출되었으며 291명의 환자가 이 약 30mg을 최소 1회 투여 받았고, 이 중 214명은 1년 이상 노출되었다.
이상반응 요약표
아래에 나열된 이상반응의 빈도는 다음 기준을 이용하여 정의되었다:
매우 흔하게 (≧ 1/10); 흔하게 (≧ 1/100 ~ <1/10); 흔하지 않게 (≧ 1/1,000 ~ <1/100); 드물게(≧ 1/10,000 ~ <1/1,000). 각 빈도 그룹 내에서, 이상반응은 중증도가 감소하는 순으로 제시되어 있다.
표 5. 약물이상반응
|
기관계 분류 |
매우 흔하게 |
흔하게 |
흔하지 않게 |
드물게 |
|
감염 및 기생충 감염
|
상기도 감염a |
대상 포진b
단순 포진c
모낭염
인플루엔자 |
폐렴k
|
게실염l |
|
양성, 악성, 상세 불명의 신생물(낭종과 용종을 포함) |
|
비-흑색종 피부암d |
|
|
|
혈액 및 림프계 장애
|
|
중성구 감소증e
림프구 감소증f |
|
|
|
대사 및 영양 장애
|
|
고콜레스테롤 혈증g
고중성지방 혈증h |
|
|
|
피부 및 피하 조직 장애 |
|
여드름i
두드러기j |
|
|
|
전신 장애 및 투여 부위 병태 |
|
발열 |
|
|
|
임상 검사 |
|
혈액 크레아틴 인산 활성 효소 증가
ALT 증가
AST 증가 |
|
|
|
a후두염, 비인두염, 구인두 통증, 인두염, 연쇄상 구균 인두염, 비염, 부비동염, 편도염, 상기도 감염, 바이러스 인두염, 바이러스 상기도 감염 포함.
b대상 포진, 범발성 대상 포진, 대상 포진 수막염, 대상 포진 후 신경통, 수두 대상 포진 바이러스 감염 포함.
c생식기 헤르페스, 단순 포진, 구순 포진 포함.
d기저세포암 포함.
e과립구 수 감소, 중성구 감소증, 중성구 수 감소 포함.
f림프구 수 감소, 림프구 비율 감소, 림프구 감소증 포함.
g혈중 콜레스테롤 증가 및 고콜레스테롤혈증 포함.
h이상지질혈증, 고지질혈증, 저밀도 지질단백질 증가 포함.
i여드름 및 여드름 모양의 피부염 포함.
j발진, 홍반성 발진, 난포 발진, 반점 발진, 반구진 발진, 일반적인 발진, 소양성 발진, 농포 발진 포함.
kCOVID -19 폐렴 및 폐렴 포함.
l장기 연장 기간에 보고됨. |
이 약에 대한 장기간 치료의 안전성 프로파일은 위약‑대조 기간에서의 안전성 프로파일과 일치했다.
특정 약물이상반응
⓵ 감염
위약‑대조 유도요법 임상시험에서, 8주 동안 감염의 빈도는 발생빈도는 이 약 45mg 투여군과 위약군에서 각각 20.7%, 17.5%였다. 위약 대조 유지요법 임상시험에서, 52주 동안 감염의 발생빈도는 이 약 15 mg, 30 mg 투여군과 위약군에서 각각 40.4%, 44.2% 및 38.8%였다. 이 약 15 mg 및 30 mg 투여군에 대한 장기간 감염의 발생률은 100 환자‑년 당 각각 64.5건 및 77.8건이었다.
⓶ 중대한 감염
위약‑대조 유도요법 임상시험에서, 8주 동안 중대한 감염의 발생빈도는 이 약 45mg 투여군과 위약군에서 모두 1.3%였다. 이 약 45mg을 8주 더 연장 유도치료한 경우에 추가적인 중대한 감염이 관찰되지 않았다. 위약‑대조 유지요법 임상시험에서, 52주 동안 중대한 감염의 발생빈도는 이 약 15 mg, 30 mg 투여군과 위약군에서 각각 3.6%, 3.2% 및 3.3%였다. 이 약 15 mg 및 30 mg 투여군에 대한 장기간 중대한 감염의 발생률은 100 환자‑년 당 각각 3.0건 4.6건이었다. 궤양성 대장염 연구에서 가장 자주 보고된 중대한 감염은 COVID‑19 폐렴이었다.
⓷ 결핵
궤양성 대장염 연구에서 장기 연장 시험 중 이 약 15mg을 투여 받은 환자에서 활동성 결핵이 1건 보고되었다.
⓸ 기회 감염(결핵 제외)
8주에 걸친 위약‑대조 유도요법 임상시험에서, 기회 감염(결핵 및 대상 포진 제외)의 발생빈도는 이 약 45mg 투여군과 위약군에서 각각 0.4% 및 0.3%였다. 이 약 45mg을 8주 더 연장 유도치료한 경우에 추가적인 기회 감염(결핵 및 대상 포진 제외)이 관찰되지 않았다. 52주에 걸친 위약‑대조 유지요법 임상시험에서, 기회 감염(결핵 및 대상 포진 제외)의 발생빈도는 이 약 15 mg, 30 mg 투여군과 위약군에서 0.8%였다. 이 약 15 mg 및 30 mg 투여군에 대한 장기간 기회 감염(결핵 및 대상 포진 제외)의 발생률은 100 환자‑년 당 각각 0.3건 및 0.6건이었다.
대상 포진은 8주 동안 위약군에서 0명, 이 약 45mg 투여군에서 4명(100환자‑년당 3.8건) 보고되었다. UC‑1과 UC‑2에서 16주까지 이 약 45mg 유도 치료를 받은 환자의 경우 대상포진은 5명(100환자‑년당 12.9건)에서 보고되었다. 이 약 15 mg 및 30 mg 투여군에 대한 장기간 대상 포진의 발생률은 각각 100 환자‑년 당 4.5건 및 7.2건이었다.
⓹ 악성 종양
위약‑대조 유도요법 임상시험에서, 악성 종양은 보고되지 않았다. 위약‑대조 유지요법 임상시험에서 NMSC(비‑흑색종 피부암)를 제외한 악성 종양의 발생빈도는 이 약 15 mg, 30 mg 투여군과 위약군에서 각각 0.4%, 0.8% 및 0.4%였다. 이 약 15 mg 및 30 mg 투여군에 대한 NMSC를 제외한 악성 종양의 장기간 발생률은 각각 100환자‑년 당 0.7건 및 0.4건이었다.
➅ 위장관 천공
위약‑대조 유지요법 기간에서, 위약을 투여 받은 환자 1명 (100 환자‑년 당 1.5명)에서 위장관 천공이 보고되었으며, 이 약 15 mg 또는 30 mg을 투여 받은 환자에서는 보고되지 않았다. 장기 연장 시험에서, 이 약 15 mg을 투여 받은 환자 1명 (100 환자‑년 당 0.1명)과 이 약 30 mg을 투여 받은 환자 1명 (100 환자‑년 당 0.1명 미만)이 이러한 사례를 보고했다.
⑦ 혈전증
위약‑대조 유도요법 임상시험에서, 8주 동안 정맥 혈전증(폐색전증 또는 심부정맥 혈전증)의 발생빈도는 이 약 45mg 투여군과 위약군에서 각각 0.1% 및 0.3%였다. 이 약 45mg으로 연장 치료한 경우에 추가적인 정맥 혈전증이 관찰되지 않았다. 위약‑대조 유지요법 임상시험에서, 52주 동안 정맥 혈전증의 발생빈도는 이 약 15 mg, 30 mg 투여군 및 위약군에서 각각 0.8%, 0.8% 및 0%였다. 이 약 15 mg 및 30 mg 투여군에 대한 장기간 정맥 혈전증의 발생률은 100 환자‑년 당 각각 0.7건 및 0.6건이었다.
⑧ 간 아미노 전이효소 상승
8주에 걸친 위약‑대조 유도요법 임상시험에서, 측정치 중 한 번 이상에서 알라닌 아미노 전이효소(alanine transaminase, ALT)와 아스파르테이트 아미노 전이효소(aspartate transaminase, AST)가 정상상한치(ULN)의 3배 이상 상승한 사례는 이 약 45mg 투여군의 각각 1.5% 및1.5%, 위약군의 각각 0% 및 0.3%에서 관찰되었다. 52주에 걸친 위약‑대조 유지요법 임상시험에서, 알라닌 아미노 전이효소(alanine transaminase, ALT)가 정상상한치(ULN)의 3배 이상 상승한 사례는 이 약 15 mg, 30 mg 투여군과 위약군의 각각 2.0%, 4.4%, 1.2%에서 관찰되었다. 아스파르테이트 아미노 전이효소 (aspartate transaminase, AST)가 정상상한치(ULN)의 3배 이상 상승한 사례는 이 약 15 mg, 30 mg 투여군과 위약군의 각각 1.6%, 2.0%, 0.4%에서 관찰되었다. 대부분의 간 아미노 전이효소 상승 사례는 무증상성이고 일과성이었다. 일반적으로 ALT/AST 상승 양상과 발생률은 장기 연장 시험을 포함하여 시간이 지남에 따라 안정적으로 유지되었다.
⑨ 지질 상승
8주와 52주에 걸친 위약‑대조 유도요법과 유지요법 각각의 임상시험에서, 이 약 치료는 총 콜레스테롤, LDL 콜레스테롤 및 HDL 콜레스테롤을 포함한 지질 수치의 상승과 각각 관련이 있었다. 베이스라인으로부터의 지질 수치 변화가 아래에 요약되어 있다:
‑ 평균 총 콜레스테롤은 이 약 45mg을 투여한 유도요법군에서 0.95 mmol/L 증가했고, 이 약 15 mg 및 30 mg을 투여한 유지요법군에서 각각 0.87 mmol/L 및 1.19 mmol/L 증가했다.
‑ 평균 HDL 콜레스테롤은 이 약 45mg을 투여한 유도요법군에서 0.44 mmol/L 증가했고, 이 약 15 mg 및 30 mg을 투여한 유지요법군에서 각각 0.24 mmol/L 및 0.34 mmol/L 증가했다.
‑ 평균 LDL 콜레스테롤은 이 약 45mg을 투여한 유도요법군에서 0.52 mmol/L 증가했고, 이 약 15 mg 및 30 mg을 투여한 유지요법군에서 각각 0.64 mmol/L 및 0.80 mmol/L 증가했다.
‑ 평균 중성지방은 이 약 45mg을 투여한 유도요법군에서 0.05 mmol/L 감소했고, 이 약 15 mg 및 30 mg을 투여한 유지요법군에서 각각 ‑0.02 mmol/L 및 0.12 mmol/L 변화했다.
⑩ 크레아틴 인산활성효소 상승
8주에 걸친 위약‑대조 유도요법 임상시험에서, 크레아틴 인산 활성 효소(creatine phosphokinase, CPK) 수치 상승이 관찰되었다. 이 약 45 mg 투여군과 위약군에서 각각 환자의 2.2% 와 0.3%에서 >5 x ULN의 CPK 상승이 보고되었다. 52주에 걸친 위약‑대조 유지요법 임상시험에서, 이 약 15 mg 투여군, 30 mg 투여군과 위약군에서 각각 환자의 4.4%, 6.8%와 1.2%에서 >5 x ULN의 CPK 상승이 보고되었다. 대부분의 >5 x ULN 수치 상승은 일과성이었고 치료 중단이 필요하지 않았다.
⑪ 중성구 감소증
8주에 걸친 위약‑대조 유도요법 임상시험에서, 이 약 45mg 투여군과 위약군에서 각각 환자의 2.8%와 0%에서 측정치 중 한 번 이상이 1000 cells/mm3 미만인 중성구 수 감소가 발생했다. 52주에 걸친 위약‑대조 유지요법 임상시험에서, 이 약 15 mg, 30mg 투여군과 위약군에서 각각 환자의 1.8%, 2.4%와 0.8%에서 측정치 중 한 번 이상이 1000 cells/mm3 미만인 중성구 수 감소가 발생했다.
⑫ 림프구 감소증
8주에 걸친 위약‑대조 유도요법 임상시험에서, 이 약 45mg 투여군과 위약군에서 각각 환자의 2.0%와 0.8%에서 측정치 중 한 번 이상이 500 cells/mm
3 미만인 림프구 수 감소가 발생했다. 52주에 걸친 위약‑대조 유지요법 임상시험에서, 이 약 15 mg, 30mg 투여군과 위약군에서 각각 환자의 1.6%, 1.2%와 0.8%에서 측정치 중 한 번 이상이 500 cells/mm
3 미만인 림프구 수 감소가 발생했다.
⑬ 빈혈
8주에 걸친 위약‑대조 유도요법 임상시험에서, 이 약 45mg 투여군과 위약군에서 각각 환자의 0.3%와 2.1%에서 측정치 중 한 번 이상이 8 g/dL 미만인 헤모글로빈 감소가 발생했다. 52주에 걸친 위약‑대조 유지요법 임상시험에서, 이 약 15 mg, 30mg 투여군과 위약군에서 각각 환자의 0%, 0.4%와 1.2%에서 측정치 중 한 번 이상이 8 g/dL 미만인 헤모글로빈 감소가 발생했다.
(6) 크론병
총 833명의 중등증에서 중증의 활동성 크론병 환자 대상 무작위 배정, 이중‑눈가림, 위약‑대조 세 건의 3상 임상시험(CD‑1, CD‑2 및 CD‑3)(임상시험 정보 항 참조)에서 노출도는 1,203 환자‑년이었으며, 이 중 536명이 1년 이상 이 약에 노출되었다.
유도요법 연구(CD‑1 및 CD‑2)에서 674명의 환자가 위약‑대조 기간 동안 이 약 45 mg을 최소 1회 이상 투여 받았고, 이 중 592명이 12주간 노출되었고 142명이 연장 투여 기간 동안 이 약 30 mg을 최소 1회 투여 받았다.
유지요법 연구 CD‑3에서 221명의 환자가 이 약 15 mg을 최소 1회 이상 투여 받았고, 이 중 89명은 최소 1년 이상 노출되었으며, 229명의 환자가 이 약 30 mg을 최소 1회 투여 받았고, 이 중 107명이 최소 1년 이상 노출되었다.
이상반응 요약표
아래에 나열된 이상반응의 빈도는 다음 기준을 이용하여 정의되었다:
매우 흔하게 (≧ 1/10); 흔하게 (≧ 1/100 ~ <1/10); 흔하지 않게 (≧ 1/1,000 ~ <1/100). 각 빈도 그룹 내에서, 이상반응은 중증도가 감소하는 순으로 제시되어 있다.
표 6. 약물이상반응
|
기관계 분류 |
매우 흔하게 |
흔하게 |
흔하지 않게 |
|
감염 및 기생충 감염 |
상기도 감염a |
기관지염b
대상포진c
단순포진d
모낭염
인플루엔자
폐렴e |
구강 칸디다증 |
|
양성, 악성, 상세불명의 신생물(낭종과 용종을 포함) |
|
|
비-흑색종 피부암k |
|
혈액 및 림프계 장애 |
|
빈혈f
중성구 감소증g |
|
|
대사 및 영양 장애 |
|
고콜레스테롤 혈증h
고중성지방 혈증 |
|
|
피부 및 피하 조직 장애 |
|
여드름i |
|
|
전신 장애 및 투여 부위 병태 |
|
피로
발열 |
|
|
임상 검사 |
|
혈액 크레아틴 인산 활성 효소 증가
ALT 증가
AST 증가 |
|
|
각종 신경계 장애 |
|
두통j |
|
|
a 비인두염, 구인두 통증, 인두염, 연쇄상 구균 인두염, 비염, 부비동염, 편도염, 상기도 감염, 바이러스 인두염, 바이러스성 비염, 바이러스 상기도 감염 포함.
b 기관지염 및 만성 기관지염 포함.
c 대상 포진 및 수두 대상 포진 바이러스 감염 포함.
d 생식기 헤르페스, 생식기 단순 포진, 단순 포진, 코 헤르페스, 구순 포진 포함.
e COVID -19 폐렴, 폐포자충 폐렴, 폐렴, 바이러스성 폐렴 포함.
f 빈혈, 엽산 결핍성 빈혈, 만성 질환 빈혈, 적혈구 용적률 감소, 헤모글로빈 감소, 철 결핍성 빈혈, 소구성 빈혈, 정구성 빈혈
g 중성구 감소증 및 중성구 수 감소
h 혈중 콜레스테롤 증가 및 고콜레스테롤혈증 포함.
i 여드름 및 여드름 모양의 피부염 포함.
j 두통 및 긴장성 두통 포함.
k 피부의 편평세포암종 |
특정 약물이상반응
⓵ 중대한 감염
위약‑대조 유도요법 임상시험에서, 12주 동안 중대한 감염의 발생빈도는 이 약 45mg 투여군과 위약군에서 각각 1.9%와 1.7%였다. 위약‑대조 유지요법 임상시험에서, 52주 동안 중대한 감염의 발생빈도는 이 약 15 mg, 30 mg 투여군과 위약군에서 각각 3.2%, 5.7% 및 4.5%였다. 이 약 45mg의 유도요법에 반응한 환자에서 이 약 15 mg 및 30 mg 투여시 중대한 감염의 장기발생률(long‑term rate)은 100 환자‑년 당 각각 5.1건 7.3건이었다. 유도요법 및 유지요법 임상시험에서 가장 자주 보고된 중대한 감염은 위장관 감염이었다.
⓶ 위장관 천공
유도요법에 대한 3상 임상시험의 위약‑대조 기간 동안, 위장관 천공은 12주에 걸쳐 이 약 45 mg을 투여받은 1명(0.1%)의 환자에서 보고되었고 위약을 투여 받은 환자에서는 보고되지 않았다. 유도요법 시험 동안 이 약 45 mg을 투여받은 모든 환자(n=938) 중 4명(0.4%)의 환자에서 위장관 천공이 보고되었다.
