1. 경고
1) 이 약은 현재 지속성 통증에 대한 마약성 진통제 치료를 받고 있으며, 이에 대한 내약성을 가진 암 환자의 돌발성 통증에 사용하는 제제이다. 마약성 진통제 약물에 내약성이 있는 환자는 적어도 모르핀 60 ㎎/일, 경피형 펜타닐 25 ㎍/시간, 옥시코돈 30 ㎎/일, 하이드로모르폰 경구제제 8 ㎎/일을 1주일 이상의 동등 진통 용량의 다른 마약성 진통제 를 복용하고 있는 환자이다.
2) 이 약은 마약성 진통제 를 장기간 복용하지 않은 환자에서 어떠한 용량에서든 생명을 위협할 수 있는 호흡저하가 일어 날 수 있기 때문에 급성 또는 수술 후 통증 치료에는 사용해서는 안 된다. 이 약은 마약성 진통제 에 내약성이 없는 환자에게 사용해서는 안된다.
3) 이 약은 암 통증치료에 전문적 지식 및 기술을 가지고 있는 전문가에 의해 암 환자의 치료에만 사용되어야 한다.
4) 환자 및 이 약을 다루는 사람은 이 약이 어린이에게 치명적일 수 있는 양의 주성분을 함유하고 있으므로 어린이의 손이 닿지 않는 곳에 보관하고, 개봉하고 남은 의약품을 적절히 처리하여야 한다.
5) 마약류와 벤조디아제핀계 약물 또는 알코올을 포함하는 중추신경계억제제의 병용투여는 깊은 진정, 호흡 억제, 혼수 및 사망을 초래할 수 있다. 이러한 위험성 때문에, 마약류와 벤조디아제핀계 약물의 병용투여는 적절한 대체 치료방법이 없는 환자의 경우에 한하여 처방하도록 한다. 이 약과 마약류의 병용투여가 결정되면 최저 유효용량으로 최단기간 처방하도록 하고 호흡억제 및 진정의 징후와 증상에 대해 환자를 면밀히 추적 관찰하도록 한다.
이 약을 사용하는 동안 다른 마약성 진통제 , 진정제, 수면제, 전신 마취제, 페노티아진계 약물, 정신 안정제, 근이완제, 진정 작용이 있는 항히스타민제, 시토크롬 P450 3A4 동종효소계의 강력한 저해제(예를 들어 에리스로 마이신, 케토코나졸, 일부 프로테이제 저해제) 등을 포함한 다른 중추 신경 억제제를 병용하거나 또는 알코올을 섭취할 경우, 억제 작용이 증가될 수 있으며, 호흡 저하와 저혈압, 강한 진정 작용이 나타날 수 있다.
6) 이 약은 MAO(monoamine oxidase) 저해제를 투여한 지 14일이 경과하지 않은 환자에게 투여하는 것은 권장되지 않는다. MAO 저해제에 의한 마약성 진통제 의 심각하고 예상치 못한 상승 작용(고혈압 또는 저혈압 위기가 동반되는 중추신경 흥분 또는 억제 등)이 보고된 바 있다.
2. 다음 환자에는 투여하지 말 것
1) 펜타닐 또는 이 약의 구성성분에 대한 내약성이 없거나 과민증이 있는 환자
2) 마약성 진통제에 내약성이 없거나 마약성 진통제 투여를 받은 적이 없는 환자
3) 중증의 호흡 억제 또는 중증 폐쇄성 폐질환 환자
4) 마약성 진통제를 만성적으로 복용하는 환자가 아닌 경우의 급성통증(두통/편두통 및 치통 등) 또는 수술 후 통증에 대한 투여
3. 다음 환자에는 신중히 투여할 것
1) 호흡억제환자
호흡저하는 이 약의 주성분인 펜타닐을 포함한 마약성 진통제의 주요위험요소이다. 호흡억제는 마약성 진통제에 내약성이 없는 환자에게 높은 초기용량을 투여하였을 때, 특히 노약자에게 나타나기 쉽고, 또는 마약성 진통제를 다른 호흡저하 약물과 병용투여 하였을 때 문제가 된다. 마약성 진통제로 인한 호흡저하는 호흡하는 힘이 약해지고 호흡수가 감소하는 것이 특징이며, ‘한숨’과 같은 호흡의 형태와도 관련이 있다(깊은 호흡 사이의 비정상적인 긴 호흡중지). 마약성진통제에 의한 호흡억제로 인한 CO<SUB>2</SUB> 정체는 마약성 진통제의 진정효과를 악화시킬 수 있다. 이는 진정효과를 가진 약물 및 마약성 진통제의 과량투여를 유발하므로 특히 위험하다.