장기 위약‑대조 기간 동안, 위약(100 환자‑년당 0.7건), 이 약 15 mg(100 환자‑년당 0.4건) 및 이 약 30 mg(100 환자‑년당 0.4건)을 투여받은 환자 각 1명에서 위장관 천공이 보고되었다. 장기 치료 동안 구제 약물로 이 약 30 mg을 투여받은 모든 환자(n=336) 중 3명(100 환자‑년당 0.8건)의 환자에서 위장관 천공이 보고되었다.
⓷ 림프구 감소증
12주에 걸친 위약‑대조 유도요법 임상시험에서, 이 약 45mg 투여군과 위약군에서 각각 환자의 2.2%와 2.0%에서 측정치 중 한 번 이상 500 cells/mm3 미만인 림프구 수 감소가 발생했다. 52주에 걸친 위약‑대조 유지요법 임상시험에서, 이 약 15 mg, 30mg 투여군과 위약군에서 각각 환자의 4.6%, 5.2%와 1.8%에서 측정치 중 한 번 이상 500 cells/mm3 미만인 림프구 수 감소가 발생했다. 임상시험에서 500 cells/mm3 미만인 림프구 수 감소로 인하여 치료가 중단되었다. 이 약을 치료하는 동안 시간 경과에 따른 림프구 수의 주목할 만한 평균 변화는 관찰되지 않았다.
⓸ 기타 실험실 수치
유도요법 및 유지요법 임상시험에서 이 약 치료와 관련된 ALT 그리고/또는 AST 상승(ULN의 3배 이상), CPK 수치(ULN의 5배 초과), 중성구 감소(1000 cells/mm3 미만의 중성구 수), 지질 수치와 같은 실험실 수치의 변화는 일반적으로 류마티스 관절염, 아토피 피부염, 궤양성 대장염의 임상시험에서 관찰된 것과 유사했다. 이 약 15 mg 및 30 mg 치료와 관련된 이러한 실험실 수치에 대한 용량 의존적 변화가 관찰되었다.
⓹ 빈혈
12주에 걸친 위약‑대조 유도요법 임상시험에서, 이 약 45mg 투여군과 위약군에서 각각 환자의 2.7%와 1.4%에서 측정치 중 한 번 이상 8 g/dL 미만인 헤모글로빈 감소가 발생했다. 52주에 걸친 위약‑대조 유지요법 임상시험에서, 이 약 15 mg, 30mg 투여군과 위약군에서 각각 환자의 1.4%, 4.4%와 2.8%에서 측정치 중 한 번 이상 8 g/dL 미만인 헤모글로빈 감소가 발생했다.
2) 시판 후 경험
흔하게 요로감염, 현훈이 나타날 수 있다.
5. 일반적 주의
1) 당뇨 치료 환자에 대한 투여
당뇨약 투여 환자에서 이 약 등 JAK 억제제 투여 시작 후 저혈당증 사례가 보고되었다. 저혈당증 사례 발생 시 당뇨약 용량 조절이 필요할 수 있다.
2) 망막 정맥 폐색
야누스키나제(JAK) 억제제(유파다시티닙 포함) 투여 환자에게서 망막 정맥 폐색이 보고되었다. 망막 정맥 폐색으로 의심되는 증상이 발생할 경우 환자는 신속히 진료를 받아야 한다.
6. 상호작용
1) 강력한 CYP3A4 저해제
강력한 CYP3A4 저해제(예, 케토코나졸, 클래리트로마이신 그리고 자몽)와 병용투여 시 이 약의 노출이 증가된다(11. 전문가 정보 중 2) 약동학적 정보 항 참조). 강력한 CYP3A4 저해제로 장기간 치료받고 있는 환자에서는 이 약 15 mg 1일 1회를 주의해서 사용해야 한다. 강력한 CYP3A4 저해제로 장기간 치료받고 있는 아토피 피부염 환자에서는 이 약 30 mg 1일 1회가 권장되지 않는다. 강력한 CYP3A4 저해제를 사용하는 궤양성 대장염 또는 크론병 환자의 경우에는 유도요법의 권장용량은 30mg 1일 1회이며, 유지요법의 권장용량은 15mg 1일 1회이다. 자몽이 함유된 음식이나 음료는 이 약 치료중에 피해야한다.
2) 강력한 CYP3A4 유도제
강력한 CYP3A4 유도제(예, 리팜핀)와 병용투여 시 이 약의 노출이 감소되며, 이로 인해 이 약의 치료 효과가 감소할 수 있다(11. 전문가 정보 중 2) 약동학적 정보 항 참조). 이 약을 강력한 CYP3A4 유도제와 병용투여 하는 경우에는 질병 활성도 변화에 대하여 환자를 모니터링해야 한다.
7. 임부 및 수유부에 대한 투여
1) 임부
임부에서의 이 약에 관한 임상자료는 제한적이기 때문에 약물과 관련된 주요 선천성 기형 및 유산 위험에 관한 정보를 제공하기에 충분하지 않다.
동물 시험에 의하면, 이 약은 발달 중인 태아에게 영향을 미칠 잠재성이 있다.
이 약을 임신 중에 사용해서는 안 된다. 가임 여성은 이 약으로 치료받는 동안과 이 약을 마지막으로 투여 받은 후 4주 동안 효과적인 피임을 하여야 한다. 이 약 투여 중 환자가 임신하는 경우, 태아에 대한 잠재적 위험을 부모에게 알려야 한다.
2) 수유부
이 약/대사체가 사람의 모유로 배설되는지는 알려져 있지 않다. 동물에 대하여 이용가능한 약력학/독성학 자료는 이 약이 유즙으로 배설됨을 나타냈다.
신생아/영아에 대한 위험을 배제할 수 없다. 수유하는 동안에는 이 약을 사용해서는 안 된다.
8. 과량 투여 시의 처치
임상시험에서 투여된 이 약의 최고용량은 속방형제제를 이용해 단회 투여한 48mg이었다(C<SUB>max</SUB>는 120mg 서방형제제와 유사하고 AUC는 60 mg 서방형제제와 유사). 이상반응은 더 낮은 용량들에서 관찰된 것과 유사했고 특이적인 독성은 확인되지 않았다. 체순환 중 이 약의 약 90%가 투여 후 24시간 이내에 배설된다 (임상시험에서 평가된 용량 범위 이내). 과량 투여 시, 이상반응의 증상 및 징후에 대하여 환자를 모니터링하는 것이 권장된다. 이상반응이 발생한 환자는 적절한 치료를 받아야 한다.
9. 운전 및 기계 조작에 대한 영향
이 약으로 치료하는 동안 어지럼증 및 현훈이 발생할 수 있으므로 운전 및 기계 조작 능력에 경미한 영향을 미칠 수 있다. (‘4. 이상반응’ 항 참조)
10. 보관 및 취급상의 주의사항
1) 어린이의 손이 닿지 않는 곳에 보관한다.
2) 이 약은 습기에 노출되지 않도록 원래의 포장이나 용기에 담아 25°C 이하에서 보관한다.
3) 다른 용기에 바꾸어 넣는 것은 사고원인이 되거나 품질유지 면에서 바람직하지 않으므로 이를 주의한다.
11. 전문가를 위한 정보
1) 약리작용
(1) 작용기전
이 약은 JAK1에 대한 선택적이고 가역적인 억제제이다. 이 약은 JAK2와 JAK3에 비해 JAK1을 더 강력하게 저해한다. 생체 내 약력학 반응과 상관관계가 있는 세포 역가 분석에서, 이 약은 JAK2에 비해 JAK1에 대한 선택성이 50‑70배, JAK3에 비해 JAK1에 대한 선택성이 >100배 더 높은 것으로 나타났다. 아토피 피부염의 병인은 JAK1 경로를 통해 신호를 전달하는 전염증성 사이토카인(IL‑4, IL‑13, IL‑22, TSLP, IL‑31, IFN‑ϒ 등)에 의해 유발된다. 이 약으로 JAK1을 억제하면 습진성 피부 병변과 소양증 등의 아토피 피부염의 징후와 증상을 유발하는 많은 매개체의 신호 전달을 감소시킨다. 전염증성 사이토카인(주로 IL‑6, IL‑7, IL‑15, IFN‑ϒ)은 JAK1 경로를 통해 신호를 전달하고, 염증성 장질환의 병리에 관여한다. 이 약으로 JAK1을 억제하면 염증성 장질환의 염증 부담과 징후 및 증상을 유발하는 JAK 의존성 사이토카인들의 신호 전달을 조절한다.
(2) 약력학
⓵ IL‑6 유도 STAT3 및 IL‑7 유도 STAT5 인산화의 억제
건강한 지원자에서 이 약(속방성 제형) 투여 시, 전혈 중 IL‑6(JAK1/JAK2)‑유도 STAT3 및 IL‑7(JAK1/JAK3)‑유도 STAT5의 인산화가 투여량 및 농도 의존적으로 저해되었다. 투여 후 1시간째에 최대 저해가 관찰되었으며 투여 간격 종료 시까지 베이스라인에 가깝게 회복되었다.
⓶ 림프구
류마티스 관절염 환자에서, 이 약 치료는 최대 36주차까지 베이스라인으로부터 평균 ALC(절대 림프구 수)의 일시적인 소폭 증가와 관련이 있었으며, 치료를 계속함에 따라 베이스라인 수치로 또는 그와 유사한 수치로 점차 회복되었다.
⓷ 면역글로불린
류마티스 관절염 환자에서, 대조 기간에서, 이 약 치료 시 평균 IgG 및 IgM 수치가 베이스라인으로부터 소폭 감소한 것이 관찰되었다; 그러나, 베이스라인과 모든 방문 시점에서의 평균 수치는 정상 참고 범위 이내였다.
⓸ hsCRP 및 다른 염증 지표
류마티스 관절염 환자에서, 이 약 치료는 빠르면 1주차에 베이스라인으로부터 평균 hsCRP 수치가 유의하게 감소한 것과 관련이 있었으며, 이 수치는 치료를 계속함에 따라 유지되었다.
크론병 환자에서 이 약 투여 후 hsCRP 및 대변 칼프로텍틴 감소가 관찰되었다. hsCRP 및 대변 칼프로텍틴의 감소는 유지요법 시험에서 제52주까지 유지되었다.
⓹ 심장 전기생리학
이 약을 단회 및 다회 투여 받은 시험대상자들에서 QTc 간격에 대한 이 약의 영향을 평가했다. 이 약은 치료 혈장 농도 또는 치료‑초과 혈장 농도에서 QTc 간격을 연장시키지 않는다.
➅ 백신 연구
면역증강 재조합 당단백질 E 대상포진 백신 투여 후 체액면역반응에 대한 이 약의 영향은 이 약 15mg으로 안정적인 치료를 받는 류마티스 관절염 환자 93명을 대상으로 평가되었다. 환자의 98%(n=91)가 메토트렉세이트를 병용했다. 환자의 49.5%(n=46)가 베이스라인에서 경구 코르티코스테로이드를 복용했다. 일차 평가변수는 16주(두 번째 접종 4주 후)에 백신 접종 전 anti‑glycoprotein E [gE]의 역가 농도가 4배 이상 증가한 환자의 비율이다. 백신접종 결과 이 약 15mg 투여 환자 중 88%(79/90, 95% CI: 81.0, 94.5)에서 두 번째 접종 4주 후에 체액면역반응이 나타났다.
불활화 폐렴구균 13가 접합백신 투여 후 체액면역반응에 대한 이 약의 영향은 이 약 15mg(n=87) 또는 30mg(n=24)으로 안정적인 치료를 받는 류마티스 관절염 환자 111명을 대상으로 평가되었다. 환자의 97%(n=108)가 메토트렉세이트를 병용했다. 백신접종 결과 이 약 15mg, 30mg 투여 환자 중 각각 67.5%(95% CI: 57.4, 77.5)와 56.5%(95% CI: 36.3, 76.8)에서 충분한 체액면역반응이 나타났다.
2) 약동학적 정보
(1) 흡수
이 약은 서방형제제로 경구 투여 후, T<SUB>max</SUB>(중간값) 2‑4시간으로 흡수된다. 이 약을 고지방 식사와 함께 투여할 시, 이 약물의 노출에 임상적으로 관련 있는 영향은 없었다 (AUC 29% 증가, C<SUB>max</SUB> 39%~60% 증가). 임상시험에서 이 약물은 식사와 상관없이 투여되었다.
(2) 분포
이 약물은 52%가 혈장 단백질에 결합된다. 이 약물은 혈액‑대‑혈장 비가 1.0로 나타나, 혈장과 혈액 세포 성분 사이에서 유사하게 분배된다.
(3) 대사
이 약물 대사는 CYP3A4에 의해 일어나며, CYP2D6도 잠재적으로 비주요 대사를 매개한다. 이 약에 대한 활성 대사체는 확인되지 않았다.
(4) 배설
[
14C]‑이 약 속방 액제의 단회 용량 투여 후, 이 약은 소변(24%) 및 대변(38%)에서 미변화 모 약물로서 주로 제거되었다. 이 약 용량의 약 34%가 대사체로서 배설되었다. 이 약의 평균 최종 반감기는 9‑14시간이었다.
(5) 특수 집단에서의 약동학
⓵ 신장애
신장애는 이 약의 노출에 임상적으로 관련 있는 영향을 미치지 않는다. 이 약의 AUC는 신기능이 정상인 시험대상자와 비교했을 때 경증, 중등증 및 중증 신장애 시험대상자에서 각각 18%, 33%, 및 44% 더 높았다. 이 약의 C<SUB>max</SUB>는 정상 신기능 시험대상자와 신장애 시험대상자들에서 유사했다. 신장애 환자에서의 용량은 용법 ◦ 용량 항을 참조해야 한다.
⓶ 간장애
경증 (Child‑Pugh A) 및 중등증 (Child‑Pugh B) 간장애는 이 약의 노출에 임상적으로 관련 있는 영향을 미치지 않는다. 이 약의 AUC는 간기능이 정상인 시험대상자와 비교했을 때 경증 및 중등증 간장애 시험대상자에서 각각 28% 및 24% 더 높았다. 이 약의 C<SUB>max</SUB>는 간기능이 정상인 시험대상자와 비교했을 때 경증 간장애 시험대상자에서 변화가 없었고 중등증 간장애 시험대상자에서는 43% 더 높았다. 이 약은 중증 간장애 (Child‑Pugh C) 시험대상자에서 연구되지 않았다.
⓷ 내인적 요인
연령, 성별, 체중, 인종, 및 민족은 이 약의 노출에 임상적으로 유의미한 영향을 미치지 않았다. 이 약의 약동학은 류마티스 관절염, 건선성 관절염, 강직성 척추염, 비방사선학적 축성 척추관절염, 아토피 피부염, 궤양성 대장염 및 크론병 환자 간에 일관된다.
(6) 약물상호작용
⓵ 다른 약물이 이 약의 약동학에 영향을 미칠 가능성
이 약은 생체 외에서 CYP3A4에 의해 대사되며, CYP2D6에 의해서도 약간 대사된다. 이 약의 혈장 노출에 대한 병용투여 약물의 영향이 표 7에 제공되어 있다.
표 7. 병용투여 약물 존재 시 이 약의 약동학 변화
|
병용투여 약물 |
병용투여 약물의 용법 |
이 약의 용법
|
N
(명) |
비율
(90% CI)a |
임상적 영향
|
|
Cmax |
AUC |
|
강력한 CYP3A4 억제제: 케토코나졸 |
400 mg 1일 1회 x 6일 |
3 mg 단회 투여b |
11 |
1.70
(1.55-1.89) |
1.75
(1.62-1.88) |
류마티스 관절염, 건선성 관절염, 강직성 척추염, 비방사선학적 축성 척추관절염 그리고 아토피 피부염에 이 약의 권장 용량은 1일 1회 15 mg이다. 장기간 사용 시 주의할 것.
강력한 CYP3A4억제제를 병용할 경우 궤양성 대장염 및 크론병의 유도용량은 30mg, 유지용량은 15mg이다. |
|
강력한 CYP3A4 유도제: 리팜핀 |
600 mg 1일 1회 x 9일 |
12 mg 단회 투여b |
12 |
0.49
(0.44-0.55) |
0.39
(0.37-0.42) |
유효성이 감소할 수 있음 |
|
CI: 신뢰구간 (Confidence interval)
a 이 약을 단독 투여한 경우와 이 약을 다른 약과 병용투여한 경우를 비교한 Cmax 및 AUC 비율.
b 이 약을 속방 제형으로 투여함. |
OATP1B 수송체 저해제인 메토트렉세이트, 및 pH 조절제(예, 제산제 또는 수소 펌프 저해제)는 이 약 혈장 노출에 아무런 영향을 미치지 않는다. CYP2D6 대사 표현형은 이 약 약동학에 영향을 미치지 않았으며, 이는 CYP2D6 저해제가 이 약 노출에 임상적으로 관련 있는 영향을 미치지 않음을 나타낸다.
⓶ 이 약이 다른 약물의 약동학에 영향을 미칠 가능성
다른 약물의 혈장 노출에 대한 이 약의 영향이 표 8에 제공되어 있다.
표 8. 이 약 존재 시 병용투여 약물의 약동학 변화
|
병용투여 약물 |
병용투여 약물의 용법 |
이 약의 용법
|
N
(명) |
비율
(90% CI)a |
임상적 영향
|
|
Cmax |
AUC |
|
미다졸람 |
5 mg 단회 투여
|
30 mg 1일 1회
x 10일 |
20 |
0.74
(0.68-0.80) |
0.74
(0.68-0.80) |
용량 조절이 필요하지 않음 |
|
미다졸람 |
5 mg 단회 투여 |
45 mg 1일 1회
x 10일 |
19 |
0.75
(0.69-0.83) |
0.76
(0.69-0.83) |
용량 조절이 필요하지 않음 |
|
덱스트로메토르판 |
30 mg 단회 투여 |
45 mg 1일 1회
x 11일 |
19 |
1.30
(1.13-1.50) |
1.35
(1.18-1.54) |
용량 조절이 필요하지 않음 |
|
로수바스타틴 |
5 mg 단회 투여
|
30 mg 1일 1회 x 10일 |
12 |
0.77
(0.63-0.94) |
0.67
(0.56-0.82) |
용량 조절이 필요하지 않음 |
|
아토르바스타틴 |
10 mg 단회 투여
|
30 mg 1일 1회
x 10일 |
24 |
0.88
(0.79-0.97) |
0.77
(0.70-0.85) |
용량 조절이 필요하지 않음 |
|
CI: 신뢰구간 (Confidence interval)
a 다른 약을 단독 투여한 경우와 이 약과 다른 약을 병용투여한 경우를 비교한 Cmax및 AUC 비율. |
이 약은 에티닐에스트라디올, 레보노르게스트렐, 메토트렉세이트 또는 CYP1A2, CYP2B6, CYP2C19, 또는 CYP2C9에 의한 대사 기질인 약물들(카페인, 부프로피온, 덱스트로메토르판, 오메프라졸, 와파린)의 혈장 노출에 관련 있는 영향을 미치지 않았다. 이 약 45 mg에서 CYP2D6에 약한 억제 작용이 관찰되었지만 30 mg에서는 관찰되지 않았다.