2) 만성 폐질환 환자
강력한 마약성진통제는 호흡 저하를 일으킬 수 있기 때문에, 만성 폐색성 폐질환을 가진 환자나 호흡 저하가 쉽게 발현될 수 있는 상태인 환자에게 이 약의 용량을 설정할 경우에는 주의가 요구된다. 그러한 환자의 경우, 이 약의 일상적인 투여 용량에 의해서도 호흡능 저하로 인한 호흡 부전이 나타날 수 있다.
3) 두개내압 상승 환자
두개내압 상승 또는 의식 손상의 근거를 동반한 환자와 같이, 두개내 이산화탄소 정체(retention)의 영향에 특히 민감한 환자에게는 이 약을 극히 주의하여 투여해야 한다. 마약성진통제는 두부 손상 환자의 임상 경과를 불명확하게 할 수 있으며, 임상적으로 타당한 경우에만 투여해야 한다.
4) 심장 질환 환자
펜타닐은 서맥을 유도할 수 있다. 따라서 이 약은 서맥성 부정맥을 가지고 있거나, 이전에 서맥성 부정맥이 있었던 환자에게는 주의하여 투여해야 한다.
5) 신장애 또는 간장애 환자
신기능이나 간기능 장애가 있는 환자에서 이 약의 투여에 대한 정보는 충분하지 않다. 펜타닐은 주로 시토크롬 P450 3A4 동종효소계를 통해 대사되어 대부분이 소변으로 배설된다. 신장애나 간장애가 있는 환자에게 이 약을 투여할 경우 주의가 필요하다. 중등도 또는 중증의 간 또는 신장장애 환자에 대해서는 적정 과정 중에 특별한 주의를 기울여야 한다.
6) 세로토닌 증후군
세로토닌성 신경 전달 물질 체계에 영향을 미치는 약물과 이 약을 병용할 때에는 주의를 기울여야 한다. 선택적 세로토닌 재흡수 억제제 (SSRI), 세로토닌 노르에피네프린 재흡수 억제제 (SNRI)와 같은 세로토닌계 약물 및 세로토닌 대사를 손상시키는 약물 (모노아민 산화효소 억제제 [MAOI] 포함)의 병용 투여로 인해, 잠재적으로 생명을 위협하는 세로토닌 증후군이 발생할 수 있다. 이는 권장 용량 내에서 발생할 수도 있다. 세로토닌 증후군에는 정신 상태 변화 (예: 초조, 환각, 혼수), 자율신경 불안정성 (예: 빈맥, 불안정 혈압, 고열), 신경 근육 이상(예: 과다 반사, 협응 장애, 강직) 및/ 또는 위장계 증상 (예: 오심,구토, 설사)이 포함될 수 있다. 세로토닌 증후군이 의심되는 경우에는 이 약의 치료를 중단해야 한다.
7) 통각 과민 환자
다른 마약성 진통제와 마찬가지로 펜타닐 용량의 증가에 대한 통증 조절 반응이 불충분할 경우, 마약성 진통제에 의한 통각 과민 가능성을 고려해야 한다. 펜타닐 용량 감량 또는 펜타닐 치료 중단 또는 치료 검토가 필요할 수 있다.
8) 저혈량증 및 저혈압 환자
9) 임부 및 수유부
10) 고령자, 쇠약자
11) 약물의존 또는 중독의 병력이 있는 환자 (의존성이 생길 수 있다.)