3) 임상시험 정보
류마티스 관절염
이 약 15 mg 1일 1회 투여의 유효성과 안전성은 중등도에서 중증의 활동성 류마티스 관절염이 있고 ACR/EULAR 2010 분류 기준에 해당하는 환자들을 대상으로 한 다섯 건의 3상, 무작위 배정, 이중‑눈가림, 다기관 임상시험에서 평가되었다. 18세 이상의 환자가 참여할 수 있었다. 베이스라인에서 최소 6개의 압통 관절 및 6개의 종창 관절이 있으며, hsCRP 상승에 근거한 전신성 염증에 대한 증거가 있어야 했다. 네 건의 시험에 최대 5년 동안의 장기 연장 기간이 포함되었고, 한 건의 시험 (SELECT‑COMPARE)에 최대 10년 동안의 장기 연장 기간이 포함되었다
(1) 임상 반응
⓵ ACR 반응
SELECT‑BEYOND 시험에서의 ACR70을 제외하고, 모든 임상시험에서, 위약 또는 MTX에 비해 이 약 15 mg으로 치료받은 환자에서 유의하게 더 많은 환자들이 12주차에 ACR20, ACR50, 및 ACR70 반응을 달성했다(표 9, 그림 1). 유효성 발생 시점은 모든 척도들에 걸쳐 빨랐고 ACR20의 경우 빠르면 1주차에 유의하게 더 큰 반응이 나타났다. 두 건의 장기 연장 시험(SELECT‑COMPARE 와 SELECT‑EARLY)의 결과로 지속적인 반응률이 관찰되었으며(MTX를 병용하거나 병용하지 않음), ACR20/50/70 반응은 3년 동안 유지되었다.
이 약 15 mg을 단독으로 또는 csDMARDs와 병용하여 치료한 경우, 위약 또는 MTX 단독요법에 비해 압통 관절 수 및 종창 관절 수, 환자 및 의사의 전반적 평가, HAQ‑DI, 통증 평가, 및 hsCRP를 포함한 개별 ACR 구성 요소 면에서 유의하게 개선되었다.
SELECT‑COMPARE에서, 아달리무맙에 비해 이 약 15 mg으로 치료받은 환자 중 유의하게 더 높은 비율이 12주차부터 48주차까지 ACR20/50/70을 달성했다. 또한, 개별 ACR 구성 요소들에 대하여 더 큰 개선이 관찰되었다.
그림 1. SELECT‑COMPARE에서 ACR20을 달성한 환자의 비율

⓶ 관해 및 낮은 질병 활성
모든 임상시험에서, 위약, MTX, 또는 아달리무맙에 비해 이 약 15 mg으로 치료받은 환자 중 유의하게 더 높은 비율이 낮은 질병 활성(DAS28‑CRP ≦3.2) 및 임상적 관해(DAS28‑CRP <2.6) 모두를 달성했다 (표 9). 아달리무맙과 비교했을 때, 빠르면 8주차에 유의하게 더 높은 반응을 달성했으며 이는 48주차까지 유지되었다 (그림 2). CDAI ≦2.8, SDAI ≦3.3, 및 Boolean 관해를 포함한 다른 질병 활성 결과에 대해서도 유의하게 더 높은 반응이 관찰되었다. 전반적으로, 낮은 질병 활성과 임상적 관해율 모두 MTX를 병용하거나 병용하지 않은 환자 집단에 걸쳐 일관적이었고, 두 건의 장기 연장 시험(SELECT‑COMPARE 와 SELECT‑EARLY)에 따르면 3년 동안 유지되었다.
그림 2. SELECT‑COMPARE에서 시간에 따른 임상적 관해 (DAS28‑CRP)

표 9. 반응 및 관해
|
임상시험 |
SELECT
EARLY
MTX-Naive |
SELECT
MONO
MTX-IR |
SELECT
NEXT
csDMARD-IR |
SELECT
COMPARE
MTX-IR |
SELECT
BEYOND
bDMARD-IR |
|
|
MTX |
UPA
15mg |
MTX |
UPA
15mg |
PBO |
UPA
15mg |
PBO |
UPA
15mg |
ADA
40mg |
PBO |
UPA
15mg |
|
N |
314 |
317 |
216 |
217 |
221 |
221 |
651 |
651 |
327 |
169 |
164 |
|
주차 |
|
ACR20 (환자 중 %) |
|
12a/14b |
54 |
76e |
41 |
68e |
36 |
64e |
36 |
71e,j |
63 |
28 |
65e |
|
24c/26d |
59 |
79e |
|
|
|
|
36 |
67e,i |
57 |
|
|
|
48 |
57 |
74e |
|
|
|
|
|
65i |
54 |
|
|
|
ACR50 (환자 중 %) |
|
12a/14b |
28 |
52e |
15 |
42e |
15 |
38e |
15 |
45e,h |
29 |
12 |
34e |
|
24c/26d |
33 |
60e |
|
|
|
|
21 |
54e,h |
42 |
|
|
|
48 |
43 |
63e |
|
|
|
|
|
49i |
40 |
|
|
|
ACR70 (환자 중 %) |
|
12a/14b |
14 |
32e |
3 |
23e |
6 |
21e |
5 |
25e,h |
13 |
7 |
12 |
|
24c/26d |
18 |
44e |
|
|
|
|
10 |
35e,h |
23 |
|
|
|
48 |
29 |
51e |
|
|
|
|
|
36h |
23 |
|
|
|
LDA DAS28-CRP ≤3.2 (환자 중 %) |
|
12a/14b |
28 |
53e |
19 |
45e |
17 |
48e |
14 |
45e,h |
29 |
14 |
43e |
|
24c/26d |
32 |
60e |
|
|
|
|
18 |
55e,h |
39 |
|
|
|
48 |
39 |
59e |
|
|
|
|
|
50h |
35 |
|
|
|
CR DAS28-CRP <2.6 (환자 중 %) |
|
12a/14b |
14 |
36e |
8 |
28e |
10 |
31e |
6 |
29e,h |
18 |
9 |
29e |
|
24c/26d |
18 |
48e |
|
|
|
|
9 |
41e,h |
27 |
|
|
|
48 |
29 |
49e |
|
|
|
|
|
38i |
28 |
|
|
|
약어: ACR20 (또는 50 또는 70) = 미국 류마티스 학회(American College of Rheumatology) ≥20% (또는 ≥50% 또는 ≥70%) 개선; ADA = 아달리무맙(adalimumab); CR = 임상적 관해(Clinical Remission); CRP = c-반응성 단백질(c-reactive protein), DAS28 = 28개 관절에 대한 질병 활성 점수(Disease Activity Score 28 joints); LDA = 낮은 질병 활성(Low Disease Activity); MTX = 메토트렉세이트(methotrexate); PBO = 위약(placebo); UPA= 이 약(upadacitinib)
a SELECT-NEXT, SELECT-EARLY, SELECT-COMPARE, SELECT-BEYOND
b SELECT-MONOTHERAPY
c SELECT-EARLY
d SELECT-COMPARE
e p≤0.001, 이 약 vs 위약 또는 MTX 비교
f p≤0.01, 이 약 vs 위약 또는 MTX 비교
g p<0.05, 이 약 vs 위약 또는 MTX 비교
h p≤0.001, 이 약 vs 아달리무맙 비교
i p≤0.01, 이 약 vs 아달리무맙 비교
j p<0.05, 이 약 vs 아달리무맙 비교 |
(2) 방사선학적 반응
26주 및 48주차(SELECT‑COMPARE)와 24 주차 (SELECT‑EARLY)에서, 수정된 전체 샤프 점수(Total Sharp Score; mTSS) 및 그 구성 요소, 골 미란 점수 및 관절강 협착 점수를 이용하여 구조적 관절 손상 진행 억제를 평가했다.
이 약 15 mg 치료는 SELECT‑COMPARE에서는 26주 및 48주차에 위약에 비해, SELECT‑EARLY에서는 24주차에 이 약 단독요법이 MTX에 비해, 구조적 관절 손상 진행을 유의하게 더 크게 억제했다 (표 10). 방사선학적 진행이 없는(mTSS 변화 ≦ 0) 환자의 비율은 26주 및 48주차에 위약에 비해 (SELECT‑COMPARE), 그리고 24주차에 MTX에 비해 (SELECT‑EARLY) 이 약 15 mg으로 치료한 경우에 유의하게 더 높았다. 이 약 15mg을 투여받은 환자에 대한 두 연구 모두에서 구조적 관절 손상 진행의 억제는 96주차까지 유지되었다.
표 10. 방사선학적 변화
|
임상시험 |
SELECT
EARLY
MTX-Naive |
SELECT
COMPARE
MTX-IR |
|
치료군 |
MTX |
UPA
15 mg |
PBOa |
UPA
15 mg |
ADA
40 mg |
|
수정된 전체 샤프 점수, 베이스라인으로부터의 평균 변화 |
|
24b/26c주차 |
0.7 |
0.1f |
0.9 |
0.2e |
0.1 |
|
48주차 |
1.0 |
0.03e |
1.7 |
0.3e |
0.4 |
|
방사선학적 진행이 없는 환자의 비율d |
|
24b/26c주차 |
77.7 |
87.5f |
76.0 |
83.5f |
86.8 |
|
48주차 |
74.3 |
89.9e |
74.1 |
86.4e |
87.9 |
|
a 48주차에서의 모든 위약 자료는 선형 외삽을 이용하여 도출됨
b SELECT-EARLY
c SELECT-COMPARE
d 진행 없음은 mTSS 변화가 ≤0인 경우로 정의됨
e p≤0.001, 이 약 vs 위약 또는 MTX 비교
f p≤0.01, 이 약 vs 위약 또는 MTX 비교
g p<0.05, 이 약 vs 위약 또는 MTX 비교 |
(3) 신체 기능 반응 및 건강‑관련 결과
이 약 15 mg을 단독으로 또는 csDMARDs와 병용 투여한 경우, HAQ‑DI로 측정했을 때 모든 대조약(위약, MTX, 아달리무맙)에 비해 신체 기능이 유의하게 개선되었다. SELECT‑NEXT 및 SELECT‑BEYOND에서 위약과 비교했을 때 개선은 빠르면 1주차에 관찰되었고, 최대 60주 동안 유지되었다. SELECT‑COMPARE에서, 이 약 15 mg으로 치료받은 환자들은 빠르면 8주차에 아달리무맙에 비해 유의하게 더 큰 신체 기능 개선을 나타냈고 이는 48주에 걸쳐 유지되었다.
모든 임상시험에서, 이 약 15 mg을 단독으로 또는 csDMARDs와 병용 투여한 경우, 0‑100 시각 아날로그 척도로 측정했을 때 12/14주차에 모든 대조약에 비해 통증이 유의하게 더 크게 개선되었고, 이는 최대 48‑60주 동안 유지되었다. 위약과 비교한 경우 빠르면 1주차에, 아달리무맙과 비교한 경우 빠르면 4주차에 유의하게 더 큰 통증 감소가 관찰되었다.
SELECT‑COMPARE 및 SELECT‑EARLY의 결과에서 이 약15mg을 투여받은 환자들의 HAQ‑DI 및 통증에서의 개선은 3년 동안 유지되었다.
모든 임상시험에서, 이 약 15 mg 치료는 위약 또는 MTX에 비해 아침 관절 강직의 평균 지속 시간과 중증도를 유의하게 더 크게 개선시켰다. SELECT‑COMPARE에서, 이 약 15 mg으로 치료받은 환자들은 아달리무맙에 비해 아침 관절 강직 증증도가 유의하게 더 크게 개선되었다.
모든 임상시험에 걸쳐, 이 약 15 mg을 투여 받은 환자들은 간략형 건강 조사(SF‑36) 중 신체적 구성 요소 요약(physical component summary; PCS) 점수 면에서 위약, 아달리무맙, 또는 MTX에 비해 베이스라인으로부터 유의하게 더 큰 개선을 경험했다. SELECT‑EARLY, SELECT‑MONOTHERAPY, 및 SELECT‑COMPARE에서 이 약 15 mg을 투여 받은 환자들은 위약 또는 MTX에 비해 정신적 구성 요소 요약 (mental component summary; MCS) 점수와 SF‑36의 8개 영역 모두에서 베이스라인으로부터 유의하게 더 큰 개선을 경험했다.
SELECT‑EARLY, SELECT‑NEXT, 및 SELECT‑COMPARE 시험들에서 만성 질환 치료의 기능적 평가‑피로 점수(Functional Assessment of Chronic Illness Therapy‑Fatigue score; FACIT‑F)를 이용하여 피로를 평가했다. 이 약 15 mg 치료는 위약, MTX, 또는 아달리무맙에 비해 피로를 유의하게 개선시켰다.
SELECT‑NEXT와 SELECT‑COMPARE에서 고용 상태의 환자들에서 류마티스 관절염‑고용 불안정성 척도(Rheumatoid Arthritis‑Work Instability Scale; RA‑WIS)를 이용하여 류마티스 관절염‑관련 고용 불안정성을 평가했다. 이 약 15 mg 치료는 위약에 비해 고용 불안정성을 유의하게 더 크게 감소시켰다.
건선성 관절염
이 약 15 mg 1일 1회 투여의 유효성과 안전성은 중등도에서 중증의 활동성 건선성 관절염이 있는 18세 이상의 환자들을 대상으로 한 두 건의 3상, 무작위 배정, 이중‑눈가림, 다기관, 위약‑대조 임상시험에서 평가되었다 (표 11). 모든 환자들은 건선성 관절염에 대한 분류 기준(Criteria for Psoriatic Arthritis, CASPAR)을 토대로 6개월 이상 활동성 건선성 관절염이 있고, 최소 3개의 압통 관절 및 최소 3개의 종창 관절이 있으며, 활동성 판상 건선 또는 판상 건선의 과거력을 가졌다. 시험들은 최대 5년까지 (SELECT‑PsA 1), 그리고 3년까지 (SELECT‑PsA 2)의 장기 연장을 포함했다.
표 11. 임상시험 요약
|
시험명
|
시험 집단
(명) |
치료군
|
주요 결과 측정
|
|
SELECT-PsA 1 |
비생물학적 DMARD-IRa
(1,705) |
이 약 15 mg
이 약 30 mg
위약
아달리무맙 40mg |
일차 평가변수:
제12주에서 ACR20 |
|
주요 이차 평가변수:
제24주에서 MDA
제24주에서 골근부착부염(LEI=0) 및 손발가락염(LDI=0)의 해결
제16주에서 PASI75
제16주에서 sIGA
제16주에서 SAPS
제24주에서 방사선학적 진행(ΔmTSS)
제12주에서 Δ 신체 기능(HAQ-DI)
제12주에서 SF-36 PCS
제12주에서 FACIT-F 제12주에서 아달리무맙 대비 ACR20, 통증, 및
Δ 신체 기능(HAQ-DI) |
|
SELECT-PsA 2 |
bDMARD-IRb
(642) |
이 약 15 mg
이 약 30 mg
위약
|
일차 평가변수:
제12주에서 ACR20 |
|
주요 이차 평가변수:
제24주에서 MDA
제16주에서 PASI75
제16주에서 sIGA
제16주에서 SAPS
제12주에서 Δ 신체 기능(HAQ-DI)
제12주에서 SF-36 PCS
제12주에서 FACIT-F |
|
약어: MDA = 최소 질병 활동; mTSS = 수정된 전체 샤프 점수; PASI = 건선 부위 및 중증도 지수; SAPS = 건선 증상의 자가-평가; sIGA = 정적 건선 연구자 전반적 평가
a 1개 이상의 비생물학적 DMARD에 부적절한 반응을 보였거나 불내성이었던 환자
b 1개 이상의 bDMARD에 부적절한 반응을 보였거나 불내성이었던 환자 |
(1) 임상 반응
두 시험 모두에서, 위약에 비해 이 약 15 mg으로 치료받은 환자에서 유의하게 더 많은 비율이 12주차에 ACR 20 반응을 달성했다 (표 12, 그림 3). SELECT‑PsA 1에서, 이 약 15 mg은 아달리무맙에 비해 12주차에 ACR20 반응을 달성한 환자 비율이 비열등했다. 위약에 비해 이 약 15 mg으로 치료받은 환자에서 더 높은 비율로 12주차에 ACR50 및 ACR70 반응에 도달하였다. 유효성 발생 시점은 모든 측정들에 걸쳐 빨랐고 ACR20은 빠르면 2주차에 더 큰 반응이 나타났다.
이 약 15 mg으로 치료한 경우 위약에 비해 압통/통증 및 종창 관절 수, 환자 및 의사의 전반적 평가, HAQ‑DI, 통증 평가, 및 hsCRP를 포함한 개별 ACR 구성 요소 면에서 개선되었다 (표 13). 이 약 15 mg으로 치료한 경우 아달리무맙에 비해 24주차에 통증이 크게 개선되었다.
두 시험 모두에서, 일차 및 주요 이차 평가변수에 대하여 단독 및 비생물학적 DMARD와의 병용에서 일관된 반응이 관찰되었다.
이 약 15 mg의 유효성은 베이스라인 BMI, 베이스라인 hsCRP, 및 이전 비생물학적 DMARD 수(≦ 1 또는 >1)를 포함해 평가된 하위군과 관계없이 입증되었다.
그림 3. SELECT‑PsA 1에서 ACR20을 달성한 환자의 비율

표 12. 임상 반응
|
임상시험 |
SELECT-PsA 1
비생물학적 DMARD-IR |
SELECT-PsA 2
bDMARD-IR |
|
치료군 |
PBO |
UPA
15 mg |
ADA
40 mg |
PBO |
UPA
15 mg |
|
N |
423 |
429 |
429 |
212 |
211 |
|
ACR20 (환자의 %) |
|
제12주 |
36 |
71e |
65 |
24 |
57e |
|
제24주 |
45 |
73f,i |
67 |
20 |
59f |
|
제56주 |
|
74 |
69 |
|
60 |
|
ACR50(환자의 %) |
|
제12주 |
13 |
38f |
38 |
5 |
32f |
|
제24주 |
19 |
52f,i |
44 |
9 |
38f |
|
제56주 |
|
60i |
51 |
|
41 |
|
ACR70 (환자의 %) |
|
제12주 |
2 |
16f |
14 |
1 |
9f |
|
제24주 |
5 |
29f,i |
23 |
1 |
19f |
|
제56주 |
|
41h |
31 |
|
24 |
|
MDA (환자의 %) |
|
제12주 |
6 |
25f |
25 |
4 |
17f |
|
제24주 |
12 |
37e |
33 |
3 |
25e |
|
제56주 |
|
45 |
40 |
|
29 |
|
골근부착부염의 해결(LEI=0; 환자의 %)a |
|
제12주 |
33 |
47f |
47 |
20 |
39f |
|
제24주 |
32 |
54e |
47 |
15 |
43f |
|
제56주 |
|
59 |
54 |
|
43 |
|
손발가락염의 해결(LDI=0; 환자의 %)b |
|
제12주 |
42 |
74f |
72 |
36 |
64g |
|
제24주 |
40 |
77f |
74 |
28 |
58g |
|
제56주 |
|
75 |
74 |
|
51 |
|
PASI75(환자의 %)c |
|
제16주 |
21 |
63e |
53 |
16 |
52e |
|
제24주 |
27 |
64f |
59 |
19 |
54f |
|
제56주 |
|
65 |
61 |
|
52 |
|
PASI90 (환자의 %)c |
|
제16주 |
12 |
38f |
39 |
8 |
35f |
|
제24주 |
17 |
42f |
45 |
7 |
36f |
|
제56주 |
|
49 |
47 |
|
41 |
|
PASI100 (환자의 %)c |
|
제16주 |
7 |
24f |
20 |
6 |
25f |
|
제24주 |
10 |
27f |
28 |
5 |
22f |
|
제56주 |
|
35 |
31 |
|
27 |
|
sIGA 0/1 (환자의 %)d |
|
제16주 |
11 |
42e |
39 |
9 |
37e |
|
제24주 |
12 |
45f |
41 |
10 |
33f |
|
제56주 |
|
52 |
47 |
|
33 |
|
무작위 배정된 치료를 중단하거나 평가 주 당시 자료가 결측인 환자들은 분석에서 비반응자로 대체됨. MDA와 제24/56주에서 골근부착부염 및 손발가락염의 해결, 제16주에서 구제 약물을 쓴 환자들은 분석에서 비반응자로 대체됨.
a 베이스라인에서 골근부착부염이 있는 환자들 중 (SELECT-PsA 1에서 각각 n=241, 270, 265, 그리고 SELECT-PsA 2에서 각각 n=144, 133)
b 베이스라인에서 손발가락염이 있는 환자들 중 (SELECT-PsA 1에서 각각 n=126, 136, 127, 그리고 SELECT-PsA 2에서 각각 n=64, 55)
c 베이스라인에서 ≥3% BSA 건선이 있는 환자들 중 (SELECT-PsA 1에서 각각 n=211, 214, 211, 그리고 SELECT-PsA 2에서 각각 n=131, 130)
d베이스라인에서 sIGA ≥2 인 환자들 중 (SELECT-PsA 1에서 각각 n=313, 322, 330, 그리고 SELECT-PsA 2에서 각각 n=163, 171)
e 다중성-조절 p≤0.001이 약 vs 위약 비교
f 명목 p≤0.001 이 약 vs 위약 비교
g 명목 p≤0.01 이 약 vs 위약 비교
h 명목 p≤0.01 이 약 vs 아달리무맙 비교
i 명목 p<0.05 이 약 vs 아달리무맙 비교 |
표 13. ACR 반응의 구성요소 (베이스라인 대비 평균 변화)
|
임상시험 |
SELECT-PsA 1
비생물학적 DMARD-IR |
SELECT-PsA 2
bDMARD-IR |
|
치료군 |
PBO |
UPA
15 mg |
ADA
40 mg |
PBO |
UPA
15 mg |
|
N |
423 |
429 |
429 |
212 |
211 |
|
압통/통증 관절 수 (0-68) |
|
제12주 |
-7.1 |
-11.3d |
-10.3 |
-6.2 |
-12.4d |
|
제24주 |
-9.2 |
-13.7d |
-12.5 |
-6.6 |
-14.0d |
|
제56주 |
|
-16.2 |
-15.8 |
|
-18.0 |
|
종창 관절 수 (0-66) |
|
제12주 |
-5.3 |
-7.9d |
-7.6 |
-4.8 |
-7.1d |
|
제24주 |
-6.3 |
-9.0d |
-8.6 |
-5.6 |
-8.3d |
|
제56주 |
|
-10.1 |
-10.2 |
|
-9.4 |
|
환자의 통증 평가a |
|
제12주 |
-0.9 |
-2.3d |
-2.3 |
-0.5 |
-1.9d |
|
제24주 |
-1.4 |
-3.0d,f |
-2.6 |
-0.7 |
-2.2d |
|
제56주 |
|
-3.5g |
-3.0 |
|
-2.8 |
|
환자 전반적 평가a |
|
제12주 |
-1.2 |
-2.7d |
-2.6 |
-0.6 |
-2.3d |
|
제24주 |
-1.6 |
-3.4d,e |
-2.9 |
-0.8 |
-2.6d |
|
제56주 |
|
-3.8f |
-3.2 |
|
-3.1 |
|
장애 지수(HAQ-DI)b |
|
제12주 |
-0.14 |
-0.42c,g |
-0.34 |
-0.10 |
-0.30c |
|
제24주 |
-0.19 |
-0.51d,e |
-0.39 |
-0.08 |
-0.33d |
|
제56주 |
|
-0.56f |
-0.44 |
|
-0.38 |
|
의사 전반적 평가a |
|
제12주 |
-2.1 |
-3.6d |
-3.4 |
-1.4 |
-3.1d |
|
제24주 |
-2.8 |
-4.3d |
-4.1 |
-1.8 |
-3.8d |
|
제56주 |
|
-5.0 |
-4.8 |
|
-4.7 |
|
hsCRP (mg/L) |
|
제12주 |
-1.3 |
-7.1d |
-7.6 |
0.3 |
-6.6d |
|
제24주 |
-2.1 |
-7.6d |
-7.3 |
-0.9 |
-6.3d |
|
제56주 |
|
-7.8 |
-7.2 |
|
-6.5 |
|
a 숫자 평가 척도(NRS): 0 = 최고, 10 = 최악
b 건강 평가 설문-장애 지수: 0= 최고, 3= 최악; 20개 설문; 8개 범주: 옷입기와 몸 치장하기, 일어서기, 식사, 걷기, 위생, 손뻗기, 쥐기, 및 일상활동.
c 다중성-조절 p≤0.001 이 약 vs 위약 비교
d 명목p≤0.001 이 약 vs 위약 비교
e 명목 p≤0.001 이 약 vs 아달리무맙 비교
f 명목p≤0.01 이 약 vs 아달리무맙 비교
g 명목 p<0.05 이 약 vs 아달리무맙 비교 |
두 시험 모두에서, 이 약15 mg으로 치료받은 환자에서 ACR20/50/70, MDA, PASI75/90/100, sIGA, 골근부착부염 해결, 그리고 손발가락염 해결에 대한 반응률은 제56주까지 유지되었다.
(2) 방사선학적 반응
SELECT‑PsA 1에서, 구조적 손상 진행의 억제를 방사선학적으로 평가하였고, 제24주에서 수정된 전체 샤프 점수(mTSS) 및 그 구성 요소인 미란 점수 및 관절강 협착 점수의 베이스라인 대비 변화로 표현하였다.
이 약 15 mg 치료는 제24주에서 위약 대비 구조적 관절 손상 진행을 유의한 정도로 크게 억제하였다(표 14). 미란 및 관절강 협착 점수는 전체 점수와 일관적이었다. 제24주에서 방사선학적 진행이 없는 환자(mTSS 변화 ≦ 0.5)의 비율은 위약에 비해 이 약 15 mg에서 높았다.
표 14. SELECT‑PsA 1에서 방사선학적 변화
|
치료군 |
PBO |
UPA
15 mg |
ADA
40 mg |
|
수정된 전체 샤프 점수, 베이스라인 대비 평균 변화 |
|
제24주 |
0.25 |
-0.04c |
0.01 |
|
제56주a |
0.44 |
-0.05d |
-0.06 |
|
미란 점수, 베이스라인 대비 평균 변화 |
|
제24주 |
0.12 |
-0.03d |
0.01 |
|
제56주a |
0.30 |
-0.03d |
-0.05 |
|
관절강 협착 점수, 베이스라인 대비 평균 변화 |
|
제24주 |
0.10 |
-0.00f |
-0.02 |
|
제56주a |
0.14 |
-0.03e |
-0.03 |
|
방사선학적 진행이 없는 환자 비율a |
|
제24주 |
92 |
96f |
95 |
|
제56주a |
89 |
97d |
94 |
|
a 제56주차에서의 모든 위약 자료는 선형 외삽을 이용하여 도출됨
b mTSS 변화 ≤0.5로 정의한 진행 없음
c 다중성-조절 p≤0.001 이 약 vs 위약 비교
d 명목 p≤0.001 이 약 vs 위약 비교
e 명목 p≤0.01 이 약 vs 위약 비교
f 명목 p<0.05 이 약 vs 위약 비교 |
(3) 신체 기능 반응 및 건강‑관련 결과
두 시험 모두에서, 이 약 15 mg을 투여받은 환자들은 위약에 비해 제12주에서 HAQ‑DI로 평가한 신체 기능에서, 베이스라인 대비 유의한 개선을 보였으며 (표 13), 이는 제56주까지 유지되었다.
SELECT‑PsA 1과 SELECT‑PsA 2에서 제12주에서의 HAQ‑DI 반응자(HAQ‑DI 점수에서 베이스라인 대비 ≧ 0.35 개선)의 비율은 이 약 15 mg을 투여받은 환자에서 각각 58%와 45%였으며, 위약을 투여받은 환자에서는 각각 33%와 27%였으며, 아달리무맙을 투여받은 환자에서는 47%였다(SELECT‑PsA 1).
건강‑관련 삶의 질은 SF‑36으로 평가하였다. 두 시험 모두에서, 이 약 15 mg을 투여받은 환자들은, 제12주에서 위약에 비해 신체적 구성 요소 요약 점수에서 베이스라인 대비 유의하게 더 큰 개선이 있었다. 아달리무맙에 비해서도 더 큰 개선이 관찰되었다. 정신적 구성 요소 요약 점수와 SF‑36의 8개의 모든 영역(신체 기능, 신체 통증, 활력, 사회적 기능, 신체 역할, 일반 건강, 감정 역할, 및 정신 건강)에서도 위약에 비해 더 큰 개선이 관찰되었다. 베이스라인 대비 개선은 두 시험 모두에서 제56주까지 유지되었다.
두 시험 모두에서, 이 약 15 mg을 투여받은 환자는 위약에 비해 제12주에서 FACIT‑F 점수로 측정한 피로에서 베이스라인 대비 유의하게 큰 개선이 있었다. 베이스라인 대비 개선은 두 시험 모두에서 제56주까지 유지되었다.
두 시험 모두에서, 건선 증상의 자가‑평가(SAPS)로 측정한 환자‑보고 건선 증상은 제16주에서 위약과 아달리무맙에 비해 이 약 15 mg을 투여받은 환자에서 큰 개선이 관찰되었다. 베이스라인 대비 개선은 두 시험 모두에서 제56주까지 유지되었다.
건선성 척추염 환자들 중, 두 시험 모두에서 위약에 비해 이 약 15 mg을 투여받은 환자들이 제24주에서 Bath 강직성 척추염 질병 활성도 지수(BASDAI)와 강직성 척추염 질병 활성도 점수(ASDAS)에서 베이스라인 대비 개선을 보였다. 베이스라인 대비 개선은 두 시험 모두에서 제56주까지 유지되었다.
강직성 척추염
이 약 15 mg 1일 1회 투여의 유효성과 안전성은 Bath 강직성 척추염 질병 활성도 지수(BASDAI)≧4 및 전체 등허리 통증의 환자 평가 점수≧4에 근거하여, 활동성 강직성 척추염이 있는 18세 이상의 환자들을 대상으로 한 두 건의 14주 무작위 배정, 이중‑눈가림, 다기관, 위약‑대조 임상시험에서 평가되었다 (표 15). 두 건의 시험은 최대 2년까지의 공개 라벨 장기 연장을 포함했다.
표 15. 임상시험 요약
|
시험명
|
시험 집단
(명) |
치료군
|
주요 결과 측정
|
|
SELECT-AXIS 1 |
NSAID-IR a,b
bDMARD-naive
(187)
|
이 약 15 mg
위약
|
일차 평가변수:
제14주에서 ASAS40 |
|
제14주에서 주요 이차 평가변수:
ASAS 부분 관해
BASDAI 50
ASDAS-CRP
BASFI
SPARCC MRI 점수 (척추) |
|
SELECT-
AXIS 2 |
bDMARD-IRa,c
(420) |
ㆍ 이 약 15 mg
ㆍ 위약 |
일차 평가변수:
제14주에서 ASAS40 |
|
|
제14주에서 주요 이차 평가변수:
ASDAS-CRP
SPARCC MRI 점수(척추)
BASDAI 50
ASAS20
ASDAS 비활동성 질환
전체 등허리 통증
야간 등허리 통증
ASDAS 낮은 질병 활성도
BASFI(기능)
ASAS 부분 관해
AS 삶의 질
ASAS 건강 지수
BASMI(척추 가동성)
MASES(골근부착부염) |
|
약어: ASAS40 = 국제 척추 관절염 학회 평가≥40% 개선; ASDAS-CRP = 강직성 척추염 질병 활성도 점수 C-반응성 단백질; BASDAI = Bath 강직성 척추염 질병 활성도 지수; BASFI = Bath 강직성 척추염 기능 지수; NSAID = 비스테로이드성 항염증제; SPARCC MRI = 캐나다 척추 관절염 자기공명영상 연구회
a 두 개 이상의 NSAID에 불충분한 반응이 있었거나 NSAID에 불내성이었거나 금기인 환자
b 베이스라인에서, 환자의 약 16%가 병용 csDMARD를 복용하고 있었음.
c 1가지 또는 2가지의 bDMARD에 불충분한 반응을 보였거나 불내성인 환자. |
(1) 임상 반응
두 건의 임상 시험에서, 위약에 비해 이 약 15 mg을 투여받은 유의하게 더 많은 환자들이 제14주에서 ASAS40 반응을 달성했다(표 16, 그림 4 및 5). 유효성 발생 시점은 모든 측정들에 걸쳐 빨랐고 ASAS40은 빠르면 SELECT‑AXIS 1에서 제2주에 SELECT‑AXIS 2에서 제4주에 더 큰 반응이 관찰되었다.
이 약 15 mg 치료한 경우 위약에 비해 개별 ASAS 구성 요소(환자의 질병 활성도 전반적 평가, 전체 등허리 통증 평가, 염증, 기능) 및 제14주에서 BASDAI를 포함한 다른 질병 활성도 측정 면에서 개선되었다(표 17).