이 약의 반복적인 사용은 아편유사제 사용장애(Opioid Use Disorder, OUD)를 일으킬 수 있다. 아편 유사제 치료 용량과 치료 기간을 늘리면 아편유사제 사용장애(OUD) 발병 위험이 높아질 수 있다. 이 약의 남용이나 의도적인 오용은 과량투여나 사망을 일으킬 수 있다. 아편유사제 사용 장애 발병 위험은 약물사용 장애(알코올 사용 장애 포함)의 개인 또는 가족력이 있는 환자, 흡연 또는 기타 정신 건강 장애의 병력이 있는 환자(예, 주요 우울증, 불안, 인격 장애)에서 증가한다. 이들 징후가 발생할 경우 담당의에 연락을 취하도록 환자에 권고해야 한다.
환자의 약물 추구 행동(drug‑seeking behavior)의 징후 및 아편 유사제와 향정신성 약물(예: 벤조디아제핀계) 병용 등을 모니터링 한다. 아편 유사제 사용 장애의 징후가 있는 환자는 중독 전문가와의 상담을 고려한다.
12) 이 약에는 파라옥시벤조산프로필 (Propylparahydroxybenzoate) (E216)이 함유되어 있다. 파라옥시벤조산프로필은 알레르기 반응(지연형 가능), 특히 기관지 경련 (의약품이 정확히 투여되지 않은 경우)을 유발할 수 있다.
4. 이상반응
1) 안전성 프로파일 요약
이 약은 마약성진통제의 이상반응이 나타날 수 있다.
환자가 가장 적절한 용량으로 적정된 경우에도, 이 약의 지속적인 사용으로 인하여 이상약물반응이 중단되거나 그 강도가 감소되는 경우가 흔히 나타난다. 그러나 가장 중대한 이상약물반응은 호흡억제 (잠재적으로 무호흡 또는 호흡 정지를 유발), 순환기 억제, 저혈압 및 쇼크이며 모든 환자에 대해 이를 모니터링 하여야 한다.
이 약의 안전성과 유효성을 평가하기 위한 임상시험은 돌발성 통증이 있는 암환자를 대상으로 실시되었다. 모든 환자들은 지속적인 통증치료를 위해 서방형 모르핀 또는 펜타닐경피흡수제과 같은 마약성 진통제를 동시에 투여 받고 있었다. 따라서, 이 약에 대한 이상반응만을 구분하여 기술할 수는 없다.
2) 이상약물반응 목록
임상 시험 및 시판 후 경험에서 이 약 및/ 또는 기타 펜타닐 함유화합물에 대해 다음과 같은 이상약물반응이 보고되었다.
(발생빈도는 다음과 같이 구분하였다; 매우 흔하게 (≧1/10); 흔하게 (≧1/100 ~ <1/10); 흔하지 않게 (≧1/1,000 ~ <1/100); 드물게 ≧ 1/10,000 ~ <1/1,000), 매우 드물게 (<1/10,000), 빈도불명(입수된 자료에서 추정할 수 없음))
|
발현
기관 |
흔하게
(common) |
흔하지 않게
(uncommon) |
빈도불명
(unkown) |
|
감염 |
|
폐렴, 코인두염, 인두염, 비염 |
|
|
혈액 및 림프계장애 |
|
호중구 감소증 |
|
|
면역계장애 |
|
과민 반응 |
아나필락시스 반응,
아나필락시스 쇼크 |
|
대사 및 영양장애 |
|
탈수, 고혈당증, 식욕감퇴, 식욕증가 |
|
|
정신장애 |
방향감각
상실 |
섬망, 환각, 착란상태, 우울증
주의력 결핍/과잉행동장애
불안, 다행감, 신경과민
|
불면증, 약물의존성(중독), 약물남용, 약물내성
|
|
신경계장애 |
미각이상 어지러움, 졸음, 두통 |
의식소실, 의식상태저하, 경련, 미각상실, 후각상실증 기억장애, 후각과민, 언어장애, 진정, 졸음증 진전 |
통각에 대한 과민, 무해 자극 통증 |
|
귀 및 비로장애 |
|
현훈 |
|
|
심장장애 |
|
청색증 |
|
|
혈관계장애 |
|
심혈관계기능부전