이 약 15 mg의 유효성은 성별, 베이스라인 BMI, 강직성 척추염의 증상 기간, 베이스라인 hsCRP, 이전 bDMARD의 사용을 포함해 평가된 하위군과 관계없이 입증되었다.
|
그림 4. SELECT-AXIS 1에서 ASAS40을 달성한 환자의 비율
|
그림 5. SELECT-AXIS 2에서 ASAS40을 달성한 환자의 비율
|
|

|

|
표 16. 임상 반응
|
시험 |
SELECT-AXIS 1
bDMARD-naive |
SELECT-AXIS 2
bDMARD-IR |
|
치료군 |
PBO |
UPA 15 mg |
PBO |
UPA 15 mg |
|
N |
94 |
93 |
209 |
211 |
|
ASAS40 (환자의 %) |
|
제14주 |
25.5 |
51.6a |
18.2 |
44.5a |
|
제52주 |
|
80.2 |
|
73.7 |
|
제104주 |
|
85.9 |
|
81.5 |
|
ASAS20 (환자의 %) |
|
제14주 |
40.4 |
64.5c |
38.3 |
65.4a |
|
제52주 |
|
87.7 |
|
88.7 |
|
제104주 |
|
90.1 |
|
91.1 |
|
ASAS 부분 관해 (환자의 %) |
|
제14주 |
1.1 |
19.4a |
4.3 |
17.5a |
|
제52주 |
|
50.0 |
|
33.5 |
|
제104주 |
|
51.4 |
|
42.9 |
|
BASDAI 50 (환자의 %) |
|
제14주 |
23.4 |
45.2b |
16.7 |
43.1a |
|
제52주 |
|
77.8 |
|
64.9 |
|
제104주 |
|
88.7 |
|
78.6 |
|
ASDAS-CRP (베이스라인 대비 변화) |
|
제14주 |
-0.54 |
-1.45a |
-0.49 |
-1.52a |
|
제52주 |
|
-2.05 |
|
-2.01 |
|
제104주 |
|
-2.10 |
|
-2.23 |
|
ASDAS 비활동성 질환 (환자의 %) |
|
제14주 |
0 |
16.1c |
1.9 |
12.8a |
|
제52주 |
|
46.2 |
|
30.4 |
|
제104주 |
|
45.6 |
|
38.0 |
|
ASDAS 낮은 질병 활성도 (환자의 %)d |
|
제14주 |
10.6 |
49.5c |
10.1 |
44.1a |
|
제52주 |
|
85.9 |
|
65.8 |
|
제104주 |
|
86.8 |
|
71.1 |
|
ASDAS 주요 개선 (환자의 %) |
|
제14주 |
5.3 |
32.3c |
4.8 |
30.3c |
|
제52주 |
|
55.8 |
|
52.7 |
|
제104주 |
|
55.2 |
|
62.0 |
|
hsCRP mg/L (베이스라인 대비 변화) |
|
제14주 |
0.18 |
-8.20c |
0.43 |
-10.90c |
|
제52주 |
|
-7.29 |
|
-9.45 |
|
제104주 |
|
-8.03 |
|
-10.92 |
|
a 다중성-조절 p≤0.001 이 약 vs 위약 비교
b 다중성-조절 p≤0.01 이 약 vs 위약 비교
c 명목 p≤0.001 이 약 vs 위약 비교
d SELECT-AXIS 1는 사후 분석; SELECT-AXIS 2는 다중성-조절 평가변수
이분형 평가변수의 경우, 제14주 결과는 비반응자 대체(SELECT-AXIS 1) 및 다중 대체를 포함한 비반응자 대체(SELECT-AXIS 2)를 토대로 함. 연속형 평가변수의 경우, 제14주 결과는 반복 측정 분석에 대한 혼합 모델을 사용하여 베이스라인 대비 최소 제곱 평균 변화를 토대로 함. 이분형과 연속형 평가변수의 경우, 제52주 및 제104주 결과는 관찰된 자료 그대로를 토대로 함. |
두 건의 시험에서 유효성은 표 16에 제시된 평가변수에 의해 평가된 바와 같이 2년간 유지되었다.
표 17. ASAS 반응의 구성 요소 (베이스라인 대비 평균 변화)
|
시험 |
SELECT-AXIS 1
bDMARD-naive |
SELECT-AXIS 2
bDMARD-IR |
|
치료군 |
PBO |
UPA 15 mg |
PBO |
UPA 15 mg |
|
N |
94 |
93 |
209 |
211 |
|
환자의 질병 활성도 전반적 평가a |
|
제14주 |
-1.31 |
-2.96d |
-1.38 |
-2.97d |
|
제52주 |
|
-4.54 |
|
-4.62 |
|
제104주 |
|
-4.68 |
|
-5.14 |
|
전체 등허리 통증a |
|
제14주 |
-1.68 |
-3.21d |
-1.47 |
-3.00c |
|
제52주 |
|
-4.75 |
|
-4.60 |
|
제104주 |
|
-4.79 |
|
-5.08 |
|
BASFIa |
|
제14주 |
-1.30 |
-2.29c |
-1.09 |
-2.26c |
|
제52주 |
|
-3.71 |
|
-3.68 |
|
제104주 |
|
-3.76 |
|
-4.02 |
|
염증b |
|
제14주 |
-1.90 |
-3.15d |
-1.59 |
-2.94d |
|
제52주 |
|
-4.80 |
|
-4.30 |
|
제104주 |
|
-4.89 |
|
-4.72 |
|
제14주 결과는 반복 측정 분석에 대한 혼합 모델을 사용하여 베이스라인 대비 최소 제곱 평균 변화를 토대로 함; 제52주 및 104주 결과는 관찰된 자료 그대로를 토대로 함.
a 숫자 평가 척도(NRS): 0 = 최고, 10 = 최악
b 아침 강직성 중증도와 기간을 평가하는 BASDAI 질문 5와 6의 평균: 0 = 최고, 10 = 최악
c 다중성-조절 p≤0.001 이 약 vs 위약 비교
d 명목 p≤0.001 이 약 vs 위약 비교 |
(2) 신체 기능 반응 및 건강‑관련 결과
두 건의 시험에서 이 약 15 mg을 투여받은 환자들은 제14주에서 BASFI로 평가한 베이스라인 대비 신체 기능에서 위약에 비해 유의한 개선을 보였다 (표 17).
SELECT‑AXIS 1에서, 이 약 15 mg을 투여받은 환자들은 위약에 비해 제14주에서 ASAS 반응의 전체 등허리 통증 구성 요소 및 야간 등허리 통증으로 평가한 등허리 통증에서 더 큰 개선을 보였다. 전체 및 야간 등허리 통증의 개선은 빠르면 제2주에서 관찰되었다.
SELECT‑AXIS 2에서, 이 약 15 mg을 투여받은 환자들은 위약에 비해 제14주에 전체 등허리 통증 및 야간 등허리 통증에서 유의한 개선을 보였다. 이러한 개선은 빠르면 전체 등허리 통증의 경우 제1주에, 야간 등허리 통증의 경우 제2주에 관찰되었다.
두 건의 시험에서, 목, 등, 또는 고관절 통증의 전반적 수준의 개선이 BASDAI 질문 2와 말초 통증과 부종(목, 등 또는 고관절 외의 관절에서 전반적 통증에 대해 BASDAI 질문 3으로 평가)에서 입증되었다.
두 건의 시험에서, 이 약 15 mg을 투여받은 환자들은 BASFI 및 통증 개선이 2년까지 유지되었다.
SELECT‑AXIS 2에서, 이 약 15 mg을 투여받은 환자들은 위약에 비해 제14주에 ASQoL 및 ASAS 건강 지수로 각각 측정한 건강 관련 삶의 질 및 전반적 건강에서 유의한 개선을 보였다. SELECT‑AXIS 1에서도 제14주에 위약에 비해 ASQoL 및 ASAS 건강 지수의 개선을 보였다. ASQoL 및 ASAS 건강 지수의 개선은 2년까지 유지되었다.
SELECT‑AXIS 2에서, 이 약 15 mg을 투여받은 환자들은 위약에 비해 제14주에 FACIT‑F 점수로 측정한 피로에서 베이스라인 대비 더 큰 개선을 경험했다. FACIT‑F의 개선은 2년까지 유지되었다.
(3) 골근부착부염
SELECT‑AXIS 2에서, 이 약 15 mg을 투여받은 기존의 골근부착부염 환자들은 위약에 비해 제14주에 MASES의 베이스라인 대비 변화로 측정했을 때 골근부착부염이 유의하게 개선되었다. SELECT‑AXIS 1에서도 위약에 비해 제14주에 MASES의 개선을 보였다. 골근부착부염의 개선은 2년까지 유지되었다.
(4) 척추 가동성
SELECT‑AXIS 2에서, 이 약 15 mg을 투여받은 환자들은 위약에 비해 Bath 강직성 척추염 계측 지수(BASMI)의 베이스라인 대비 변화로 측정했을 때 척추 가동성이 유의하게 개선되었다. SELECT‑AXIS 1에서도 위약에 비해 제14주에 BASMI의 개선을 보였다. BASMI의 개선은 2년까지 유지되었다.
(5) 염증의 객관적 측정
염증의 징후는 MRI로 평가되었으며, 척추 및 천장 관절에 대한 SPARCC 점수의 베이스라인 대비 변화로 표현되었다. 두 건의 시험 제14주에서, 이 약 15 mg을 투여받은 환자에서 위약에 비해 척추 염증 징후의 유의한 개선이 관찰되었다. 또한, 이 약 15 mg을 투여받은 환자들은 위약에 비해 천장 관절 염증 징후의 큰 개선을 입증하였다. MRI로 평가한 염증 개선은 2년까지 유지되었다.
비방사선학적 축성 척추관절염
이 약 15 mg 1일 1회 투여의 유효성과 안전성은 Bath 강직성 척추염 질병 활성도 지수(BASDAI)≧4 및 전체 등허리 통증의 환자 평가 점수≧4에 근거하여, 활동성 비방사선학적 축성 척추관절염이 있는 18세 이상의 환자들을 대상으로 한 52주 무작위 배정, 이중‑눈가림, 다기관, 위약‑대조 임상시험에서 평가되었다(표 18). 시험은 최대 2년까지의 공개 라벨 장기 연장을 포함했다.
표 18. 임상시험 요약
|
시험명
|
시험 집단
(명)a |
치료군
|
주요 결과 측정
|
|
SELECT-
AXIS 2 |
NSAID-IRb,c
(314) |
이 약 15 mg
위약 |
일차 평가변수:
제14주에서 ASAS40 |
|
제14주에서 주요 이차 평가변수:
ASDAS-CRP
SPARCC MRI 점수(천장 관절)
BASDAI 50
ASDAS 비활동성 질환
전체 등허리 통증
야간 등허리 통증
ASDAS 낮은 질병 활성도
ASAS 부분 관해
BASFI(기능)
AS 삶의 질
ASAS 건강 지수
ASAS20
BASMI(척추 가동성)
MASES(골근부착부염) |
|
a 환자는 C-반응성 단백질 상승(정상상한치 초과로 정의) 및/또는 자기공명영상(MRI) 검사상 천장 관절염으로 확인되는 객관적 염증 징후가 있어야 하며 천장 관절의 구조적 손상에 대한 확정적인 방사선학적 증거가 없어야 한다.
b 두 개 이상의 NSAID에 불충분한 반응이 있었거나 NSAID에 불내성이었거나 금기인 환자
c 베이스라인에서, 환자 중 29.1%가 csDMARD를 병용 투여 중이었고, 32.9%가 bDMARD 요법에 불충분한 반응을 보였거나 불내성이 있었다. |
(1) 임상 반응
SELECT‑AXIS 2에서, 위약에 비해 이 약 15mg을 투여받은 환자에서 유의하게 더 많은 비율이 제14주에 ASAS40 반응을 달성했다. (표 19, 그림 6). 유효성 발생 시점은 모든 측정들에 걸쳐 빨랐고 ASAS40은 빠르면 제2주에 더 큰 반응이 관찰되었다.
이 약 15 mg으로 치료한 경우 위약에 비해 개별 ASAS 구성 요소(환자의 질병 활성도 전반적 평가, 전체 등허리 통증 평가, 염증, 기능) 및 제14주에서 BASDAI를 포함한 다른 질병 활성도 측정 면에서 개선되었다.
이 약 15 mg의 유효성은 성별, 베이스라인 BMI, 비방사선학적 축성 척추관절염의 증상 기간, 베이스라인 hsCRP, 자기공명영상 검사상 천장 관절염 및 이전 bDMARD 사용을 포함하여 하위군 전반에서 입증되었다.
그림 6. ASAS40을 달성한 환자의 비율

표 19. 임상 반응
|
|
위약
(N=157) |
UPA 15 mg
(N=156) |
|
ASAS40 (%) |
|
제14주 |
22.5 |
44.9a |
|
제52주 |
42.7 |
62.8c |
|
ASAS20 (%) |
|
제14주 |
43.8 |
66.7a |
|
제52주 |
52.2 |
68.6d |
|
ASAS 부분 관해 (%) |
|
제14주 |
7.6 |
18.6b |
|
제52주 |
17.8 |
35.3c |
|
BASDAI 50 (%) |
|
제14주 |
22.1 |
42.3a |
|
제52주 |
40.1 |
55.8d |
|
ASDAS-CRP (베이스라인 대비 변화) |
|
제14주 |
-0.71 |
-1.36a |
|
제52주 |
-1.23 |
-1.80c |
|
ASDAS 비활동성 질환 (%) |
|
제14주 |
5.2 |
14.1b |
|
제52주 |
10.8 |
32.7c |
|
ASDAS 낮은 질병 활성도 (%) |
|
제14주 |
18.3 |
42.3a |
|
제52주 |
32.5 |
55.8c |
|
ASDAS 주요 개선 (%) |
|
제14주 |
8.5 |
23.7c |
|
제52주 |
20.4 |
37.8c |
|
hsCRP mg/L (베이스라인 대비 변화) |
|
제14주 |
-1.45 |
-6.50c |
|
제52주 |
-2.62 |
-6.91c |
|
a 다중성-조절 p≤0.001 이 약 vs 위약 비교
b 다중성-조절 p≤0.01 이 약 vs 위약 비교
c 명목 p≤0.001 이 약 vs 위약 비교
d 명목 p≤0.01 이 약 vs 위약 비교
이분형 평가변수의 경우, 결과는 다중 대체를 포함한 비반응자 대체를 토대로 함. 연속형 평가변수의 경우, 결과는 반복 측정 분석을 위한 혼합 모델을 사용한 베이스라인 대비 최소 제곱 평균 변화를 토대로 함. |
유효성은 표 19에 제시된 평가변수에 의해 평가된 바와 같이 2년간 유지되었다.
표 20. ASAS 반응의 구성 요소(베이스라인 대비 평균 변화)
|
치료군 |
위약
(N=157) |
UPA 15 mg
(N=156) |
|
질병 활성도에 대한 환자의 종합적 평가a |
|
제14주 |
-1.87 |
-2.89d |
|
제52주 |
-3.30 |
-4.27d |
|
전체 등허리 통증a |
|
제14주 |
-2.00 |
-2.91c |
|
제52주 |
-3.46 |
-4.22e |
|
BASFIa |
|
제14주 |
-1.47 |
-2.61c |
|
제52주 |
-2.74 |
-3.71d |
|
염증b |
|
제14주 |
-1.93 |
-3.05d |
|
제52주 |
-3.38 |
-4.03e |
|
결과는 반복 측정 분석을 위한 혼합 모델을 사용한 베이스라인 대비 최소 제곱 평균 변화를 토대로 함.
a 숫자평가척도(NRS): 0 = 최고, 10 = 최악
b 아침 강직성 중증도와 기간을 평가하는 BASDAI 질문 5와 6의 평균: 0 = 최고, 10 = 최악
c 다중성 조절 p≤0.001 이 약 vs 위약 비교
d 명목 p≤0.001 이 약 vs 위약 비교
e 명목 p≤0.05 이 약 vs 위약 비교 |
(2) 신체 기능 반응 및 건강‑관련 결과
이 약 15 mg을 투여받은 환자들은 제14주에서 BASFI로 평가한 베이스라인 대비 신체 기능에서 위약에 비해 유의한 개선을 보였다 (표 20).
이 약 15 mg을 투여받은 환자들은 위약에 비해 제14주에서 전체 등허리 통증 및 야간 등허리 통증에서 유의한 개선을 보였다. 이러한 개선은 빠르면 전체 등허리 통증의 경우 제2주에서, 야간 등허리 통증의 경우 제4주에서 관찰되었다.
이 약 15 mg을 투여받은 환자들은 위약에 비해 제14주에서 강직성 척추염 삶의 질(ASQoL) 및 ASAS 건강 지수로 각각 측정한 건강 관련 삶의 질 및 전반적 건강에서 유의한 개선을 보였다.
이 약 15 mg을 투여받은 환자들은 위약에 비해 제14주에서 FACIT‑F 점수로 측정한 피로에서 베이스라인 대비 더 큰 개선을 경험했다.
BASFI, 전체 등허리 통증 및 야간 등허리 통증, ASQoL, ASAS 건강 지수, 및 FACIT‑F의 개선은 2년까지 유지되었다.
(3) 골근부착부염
이 약 15 mg을 투여받은 기존의 골근부착부염 환자들은 위약에 비해 14주차에 Maastricht 강직성 척추염 골근부착부염 점수(MASES)의 베이스라인 대비 변화로 측정했을 때 골근부착부염이 더 크게 개선된 것으로 나타났다. 골근부착부염의 개선은 2년까지 유지되었다.
(4) 염증의 객관적 측정
염증의 징후는 MRI로 평가되었으며 SPARCC 점수의 베이스라인 대비 변화로 표현되었다. 이 약 15 mg을 투여받은 환자에서 천장 관절 및 척추 모두 염증 징후 개선이 관찰되었다. 제14주에서, 이 약 15 mg을 투여받은 환자들은 위약에 비해 천장 관절에서 염증 징후의 유의한 개선이 관찰되었다. MRI로 평가한 염증 개선은 2년까지 유지되었다.
아토피 피부염
이 약 15 mg 및 30 mg 1일 1회 투여의 유효성과 안전성은 총 2,782명(12세 이상)의 환자에서의 세 건의 3상, 무작위 배정, 이중‑눈가림, 다기관 임상시험에서 평가되었다 (MEASURE UP 1, MEASURE UP 2 및 AD UP)(표 21). 이 약은 국소 약물로 적절히 조절되지 않는 중등증에서 중증 아토피 피부염(AD)이 있는 12세 이상의 청소년 542명(1차 분석 344명) 및 18세 이상의 성인 2,240명에서 평가되었다. 베이스라인에서, 환자들은 다음이 모두 있어야 했다: 0에서 4로 증가하는 중증도 척도로 AD를 전반적으로 평가하는(홍반, 경화/구진형성 및 삼출/가피) 연구자 종합 평가(vIGA‑AD) 점수≧3, 습진 부위 및 중증도 지수(EASI) 점수≧16 (4개의 다른 신체 부위에 걸쳐 홍반, 부종/구진형성, 긁힘 및 태선화의 정도와 중등도를 평가하는 종합 점수), 최소 체표면적(BSA) 침범≧10%, 그리고 주간 평균 최악의 소양증 평가 척도(NRS) ≧4.
세 임상시험 모두에서, 환자는 16주간 이 약 15 mg 또는 30 mg, 또는 상응하는 위약을 1일 1회 투여 받았다. AD UP 시험에서, 환자들은 병용 국소 코르티코스테로이드(TCS) 또한 투여받았다. 이중‑눈가림 기간 완료 후, 원래 이 약으로 무작위 배정된 환자들은 제136주까지 동일한 용량을 계속해서 투여받았다. 위약군 환자들은 제136주까지 이 약 15 mg 또는 30 mg을 투여받도록 1:1 비율로 재무작위 배정되었다.
표 21. 임상시험 요약
|
시험명 |
치료군 |
주요 결과 측정 |
|
MEASURE UP 1
및
MEASURE UP 2 |
이 약 15 mg
이 약 30 mg
위약 |
제16주에서 공동 일차 평가변수:
EASI 75
vIGA-AD 0/1
주요 이차 평가변수 (따로 명시되지 않은 한 제16주에서)
EASI 90/100
제2주에서 EASI 75
EASI의 %변화
SCORAD의 %변화
제1주 및 제16주에서 최악 소양증 NRS 개선≥ 4
제2일(30 mg), 제3일(15 mg)에서 최악 소양증 NRS 개선≥ 4
최악 소양증 NRS의 %변화
이중-눈가림 기간 동안 EASI 상승≥ 6.6점(급성 악화[flare])
ADerm-SS TSS-7 개선≥ 28
ADerm-SS 피부 통증 개선≥ 4
ADerm-IS 수면 개선≥ 12
ADerm-IS 정서적 상태 개선≥ 11
ADerm-IS 일일 활동 개선≥ 14
POEM 개선 ≥ 4
HADS-A< 8 및 HADS-D< 8
DLQI 0/1
DLQI 개선≥ 4 |
|
AD UP |
이 약 15 mg
이 약 30 mg
위약 |
제16주에서 공동 일차 평가변수:
EASI 75
vIGA-AD 0/1
주요 이차 평가변수(따로 명시되지 않은 한 제16주에서)
제2주와 제4주에서 EASI 75
제4주와 제16주에서 EASI 90
EASI 100 (30 mg)
EASI의 %변화
제1주, 제4주, 제16주에서 최악 소양증 NRS 개선≥ 4
최악 소양증 NRS의 % 변화 |
|
약어: SCORAD = 아토피 피부염 점수, POEM = 환자 중심 습진 측정, DLQI = 피부과 삶의 질 지수, HADS = 병원 불안 및 우울증 척도, ADerm-SS = 아토피 피부염 증상 척도, ADerm-IS = 아토피 피부염 영향 척도 |
(1) 임상 반응
단독요법 임상시험 (MEASURE UP 1 및 MEASURE UP 2)
MEASURE UP 시험에서, 이 약 15 mg 또는 30 mg을 투여받은 환자에서 위약에 비해 유의하게 더 높은 비율이 제16주에서 vIGA‑AD 0 또는 1 반응을 달성하였고 EASI 75를 달성하였다(표 22). 위약에 비해 피부 병변 소실의 빠른 개선(제2주에서 EASI 75로 정의)이 두 용량 모두에서 달성되었다(p < 0.001).
이 약 15 mg 또는 30 mg으로 투여받은 환자에서 위약에 비해 유의하게 높은 비율이 제16주에서 가려움의 임상적으로 의미 있는 개선(최악 소양증 NRS에서 ≧ 4점 감소로 정의)을 달성하였다. 두 용량 모두에서 위약에 비해 가려움의 빠른 개선(제1주에서 최악 소양증 NRS에서 ≧ 4점 감소로 정의)을 달성하였으며(p < 0.001), 그 차이는 빠르면 이 약 30 mg을 시작한 후 1일(제2일, p < 0.001)과 이 약 15 mg을 시작한 후 2일(제3일, p < 0.001)에 관찰되었다.
치료 초기 16주 동안, 이 약 15 mg 또는 30 mg으로 투여받은 환자에서 위약에 비해, 질환의 임상적으로 의미 있는 악화(EASI≧ 6.6 증가)로 정의된, 질병 급성 악화(flare)를 경험한 비율이 유의하게 적었다 (p < 0.001).
그림 7과 그림 8은 최대 16주까지 EASI 75 반응에 도달하는 환자의 비율과 최악 소양증 NRS에서 ≧ 4점 개선이 있는 환자의 비율을 각각 나타내었다.
표 22. 제16주에서 이 약 단독요법 시험의 유효성 결과
|
시험 |
MEASURE UP 1 |
MEASURE UP 2 |
|
치료군 |
PBO |
UPA
15 mg |
UPA
30 mg |
PBO |
UPA
15 mg |
UPA
30 mg |
|
무작위 배정된 환자 수 |
281 |
281 |
285 |
278 |
276 |
282 |
|
반응자 % |
|
vIGA-AD
0/1a,b |
8.4% |
48.1%f |
62.0%f |
4.7% |
38.8%f |
52.0%f |
|
EASI 75a |
16.3% |
69.6%f |
79.7%f |
13.3% |
60.1%f |
72.9%f |
|
EASI 90a |
8.1% |
53.1%f |
65.8%f |
5.4% |
42.4%f |
58.5%f |
|
EASI 100a |
1.8 % |
16.7%f |
27.0%f |
0.7% |
14.1%f |
18.8%f |
|
최악 소양증 NRSc
(≥ 4점 개선) |
11.8%
N=272 |
52.2%f
N=274 |
60.0%f
N=280 |
9.1%
N=274 |
41.9%f
N=270 |
59.6%f
N=280 |
|
최악 소양증 NRS 0 또는 1d |
5.5%
N=275 |
36.6%g
N=279 |
47.5%g
N=282 |
4.3%
N=277 |
26.9%g
N=275 |
44.1%g
N=281 |
|
평균 백분율 변화(SE)e |
|
EASI |
-40.7%
(2.28) |
-80.2%f
(1.91) |
-87.7%f
(1.87) |
-34.5%
(2.59) |
-74.1%f
(2.20) |
-84.7%f
(2.18) |
|
SCORAD |
-32.7%
(2.33) |
-65.7%f
(1.78) |
-73.1%f
(1.73) |
-28.4%
(2.50) |
-57.9%f
(2.01) |
-68.4%f
(2.04) |
|
최악 소양증 NRS |
-26.1%
(5.41) |
-62.8%f
(4.49) |
-72.0%f
(4.41) |
-17.0%
(2.73) |
-51.2%f
(2.34) |
-66.5%f
(2.31) |
|
a 무작위 배정된 시험대상자 수를 토대로 함
b 반응자는 vIGA-AD 0 또는 1 (“깨끗” 또는 “거의 깨끗”)이며 0-4 순서 척도에서 ≥ 2점 감소가 있는 환자로 정의함
c N = 베이스라인 최악 소양증 NRS가 ≥ 4인 환자 수
d N =베이스라인 최악 소양증 NRS가 > 1인 환자 수
e % 변화 = 베이스라인 대비 최소 제곱 평균 백분율 변화
f 다중성-조절 p < 0.001 이 약 vs 위약 비교
g 명목 p<0.001 이 약 vs 위약 비교 |
그림 7. 단독요법 시험에서 EASI 75 반응을 달성한 환자의 비율
|
MEASURE UP 1

|
MEASURE UP 2

|
그림 8. 단독요법 시험에서 최악 소양증 NRS≧ 4점인 환자의 비율
|
MEASURE UP 1

|
MEASURE UP 2

|
두 시험 모두에서, 이 약 15 mg 또는 30 mg을 투여받은 환자에서 제16주 결과는 제52주까지 계속해서 관찰되었다.
두 시험 모두에서, 하위군(체중, 나이, 성별, 인종, 및 면역억제제를 사용한 이전의 전신 치료) 내 치료 효과는 전체 시험 집단의 결과와 일치하였다.
병용 국소코르티코스테로이드(TCS) 시험(AD UP)
AD UP에서, 이 약 15 mg + TCS 또는 30 mg + TCS를 투여받은 환자에서 위약 + TCS를 투여받은 환자에 비해 유의하게 높은 비율이 제16주에 vIGA ‑AD 0 또는 1 반응을 달성하였고 EASI 75를 달성하였다(표 23). 위약 + TCS에 비해 피부 병변 소실의 빠른 개선(제2주에서 EASI 75로 정의함)이 두 용량 모두에서 달성되었다(p < 0.001). 또한, 제4주에서 두 용량 모두에서 위약 + TCS에 비해 더 높은 EASI 90 반응 비율을 달성하였다(p < 0.001).
이 약 15 mg + TCS 또는 30 mg + TCS를 투여받은 환자에서 위약 + TCS를 투여받은 환자에 비해 유의하게 더 높은 비율이 제16주에서 가려움의 임상적으로 의미 있는 개선(최악 소양증 NRS에서 ≧ 4점 감소로 정의함)에 도달하였다. 위약 + TCS에 비해 가려움의 빠른 개선 (제1주에서 최악 소양증 NRS의 ≧ 4점 감소로 정의함)이 두 용량 모두에서 달성되었다(p < 0.001).
그림 9와 그림 10은 최대 16주까지 EASI 75 반응을 달성한 환자의 비율과 최악 소양증 NRS에서 ≧ 4점 개선이 있는 환자의 비율을 각각 나타낸다.
표 23. 제16주에서 이 약 + 병용 TCS의 유효성 결과
|
치료군 |
위약 + TCS |
UPA 15 mg + TCS |
UPA 30 mg + TCS |
|
무작위 배정된 시험대상자 수 |
304 |
300 |
297 |
|
반응자 % |
|
vIGA-AD 0/1a,b |
10.9% |
39.6%f |
58.6%f |
|
EASI 75a |
26.4% |
64.6%f |
77.1%f |
|
EASI 90a |
13.2% |
42.8%f |
63.1%f |
|
EASI 100a |
1.3% |
12.0%g |
22.6%f |
|
최악 소양증 NRSc
(≥ 4점 개선) |
15.0%
N=294 |
51.7%f
N=288 |
63.9%f
N=291 |
|
최악 소양증 NRS 0 또는 1d |
7.3%
N=300 |
33.1%g
N=296 |
43.0%g
N=293 |
|
평균 백분율 변화(SE)e |
|
EASI |
-45.9% (2.16) |
-78.0%f (1.98) |
-87.3%f (1.98) |
|
SCORAD |
-33.6% (1.90) |
-61.2%g (1.70) |
-71.0%g (1.71) |
|
최악 소양증 NRS |
-25.1% (3.35) |
-58.1%f (3.11) |
-66.9%f (3.12) |
|
a 무작위 배정된 시험대상자 수를 토대로 함
b 반응자는 vIGA-AD 0 또는 1(“깨끗” 또는 “거의 깨끗”)이며 0-4순서 척도에서 ≥ 2점 감소가 있는 환자로 정의
c N = 베이스라인 최악 소양증 NRS가 ≥ 4인 환자 수
d N = 베이스라인 최악 소양증 NRS가 > 1인 환자 수
e %변화 = 베이스라인 대비 최소 제곱 평균 백분율 변화
f 다중성-조절 p < 0.001 이 약 + TCS vs 위약 + TCS 비교
g 명목 p <0.001 이 약 + TCS vs 위약 + TCS 비교 |
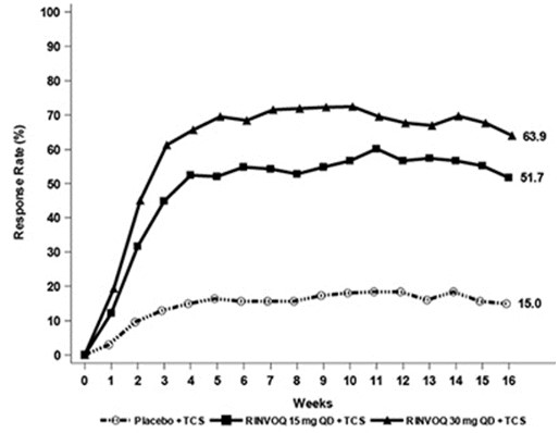
그림 9. AD UP 시험에서 EASI 75 반응에 도달한 환자 비율

그림 10. AD UP 시험에서 최악 소양증 NRS의 ≧ 4점 개선이 있는 환자의 비율

AD UP에서 하위군(체중, 나이, 성별, 인종, 및 면역억제제를 사용한 이전의 전신 치료) 내 치료 효과는 전체 시험 집단의 결과와 일치하였다.
이 약 15 mg 또는 30 mg을 투여받은 시험대상자(평균: 각각 33.5일과 47.5일)는 위약군(평균: 7.9일)에 비해 16주 기간 동안 동시 EASI 75 반응으로 TCS 사용이 없는 날이 유의하게 더 많았다.
이 약 15 mg 또는 30 mg을 투여받은 시험대상자에서 제16주의 결과는 제52주까지 계속해서 관찰되었다.
(2) 삶의 질/환자‑보고 결과
MEASURE UP 시험에서, 이 약 15 mg 또는 30 mg을 투여받은 시험대상자에서 위약에 비해 유의하게 높은 비율이 제16주에서 AD 증상과 건강 관련 삶의 질에 대한 AD의 영향에서 임상적으로 의미 있는 감소를 보고하였다(표 24). 이 약을 투여받은 환자에서 위약에 비해 유의하게 높은 비율이 제16주에서 ADerm ‑SS TSS‑7 및 ADerm ‑SS 피부 통증으로 측정한 AD 증상 중증도에서 임상적으로 의미 있는 감소를 달성하였다. 이 약을 투여받은 환자에서 위약에 비해 제16주에서 ADerm ‑IS 영역 점수로 측정한 수면, 일상 활동 및 정서적 상태에 대해 환자가 보고한 AD의 영향에서 임상적으로 의미 있는 감소를 달성하였다. 이와 유사하게, 제16주에서 위약에 비해, 이 약을 투여받은 환자의 더 높은 비율이 POEM과 DLQI로 측정한 AD 증상 빈도와 건강 관련 삶의 질에서 임상적으로 의미있는 개선이 있었다.
HADS 점수로 측정한 불안과 우울 증상은 유의하게 감소하였다; 베이스라인 HADS ‑불안 또는 HADS ‑우울 하위척도 점수가 ≧ 8(불안 또는 우울의 컷오프 수치)인 환자에서, 이 약 15 mg 또는 30 mg군에서 위약에 비해 더 높은 비율의 환자들이 제16주에서 HADS‑불안 및 HADS‑우울 점수 < 8에 도달하였다(표 24).
표 24. 제16주에서 이 약 단독요법 시험에서의 환자‑보고 결과
|
시험 |
MEASURE UP 1 |
MEASURE UP 2 |
|
치료군 |
PBO |
UPA
15 mg |
UPA
30 mg |
PBO |
UPA
15 mg |
UPA
30 mg |
|
무작위 배정된 시험대상자 수 |
281 |
281 |
285 |
278 |
276 |
282 |
|
반응자 % |
|
ADerm-SS TSS-7
(≥ 28점 개선) a,b |
15.0%
N=226 |
53.6%h
N=233 |
67.9%h
N=246 |
12.7%
N=244 |
53.0%h
N=230 |
66.2%h
N=234 |
|
ADerm-SS 피부 통증
(≥ 4점 개선)a |
15.0%
N=233 |
53.6% h
N=237 |
63.5%h
N=249 |
13.4%
N=247 |
49.4%h
N=237 |
65.1%h
N=238 |
|
ADerm-IS 수면
(≥ 12점 개선) a,c |
13.2%
N=220 |
55.0%h
N=218 |
66.1%h
N=218 |
12.4%
N=233 |
50.2%h
N=219 |
62.3%h
N=228 |
|
ADerm-IS 일상 활동
(≥ 14점 개선)a,d |
20.3%
N=197 |
65.0%h
N=203 |
73.2%h
N=205 |
18.9%
N=227 |
57.0%h
N=207 |
69.5%h
N=223 |
|
ADerm-IS 감정 상태
(≥ 11점 개선) a,e |
19.8%
N=212 |
62.6%h
N=227 |
72.6%h
N=226 |
16.7%
N=234 |
57.0%h
N=228 |
71.5%h
N=228 |
|
DLQI
(DLQI 0/1)f |
4.4%
N=252 |
30.3%h
N=258 |
41.5%h
N=261 |
4.7%
N=257 |
23.8%h
N=252 |
37.9%h
N=256 |
|
DLQI
(≥ 4점 개선) a |
29.0%
N=250 |
75.4%h
N=254 |
82.0%h
N=256 |
28.4%
N=250 |
71.7%h
N=251 |
77.6%h
N=251 |
|
POEM
(≥ 4점 개선) a |
22.8%
N=276 |
75.0%h
N=278 |
81.4%h
N=280 |
28.7%
N=268 |
70.9%h
N=268 |
83.5%h
N=269 |
|
HADS
(HADS-A < 8
및 HADS-D < 8) g |
14.3%
N=126 |
45.5%h
N=145 |
49.2%h
N=144 |
11.4%
N=140 |
46.0%h
N=137 |
56.1%h
N=146 |
|
지정된 역치 값은 최소 임상적으로 중요한 차이(MCID)에 해당하며 반응을 측정하는 데 사용됨.
a N = 베이스라인 점수가 MCID 이상인 환자 수.
b ADerm-SS TSS-7은 자는 동안 가려움, 깨어있는 동안 가려움, 피부 통증, 피부 균열, 피부 균열로 인한 통증, 건성 피부, 및 AD로 인한 피부 벗겨짐을 평가함.
c ADerm-IS 수면은 AD로 인한 잠들기 어려움, 수면 영향 및 밤에 깨는 것을 평가함.
d ADerm-IS 일상 활동은 가정 활동, 신체 활동, 사회 활동 및 집중에 대한 AD의 영향을 평가함.
e ADerm-IS 정서적 상태는 AD로 인한 자의식, 당혹감 및 슬픔을 평가함.
f N = 베이스라인 DLQI 점수가 > 1인 환자 수.
g N = 베이스라인 HADS-A 또는 HADS-D ≥ 8인 환자 수.
h 다중성-조절 p < 0.001 이 약 vs 위약 비교. |
청소년 집단
중등도에서 중증 아토피 피부염이 있는 12~17세 청소년 총 542명이 세 건의 3상 시험 전반에 걸쳐 무작위 배정되었으며, 1차 분석은 이 중 344명에서 평가되었다. 1차 분석에 해당하는 청소년은 단독요법으로 또는 국소 코르티코스테로이드와 병용으로 이 약 15 mg (N=114) 또는 30 mg (N=114) 또는 상응하는 위약(N=116)을 투여받도록 무작위 배정되었다. 유효성은 청소년과 성인에서 일관되었다(표 25). 청소년에서 이상반응 특성은 일반적으로 성인에서와 유사하였다. 체중이 40 kg 미만인 청소년과 12세 미만의 아토피 피부염 환자에서 이 약의 안전성과 유효성은 성립되지 않았다.
표 25. 제16주에서 청소년에서의 이 약의 유효성 결과
|
시험 |
MEASURE UP 1 |
MEASURE UP 2 |
AD UP |
|
치료군 |
PBO |
UPA
15 mg |
UPA
30 mg |
PBO |
UPA
15 mg |
UPA
30 mg |
PBO +TCS |
UPA
15 mg +
TCS |
UPA
30 mg +
TCS |
|
무작위 배정된 청소년 수 |
40 |
42 |
42 |
36 |
33 |
35 |
40 |
39 |
37 |
|
반응자 % |
|
vIGA-AD 0/1 a,b |
7.5% |
38.1% |
69.0% |
2.8% |
42.4% |
62.5% |
7.5% |
30.8% |
64.9% |
|
EASI 75a |
8.3% |
71.4% |
83.3% |
13.9% |
66.7% |
74.5% |
30.0% |
56.4% |
75.7% |
|
최악 소양증NRSc
(≥ 4점 개선) |
15.4%
N=39 |
45.0%
N=40 |
54.8%
N=42 |
2.8%
N=36 |
33.3%
N=30 |
50.0%
N=34 |
13.2%
N=38 |
41.7%
N=36 |
54.5%
N=33 |
|
a 무작위 배정된 시험대상자 수를 토대로 함
b 반응자는 vIGA-AD 0 또는 1 (“깨끗” 또는 “거의 깨끗”)이며 0-4 순서 척도에서 ≥ 2 점 감소가 있는 환자로 정의
c N = 베이스라인 최악 소양증 NRS가 ≥ 4인 환자 수 |
이 약 15 mg 또는 30 mg을 투여받은 청소년에서 제16주의 결과가 제76주까지 유지되었다.
궤양성 대장염
이 약의 유효성과 안전성은 세 건의 3상 다기관, 이중‑눈가림, 위약‑대조 임상시험에서 평가되었다: 두 건의 동일설계의 유도요법 시험 UC‑1 및 UC‑2와 유지요법 시험 UC‑3. 또한, 이 약의 유효성과 안전성은 장기 연장 시험인 UC‑4에서 평가되었다.
질병의 활성도는 수정 Mayo점수(adapted Mayo score, aMS, 의사의 전반적 평가를 제외한 Mayo점수 시스템)를 기반으로 하였으며, 범위는 0에서 9까지로, 각각 0(정상)에서 3(매우 중증)으로 점수가 매겨진 3개의 하위 점수가 있었다. : 배변빈도 하위점수(frequency subscore, SFS), 직장출혈 하위점수(rectal bleeding subscore, RBS)와 내시경 결과 하위점수(centrally‑reviewed endoscopy subscore, ES).
(1) 유도요법 임상시험(UC‑1 과 UC‑2)
UC‑1과 UC‑2 연구에서 8주 동안 환자 988명(각각 473명 및 515명)은 2:1의 투여군 할당 비율로 이 약 1일 1회 45mg 또는 위약으로 무작위 배정되어 유효성 분석에 포함되었다. 모든 등록된 환자들은 ES 2 또는 3점과 aMS 5점에서 9점으로 정의되는 중등증에서 중증의 활동성 궤양성 대장염 환자들로 이전의 보편적 치료(코르티코스테로이드 또는 면역억제제 등의 치료) 및/또는 생물학적제제 치료에 대한 부적절한 반응, 반응의 손실 또는 불내성을 포함한 이전 치료 실패를 보였다. 최소 1회의 이전 생물학적제제 치료 실패(이전 생물학적제제 실패)를 보인 환자는 각 52%(246/473)와 51%(262/515)가 포함되었다. 최소 1회의 생물학적제제를 제외한 이전 치료에 실패한 환자(이전 생물학적 제제 실패 경험 없음)는 각 48%(227/473) 및 49%(253/515)가 포함되었다.
UC‑1과 UC‑2의 베이스라인에서는 환자의 39%와 37%가 코르티코스테로이드를, 환자의 1.1%와 0.8%가 면역조절제를, 68%와 69%가 아미노살리실레이트를 투여 받았다. 환자의 질병 활성도는 환자의 61%와 60%에서 중등증(aMS ≦7)이었고, 환자의 39%와 40%에서 중증(aMS >7)이었다.
임상시험 동안 궤양성 대장염 환자들에게 생물학적 요법, 아자티오프린, 6‑메르캅토푸린, 정맥 주사 또는 직장 코르티코스테로이드의 병용은 허용되지 않았다.
일차유효성 평가변수는 8주차에서의 aMS임상적 관해(SFS ≦ 1 이고 베이스라인보다 크지 않음, RBS = 0, 점막의 불안정성 없이 ES ≦ 1)였다. 일차 유효성 평가 결과 및 주요 이차 유효성 평가 결과는 표26과 같다.
표 26. 유도요법 임상시험 UC‑1과 UC‑2에서 제8주차에 일차 및 주요 이차 유효성 평가변수를 충족하는 환자의 비율
|
|
UC-1 (U-ACHIEVE) |
UC-2 (U-ACCOMPLISH) |
|
평가변수 |
PBO
N=154 |
UPA
45 mg
N=319 |
치료 차이
(95% CI) |
PBO
N=174 |
UPA
45 mg
N=341 |
치료 차이
(95% CI) |
|
질병 활성도와 궤양성 대장염 증상 |
|
임상적 관해 a |
4.8% |
26.1% |
21.6%*
(15.8, 27.4) |
4.1% |
33.5% |
29.0%*
(23.2, 34.7) |
|
이전 생물학적제제 실패+ |
0.4% |
17.9% |
|
2.4% |
29.6% |
|
|
이전 생물학적 제제 실패 경험 없음+ |
9.2% |
35.2% |
|
5.9% |
37.5% |
|
|
임상반응 b |
27.3% |
72.6% |
46.3%*
(38.4, 54.2) |
25.4% |
74.5% |
49.4%*
(41.7, 57.1) |
|
이전 생물학적제제 실패+ |
12.8% |
64.4% |
|
19.3% |
69.4% |
|
|
이전 생물학적 제제 실패 경험 없음+ |
42.1% |
81.8% |
|
31.8% |
79.8% |
|
|
내시경적-조직학적 평가 |
|
내시경적 개선c |
7.4% |
36.3% |
29.3%*
(22.6, 35.9) |
8.3% |
44.0% |
35.1%*
(28.6, 41.6) |
|
이전 생물학적제제 실패+ |
1.7% |
27.0% |
|
4.8% |
37.1% |
|
|
이전 생물학적 제제 실패 경험 없음+ |
13.2% |
46.8% |
|
12.0% |
51.2% |
|
|
조직학적 개선d |
22.5% |
55.0% |
32.2%*
(23.8, 40.7) |
24.5% |
62.2% |
37.9%*
(29.8, 46.1) |
|
이전 생물학적제제 실패+ |
17.5% |
51.0% |
|
20.3% |
58.3% |
|
|
이전 생물학적 제제 실패 경험 없음+ |
27.6% |
59.4% |
|
28.8% |
66.1% |
|
|
조직학적-내시경적 점막 개선e |
6.6% |
30.1% |
23.7%*
(17.5, 30.0) |
5.9% |
36.7% |
30.1%*
(24.1, 36.2) |
|
이전 생물학적제제 실패+ |
1.4% |
22.7% |
|
4.6% |
30.7% |
|
|
이전 생물학적 제제 실패 경험 없음+ |
11.8% |
38.2% |
|
7.2% |
42.9% |
|
|
조직 내시경에서 점막 관해f |
1.3% |
10.7% |
9.7%*
(5.7, 13.7) |
1.7% |
13.5% |
11.3%*
(7.2, 15.3) |
|
이전 생물학적제제 실패+ |
0 |
6.5% |
|
1.1% |
9.2% |
|
|
이전 생물학적 제제 실패 경험 없음+ |
2.6% |
15.4% |
|
2.4% |
17.9% |
|
|
약어: PBO=위약
+UC-1과 UC-2에서 “이전 생물학적제제 실패”인 환자 수는 위약군에서 각각 78명과 89명이고, 이 약 45mg 투여군에서 168과 173명이었다. UC-1과 UC-2에서 “이전 생물학적 제제 실패 경험 없음”인 환자 수는 위약군에서 각각 76명 과 85명이고, 이 약 45mg 투여군에서 151명과 168명이었다.
* p <0.001, 조정된 치료 차이(95% CI)
a aMS에서: SFS ≤ 1 이고 베이스라인보다 크지 않음, RBS = 0, 점막의 불안정성 없이 ES ≤ 1
b aMS에서: 베이스라인으로부터 2점 이상 및 30%이상 감소하고 RBS는 1이상 감소하거나 절대 RBS ≤ 1
c 점막의 불안정성 없이 ES ≤ 1
d Geboes 점수의 베이스라인으로부터의 감소. 조직학은 0에서 5.4 사이의 Geboes 점수를 사용하여 평가됨.
e 점막의 불안정성 없이 ES ≤ 1 이고, Geboes 점수 ≤ 3.1 (장의 움(crypt)에 호중구의 침윤이 5%미만이며 움(crypt)의 파괴, 침식, 궤양 혹은 육아조직이 없음을 의미한다.)
f ES = 0, Geboes 점수 < 2 (장의 움(crypt)과 고유판에 호중구가 없으며 호산구의 증가, 움(crypt)의 파괴, 침식, 궤양 혹은 육아조직이 없음을 의미한다.) |
질병 활성 및 증상
부분 수정Mayo점수(paMS)는 SFS와 RBS로 구성된다. paMS에서의 임상반응은 베이스라인으로부터 1점 이상, 30% 이상 감소하고 RBS는 1점 이상 감소하거나 절대 RBS ≦ 1으로 정의된다. 치료반응의 시작은 위약군에 비해 이 약 1일 1회 45mg 투여군에서 더 큰 비율로 2주정도 빨랐다. (UC‑1: 60.1% vs 27.3% 및 UC‑2: 63.3% vs 25.9%).
내시경적‑조직학적 평가
내시경적으로 점막 외관의 정상화(내시경적 관해)는 ES가 0인 것으로 정의되었다. 8주차에 이 약 1일 1회 45mg 투여군에서 위약 대비 유의하게 높은 비율의 환자들이 내시경적 관해를 달성하였다(UC‑1: 13.7% VS 1.3%, UC‑2: 18.2% VS 1.7%).
연장된 유도 요법
UC‑1과 UC‑2연구에서 이 약 1일 1회 45mg 투여 8주 후 임상반응을 달성하지 못한 총 125명의 환자들은 8주의 공개 라벨 연장 유도기간에 돌입했다. 이 약 1일 1회 45mg으로 추가 8주 치료 이후(총 16주), 48.3%의 환자가 aMS 임상반응을 달성했다. 이 약 1일 1회 45mg의 16주 치료에 반응한 환자 중 이 약 1일 1회 15mg 및 30mg 유지 요법 52주차에서 각각 35.7%와 66.7%의 환자가 aMS 임상반응을 유지했고, 19.0% 와 33.3%의 환자가 aMS 임상적 관해를 달성했다.
(2) 유지요법 임상시험(UC‑3)
UC‑3에 대한 유효성 분석은 이 약 1일 1회 45mg을 투여한 8주 유도 치료에서 aMS 임상반응을 달성한 451명의 환자들을 대상으로 평가했다. 환자들은 최대 52주 동안 이 약 1일 1회 15mg, 30mg 또는 위약을 투여 받도록 무작위 배정되었다. 일차 평가변수는 52주차에서 aMS임상적 관해였다.
표 27. 유지요법 임상시험 UC‑3에서 제52주차에 일차 및 주요 이차 유효성 평가변수를 충족하는 환자의 비율
|
|
PBO
N=149
|
UPA
15 mg
N=148
|
UPA
30 mg
N=154
|
치료 차이
15 mg vs PBO
(95% CI)
|
치료 차이
30 mg vs PBO
(95% CI) |
|
질병 활성도와 궤양성 대장염 증상 |
|
임상적 관해a |
12.1% |
42.3% |
51.7% |
30.7%*
(21.7, 39.8) |
39.0%*
(29.7, 48.2) |
|
이전 생물학적제제 실패+ |
7.5% |
40.5% |
49.1% |
|
|
|
이전 생물학적 제제 실패 경험 없음+ |
17.6% |
43.9% |
54.0% |
|
|
|
임상적 관해의 유지b |
N = 54
22.2%
|
N = 47
59.2%
|
N = 58
69.7%
|
37.4%*
(20.3, 54.6) |
47.0%*
(30.7, 63.3) |
|
이전 생물학적제제 실패 |
N = 22
13.6%
|
N = 17
76.5%
|
N = 20
73.0%
|
|
|
|
이전 생물학적 제제 실패 경험 없음 |
N = 32
28.1%
|
N = 30
49.4%
|
N = 38
68.0%
|
|
|
|
코르티코스테로이드 없이 임상적 관해c |
N = 54
22.2%
|
N = 47
57.1%
|
N = 58
68.0%
|
35.4%*
(18.2, 52.7) |
45.1%*
(28.7, 61.6) |
|
이전 생물학적제제 실패 |
N = 22
13.6%
|
N = 17
70.6%
|
N = 20
73.0%
|
|
|
|
이전 생물학적 제제 실패 경험 없음 |
N = 32
28.1%
|
N = 30
49.4%
|
N = 38
65.4%
|
|
|
|
내시경적-조직학적 평가 |
|
내시경적 개선d |
14.5% |
48.7% |
61.6% |
34.4%*
(25.1, 43.7) |
46.3%*
(36.7, 55.8) |
|
이전 생물학적제제 실패+ |
7.8% |
43.3% |
56.1% |
|
|
|
이전 생물학적 제제 실패 경험 없음+ |
22.5% |
53.6% |
66.6% |
|
|
|
조직학적-내시경적 점막 개선e |
11.9% |
35.0% |
49.8% |
23.8%*
(14.8 32.8) |
37.3%*
(27.8, 46.8) |
|
이전 생물학적제제 실패+ |
5.2% |
32.9% |
47.6% |
|
|
|
이전 생물학적 제제 실패 경험 없음+ |
20.0% |
36.9% |
51.8% |
|
|
|
조직 내시경에서 점막 관해f |
4.7% |
17.6% |
19.0% |
13.0%*
(6.0, 20.0) |
13.6%*
(6.6, 20.6) |
|
이전 생물학적제제 실패+ |
2.5% |
17.2% |
16.1% |
|
|
|
이전 생물학적 제제 실패 경험 없음+ |
7.5% |
18.0% |
21.6% |
|
|
|
+“이전 생물학적제제 실패”인 환자 수는 위약군과 이 약 15mg, 30mg 투여군에서 각각 81, 71, 73명이다. “이전 생물학적 제제 실패 경험 없음”인 환자 수는 위약군과 이 약 15mg, 30mg 투여군에서 각각 68, 77, 81명이다.
* p <0.001, 조정된 치료 차이(95% CI)
a aMS에서: SFS ≤ 1 이고 베이스라인보다 크지 않음, RBS = 0, 점막의 불안정성 없이 ES ≤ 1
b 유도 요법 종료시점에서 임상적 관해를 달성한 환자 중 52주에서 aMS 임상적 관해
c 유도 요법 종료시점에서 임상적 관해를 달성한 환자 중 52주에서 aMS 임상적 관해 및 52주 직전 90일 이상 코르티코스테로이드 투여하지 않은 경우
d 점막 불안정성 없이 ES ≤ 1
e 점막의 불안정성 없이 ES ≤ 1 이고Geboes 점수 ≤ 3.1 (장의 움(crypt)에 호중구의 침윤이 5%미만이며 움(crypt)의 파괴, 침식, 궤양 혹은 육아조직이 없음을 의미한다.)
f ES = 0, Geboes 점수 < 2 (장의 움(crypt)과 고유판에 호중구가 없으며 호산구의 증가, 움(crypt)의 파괴, 침식, 궤양 혹은 육아조직이 없음을 의미한다.) |
내시경적‑조직학적 평가
내시경적으로 점막 외관의 정상화(내시경적 관해)는 ES가 0인 것으로 정의되었다. 52주차에 이 약 1일 1회 15mg, 30mg 투여군에서 위약 대비 유의하게 높은 비율의 환자들이 내시경적 관해를 달성하였다(24.2%, 25.9%, 5.6%).
(3) 장기 연장 시험(UC‑4)
장기 연장 시험에서 지속적이고 안정적인 반응이 관찰되었으며, 이 약 15mg 또는 30mg을 투여받은 환자에서 최대 3년 동안 유지되었다.
크론병
이 약의 유효성과 안전성을 3건의 다기관, 이중‑눈가림, 위약‑대조 제3상 임상시험에서 평가하였다: 2건의 유도요법 시험 CD‑1(U‑EXCEED) 및 CD‑2(U‑EXCEL)와 이어서 실시한 1건의 52주 유지요법 및 장기 연장 시험 CD‑3(U‑ENDURE). 공동 일차 평가변수는 CD‑1 및 CD‑2에서는 제12주에서의 임상적 관해 및 내시경적 반응이었고, CD‑3에서는 제52주에서의 임상적 관해 및 내시경적 반응이었다.
등록된 환자는 18에서 75세로, 일평균 매우 무른 변 또는 액상 변의 배변빈도(SF) ≧ 4 및/또는 일평균 복통 점수(APS) ≧ 2, 그리고 크론병에 대한 단순 내시경점수(centrally‑reviewed Simple Endoscopic Score for CD, SES‑CD) ≧ 6 또는 ≧ 4(협착이 없는 회장 국한성 질환의 경우)로 정의되는 중등증에서 중증의 활동성 크론병 환자였다.
(1) 유도요법 임상시험(CD‑1 및 CD‑2)
CD‑1 및 CD‑2에서, 1021명의 환자(각각 495명 및 526명)는 12주간의 이 약 45 mg 1일 1회 또는 위약 투여에 2:1 로 무작위 배정되었다.
CD‑1에서, 모든 환자들이 1가지 이상의 생물학적 제제 치료에 불충분한 반응을 보였거나 불내성이었다(이전 생물학적 제제 실패). 환자들 중, 61%(301/495)가 2가지 이상의 생물학적 제제에 불충분한 반응을 보였거나 불내성이었다.
CD‑2에서, 환자의 45%(239/526)가 1가지 이상의 생물학적 제제 치료에 불충분한 반응을 보였거나 불내성이었고(이전 생물학적 제제 실패), 55%(287/526)가 보편적인 치료제에 불충분한 반응을 보였거나 불내성이었으나 생물학적 제제 치료에는 그렇지 않았다(이전 생물학적 제제 실패 경험 없음).
CD‑1 및 CD‑2의 베이스라인에서, 환자의 34% 및 36%가 코르티코스테로이드를, 7% 및 3%가 면역조절제를, 15% 및 25%가 아미노살리실레이트를 투여받았다.
두 시험 모두에서, 베이스라인에서 코르티코스테로이드를 투여받은 환자들은 제4주부터 코르티코스테로이드 점감 요법을 시작했다.
두 시험에는 이 약 45 mg을 1일 1회 투여받고 제12주에서의 SF/APS에 따른 임상 반응(일평균 매우 무른 변 또는 액상 변 SF의 ≧30% 감소 및/또는 일평균 APS의 ≧30% 감소 및 모두 베이스라인 대비 높지 않음)을 달성하지 못한 환자를 대상으로 이 약 30mg을 1일 1회 투여하는 12주 연장 투여 기간이 포함되었다.
임상 질병 활성도 및 증상
CD‑1 및 CD‑2에서, 공동 일차 평가변수인 제12주에서의 임상적 관해를 달성한 환자의 비율은 위약군에 비해 이 약 45 mg 투여군에서 유의하게 더 높았다(표 28). 두 시험 모두에서, 유효성 발생은 신속하게 나타나, 이 약 45 mg을 투여받은 환자에서 위약군에 비해 빠르면 제2주에 유의하게 높은 비율로 임상 반응 100(CR‑100)을 달성하였다(표 28).
두 시험 모두에서 이 약 45 mg을 투여받은 환자들은 제12주에 FACIT‑F 점수로 측정한 피로에서 위약에 비해 베이스라인 대비 더 큰 개선을 경험했다.
내시경적 평가
CD‑1 및 CD‑2에서, 공동 일차 평가변수인 제12주에서의 내시경적 반응을 달성한 환자의 비율은 위약군에 비해 이 약 45 mg을 투여받은 환자에서 유의하게 더 높았다(표 28). CD‑1 및 CD‑2에서, SES‑CD 0‑2점을 달성한 환자의 비율은 이 약 45 mg을 투여받은 환자(각각 14% 및 19%)에서 위약군(각각 0% 및 5%)보다 더 높았다.
표 28. 유도요법 시험 CD‑1및 CD‑2에서 일차 및 추가 유효성 평가변수를 충족한 환자의 비율
|
시험 |
CD-1
(U-EXCEED) |
CD-2
(U-EXCEL) |
|
투여군 |
PBO
N=171 |
UPA
45mg
N=324 |
치료 차이
(95% CI) |
PBO
N=176 |
UPA
45mg
N=350 |
치료 차이
(95% CI) |
|
제12주에서의 공동 일차 평가변수 |
|
임상적 관해a |
14% |
40% |
26%
(19, 33)* |
22% |
51% |
29%
(21, 36)* |
|
이전 생물학적 제제 실패 |
|
|
|
N=78
14% |
N=161
47% |
33%
(22, 44) |
|
이전 생물학적 제제 실패 경험 없음 |
|
|
|
N=98
29% |
N=189
54% |
26%
(14, 37) |
|
내시경적 반응b |
4% |
35% |
31%
(25, 37)* |
13% |
46% |
33%
(26, 40)* |
|
이전 생물학적 제제 실패 |
|
|
|
N=78
9% |
N=161
38% |
29%
(19, 39) |
|
이전 생물학적 제제 실패 경험 없음 |
|
|
|
N=98
16% |
N=189
52% |
36%
(25, 46) |
|
제 12주에서의 추가 유효성 평가변수 |
|
CDAI에 따른 임상적 관해c |
21% |
39% |
18%
(10, 26)* |
29% |
49% |
21%
(13, 29)* |
|
임상 반응(CR-100)d |
27% |
51% |
23%
(14, 31)* |
37% |
57% |
20%
(11, 28)* |
|
코르티코스테로이드 없이 임상적 관해a,e |
N=60
7% |
N=108
37% |
30%
(19, 41)* |
N=64
13% |
N=126
44% |
33%
(22, 44)* |
|
내시경적 관해f |
2% |
19% |
17%
(12, 22)* |
7% |
29% |
22%
(16, 28)* |
|
점막 치유g |
N=171
0% |
N= 322
17% |
17%
(13, 21)*** |
N=174
5% |
N=349
25% |
20%
(14, 25)*** |
|
조기 발생 평가변수 |
|
제4주에 임상적 관해a |
9% |
32% |
23%
(17, 30)* |
15% |
36% |
21%
(14, 28)* |
|
제2주에 CR-100d |
12% |
33% |
21%
(14, 28)* |
20% |
32% |
12%
(4, 19)** |
|
약어: PBO = 위약, UPA = 이 약(upadacitinib)
* p < 0.001, 조정된 치료 차이(95% CI)
** p < 0.01, 조정된 치료 차이(95% CI)
*** 명목 p <0.001, 이 약 vs 위약 비교, 조정된 치료 차이(95% CI)
a 일평균 SF ≤2.8 및 APS ≤1.0, 그리고 모두 베이스라인 대비 높지 않음
b 유도요법 시험에서 베이스라인 대비 SES-CD >50% 감소(또는 유도요법 시험에서 베이스라인 시 SES-CD가 4점인 환자의 경우, 유도요법 시험에서 베이스라인 대비 최소 2점 감소)
c CDAI < 150
d CDAI가 베이스라인 대비 최소 100점 감소
e 베이스라인에서 스테로이드를 사용 중인 환자에서 스테로이드 중단 및 임상적 관해 달성
f SES-CD ≤ 4점 및 베이스라인 대비 최소 2점 감소 및 어떠한 개별 변수에서도 하위점수 > 1점이 아님
g 베이스라인 시 SES-CD 궤양 표면 하위점수 ≥1점인 환자에서 SES-CD 궤양 표면 하위점수 0점 |
(2) 유지요법 임상시험(CD‑3)
CD‑3의 유효성 분석에서 이 약 45 mg을 12주간 1일 1회 유도요법으로 투여하고 SF/APS에 따른 임상 반응을 달성한 환자 502명을 평가하였다. 환자들은 52주간 이 약 15 mg 또는 30 mg 1일 1회 또는 위약 투여군에 재무작위 배정되었다.
임상 질병 활성도 및 증상
공동 일차 평가변수인 제52주에서의 임상적 관해를 달성한 환자의 비율은 위약에 비해 이 약 15 mg 및 30 mg을 투여받은 환자에서 유의하게 더 높았다(표 29).
이 약 30 mg을 투여받은 환자들은 위약에 비해 제52주에서의 FACIT‑F 점수로 측정한 피로에서 베이스라인 대비 더 큰 개선을 경험했다.
표 29. 유지요법 시험 CD‑3에서 제52주에서의 일차 및 추가 유효성 평가변수를 충족한 환자의 비율
|
투여군 |
PBO +
N=165 |
UPA
15 mg
N=169 |
UPA
30 mg
N=168 |
치료 차이
15 mg vs
PBO
(95% CI) |
치료 차이
30 mg vs
PBO
(95% CI) |
|
공동 일차 평가변수 |
|
임상적 관해a |
14% |
36% |
46% |
22%
(14, 30)* |
32%
(23, 40)* |
|
이전 생물학적 제제 실패 |
N=126
9% |
N=124
32% |
N=127
43% |
24%
(14, 33) |
34%
(24, 44) |
|
이전 생물학적 제제 실패 경험 없음 |
N=39
33% |
N=45
44% |
N=41
59% |
12%
(-9, 33) |
26%
(5, 47) |
|
내시경적 반응b |
7% |
28% |
40% |
21%
(14, 28)* |
34%
(26, 41)* |
|
이전 생물학적 제제 실패 |
N=126
4% |
N=124
23% |
N=127
39% |
19%
(11, 27) |
35%
(26, 44) |
|
이전 생물학적 제제 실패 경험 없음 |
N=39
18% |
N=45
40% |
N=41
44% |
22%
(3, 41) |
26%
(7, 45) |
|
추가 평가변수 |
|
CDAI에 따른 임상적 관해c |
15% |
37% |
48% |
24%
(15, 32)* |
33%
(24, 42)* |
|
임상 반응(CR-100)d |
15% |
41% |
51% |
27%
(18, 36)* |
36%
(28, 45)* |
|
코르티코스테로이드 없이 임상적 관해a,e |
14% |
35% |
45% |
21%
(13, 30)* |
30%
(21, 39)* |
|
임상적 관해 유지a,f |
N=101
20% |
N=105
50% |
N=105
60% |
32%
(20, 44)* |
40%
(28, 52)* |
|
내시경적 관해g |
5% |
19% |
29% |
14%
(8, 21)* |
24%
(16, 31)* |
|
점막 치유h |
N=164
4% |
N=167
13% |
N=168
24% |
10%
(4, 16)*** |
21%
(14, 27)*** |
|
강화된 관해a,i |
4% |
14% |
23% |
10%
(4, 16)** |
18%
(11, 25)* |
|
약어: PBO = 위약, UPA = 이 약(upadacitinib)
+ 위약군은 유도요법 시험 종료 시 이 약 45 mg에서 SF/APS에 따른 임상 반응을 달성했고 유지요법 시작 시 위약 투여에 무작위 배정된 환자로 구성되었다.
* p < 0.001, 조정된 치료 차이(95% CI)
** p < 0.01, 조정된 치료 차이(95% CI)
*** 명목 p <0.001 이 약 vs 위약 비교, 조정된 치료 차이(95% CI)
a 일평균 SF ≤2.8 및 APS ≤1.0, 그리고 모두 베이스라인 대비 높지 않음
b 유도요법 시험에서 베이스라인 대비 SES-CD >50% 감소(또는 유도요법 시험에서 베이스라인 시 SES-CD가 4점인 환자의 경우, 유도요법 시험에서 베이스라인 대비 최소 2점 감소)
c CDAI < 150
d CDAI가 베이스라인 대비 ≥100점 감소
e 제52주 및 임상적 관해 달성 직전 90일간 코르티코스테로이드를 투여하지 않은 경우. 유도요법 시험의 베이스라인에서 코르티코스테로이드를 사용 중이었던 환자들의 하위군 중 이 약 15 mg 투여군의 38%(N=63)와 이 약 30 mg 투여군의 38%(N=63)와, 위약군의 5%(N=61)가 제52주 및 임상적 관해 전 90일간 코르티코스테로이드를 투여하지 않았다.
f 유지요법 시험 등록 시 임상적 관해를 달성한 환자 중 제52주에 임상적 관해를 달성하는 것으로 정의됨.
g SES-CD ≤ 4점 및 베이스라인 대비 최소 2점 감소 및 어떠한 개별 변수에서도 하위점수 > 1점이 아님
h 베이스라인 시 SES-CD 궤양 표면 하위점수 ≥1점인 환자에서 SES-CD 궤양 표면 하위점수 0점
i 임상적 관해 및 내시경적 관해 |
CD‑1 및 CD‑2에서 제12주에서의 이 약 유도요법에 대해 SF/APS에 따른 임상 반응이 나타나지 않은 환자들(122명)은 추가로 12주간 이 약 30 mg을 1일 1회 투여받았다. 이 환자들 중, 53%가 제24주에서 임상 반응을 달성하였다. 연장 투여 기간에 반응을 보였고 이 약 30 mg의 유지요법을 계속 받은 환자들 중, 제52주에 25%가 임상적 관해를, 22%가 내시경적 반응을 달성하였다.
내시경적 평가
CD‑3에서, 공동 일차 평가변수인 제52주에서의 내시경적 반응을 달성한 환자의 비율은 위약에 비해 이 약 15 mg 및 30 mg이 유의하게 더 높았다(표 29). 제52주에서의 SES‑CD 0‑2점을 달성한 환자의 비율은 이 약 15 mg 및 30 mg 투여군(각각 11% 및 21%)이 위약군(3%)보다 더 높았다. 베이스라인에서 코르티코스테로이드를 사용 중인 환자들 중 제52주에 코르티코스테로이드 없이 내시경적 관해를 달성한 환자의 비율은 이 약 15 mg 및 30 mg 투여군(각각 17% 및 25%)이 위약군(3%)보다 더 높았다.
장외 증상의 해소
제52주에 장외 증상의 해소가 관찰된 환자의 비율은 위약군(15%) 대비 이 약 15mg 투여군(25%)에서 더 높았고, 이 약 30mg 투여군(36%)에서는 유의하게 더 높았다.
4) 독성시험 자료
(1) 반복투여독성
동물을 대상으로 한 비임상 시험들에서, 랫드와 개에서 임상적으로 관련 있는 용량들에서 적혈구생성 억제뿐 아니라 순환 림프구와 림프 조직의 세포충실성(cellularity) 감소가 관찰되었다. 임상 용량인 15 mg에서 예상되는 노출(AUC)의 약 2배에 해당하는 노출들에 대하여, 임상 용량이 30 mg에서 예상되는 노출과 유사한 노출들에 대하여, 그리고 임상 용량이 45mg에서 예상되는 노출의 0.9배에 해당하는 노출들에 대하여 개에서의 모낭충증(옴)과 같은 기회 감염 관련 이차적 영향이 관찰되었다.
(2) 유전독성
이 약은 유전자 돌연변이 및 염색체 이상에 대한 생체 외 및 생체 내 시험 결과에 근거할 때 변이원성이나 유전독성이 없었다.
(3) 생식독성
수태능 시험 및 초기 배아 발달 시험에서, 수컷 랫드에게 50 mg/kg/day까지, 암컷 랫드에게 75 mg/kg/day까지의 용량을 투여했을 때, 이 약은 수컷이나 암컷 랫드의 수태능에 영향을 미치지 않았다. 하지만, 25 및 75 mg/kg/day 용량에서 착상‑후 손실과 관련이 있었던 용량‑관련 태자 재흡수 증가가 관찰되었다.
이 약을 랫드와 토끼에 임상 용량인 15 mg의 1.6 배 및 15배, 임상 용량인 30 mg의 0.8배 및 7.6배, 그리고 임상 용량인 45mg의 0.6배 및 6배에 해당하는 노출(각각 4 mg/kg/day 및 25 mg/kg/day의 모체 경구 용량에서의 AUC에 근거함)로 투여했을 때 최기형성이 있는 것으로 나타났다.
두 건의 랫드 배태자 발달 시험에서, 임신한 동물들에게 임신일(gestation day, GD) 6일차부터 17일차까지의 기관형성기 동안 시험약을 투여했다. 이 약은 최저 용량인 1.5 mg/kg/day을 제외한 시험된 모든 용량 수준에서 최기형성이 있었다. 4, 5, 25, 및 75 mg/kg/day 용량에서 이 약‑관련 영향에는 두 건의 특정 골격 기형(즉, 상완골 기형 및 견갑골 구부러짐)이 포함되었고, 75 mg/kg/day 용량에서는 앞다리뼈와 뒷다리뼈가 구부러진 비율이 증가했다. 추가적으로, 25 및 75 mg/kg/day 용량에서, 구부러진 갈비뼈, 골격 변형이 증가했으며, 이 역시 이 약과 관련된 것으로 고려되었다.
토끼 배태자 발달 시험에서, 임신한 동물들에게 임신일 7일차부터 19일차까지의 기관형성기 동안 시험약을 투여했다. 이 약은 25 mg/kg/day 용량에서 최기형성이 있었다. 토끼에 대하여 25 mg/kg/day 용량에서 관찰된 발달 영향에는 착상‑후 손실 증가, 총 재흡수 및 초기 재흡수 증가, 태자 체중 저하, 및 심장 기형 발생률 증가가 포함되었다. 또한, 25 mg/kg/day 용량군 내에서 체중 감소, 사료 섭취량 감소, 및 유산 발생률 증가와 같은 모체 독성이 명백했다.
랫드에 대한 출생 전/후 발달 시험에서, 착상 시부터 수유기를 거쳐 젖을 뗄 때까지 모체의 시험약 노출에 따른 새끼의 발달을 시험했다. 이 기간 동안에 유도된 효과의 징후가 지연될 수 있으므로, 새끼가 성적으로 성숙할 때까지 지속적으로 관찰했다. 모체는 임신일 6일차부터 수유일(lactation day, LD) 20일차까지 시험약을 투여 받았다. 이 약은 어느 용량 수준에서도 행동 또는 생식 평가변수 면에서 모체나 새끼에게 아무런 영향을 미치지 않았다.
(4) 발암성
Sprague‑Dawley 랫드와 Tg.rasH2 마우스에서 이 약의 발암 잠재성을 평가했다. 이 약을 각각 최대 15 또는 20 mg/kg/day의 경구 용량(수컷과 암컷에 대한 AUC에 근거할 때 각각 임상 용량인 15 mg의 약 4배 및 10배, 임상 용량인 30 mg의 약 2배 및 5배 그리고 임상 용량인 45mg의 약 1.7배 및 4배)으로 최대 101주 동안 투여 받은 수컷 또는 암컷 랫드에서 종양 유발성의 근거는 관찰되지 않았다. 이 약을 최대 20 mg/kg/day의 경구 용량으로 26주간 투여 받은 수컷 또는 암컷 Tg.rasH2 마우스에서 종양 유발성의 근거는 관찰되지 않았다.