림프부종
저혈압
홍조(hot flush) |
홍조
(flushing) |
|
호흡기계, 흉곽 및 종격장애 |
비출혈, 콧물, 비강불편감(코 작열감) |
상기도폐쇄
인후두 통증
코통증
코점막질환
기침
호흡곤란
재채기
상기도 울혈
비충혈
코안 감각저하
인후 이물감
후비루
코의 건조 |
호흡억제 |
|
위장관 장애 |
구토 오심 변비 |
장천공 복막염 구강감각저하
구강감각이상
설사 구역질
복통 혀의 이상 구강궤양 소화불량 구강건조 |
|
|
피부 및 피하조직 장애 |
소양증 |
다한증
두드러기 |
|
|
근골격 및 결합조직장애 |
|
관절통
근육단일수축 |
|
|
신장 및 요로장애 |
|
무뇨 배뇨곤란 단백뇨 배뇨주저(urinary hesitation) |
|
|
생시계 및 유방장애 |
|
질 출혈 |
|
|
전신장애 및 투여 부위상태 |
|
비 심인성 흉통
무력증
오한 안면부종 말초부종 보행장애
발열 피로 권태 갈증 |
금단 증후군*
신생아 금단 증후군 |
|
임상검사 |
|
혈소판 수 감소
체중 증가 |
|
|
손상, 중독과
시술 합병증 |
|
낙상
의도적 약물오용
투약 오류 |
|
*오심, 구토, 설사, 불안, 오한, 진전, 발한과 같은 마약성 진통제 금단증상이 점막 투과성 펜타닐에 대해 관찰되었다.
3) 특정이상사례
약물내성
반복 사용 시 내성이 생길 수 있다.
약물의존
이 약을 반복적으로 사용하면 치료 용량에서도 약물 의존성이 발생할 수 있다. 약물의존의 위험은 환자의 개별 위험 요인, 복용량, 아편유사제 치료 기간에 따라 달라질 수 있다.
4) 국내 시판 후 조사 결과
국내에서 재심사를 위하여 4년 동안 127명을 대상으로 실시한 시판 후 조사 결과, 이상사례의 발현율은 인과관계와 상관없이 60.63%(77/127명, 81건)로 보고되었다.
이 중 인과관계를 배제할 수 없는 중대한 약물이상반응과 예상하지 못한 약물이상반응은 발현빈도에 따라 아래 표에 나열하였다.
|
발현빈도 |
기관계 |
중대한 약물이상반응
1.57%(2/127명, 2건) |
예상하지 못한 약물이상반응
0.79%(1/127명, 1건) |
|
흔하지 않게
(0.1~ 1%미만) |
호흡기, 흉곽 및 종격 장애 |
호흡부전 |
호흡부전 |
|
감염 및 기생충 감염 |
폐렴 |
- |
5. 일반적 주의
1) 마약성 진통제는 위험성이 있는 작업(예를 들어 자동차 운전 또는 기계 조작)을 수행하는 데 필요한 정신적, 신체적 기능을 저하시킬 수 있다. 이 약을 복용하는 환자는 졸음이나 어지러움 또는 흐리게 보이거나 겹쳐 보이는 시각 효과를 경험할 수 있으므로 기계조작 또는 운전을 하지 말아야 함을 숙지하고 있어야 한다.
2) 다른 목적으로 전환되는 것을 최소화하기 위해 이 약의 접근 제한 등이 필요하다. 남용, 중독(addiction) 및 전환되어 사용되는 것에 대한 우려가 통증의 적절한 조절을 막아서는 안 된다. 그러나 마약성 진통제는 적절하게 의료용으로 사용하더라도 중독의 위험성을 가지고 있기 때문에 이 약을 투여받는 모든 환자는 남용, 중독 증후에 대해 주의깊게 모니터링 되어야 한다. 중독은 그 발달과 현상에 영향을 주는 유전적, 사회심리적 그리고 환경적 요소를 가진 기본적, 만성적, 신경생물학적 질환이다. 이는 약물 사용에 대한 조절 이상, 강박적인 사용, 피해에도 불구하고 지속된 사용, 갈망 중 하나 이상을 포함하는 행동에 의해 특징지어진다. 약물 중독은 종합적인 접근법을 사용하여 치료할 수 있는 질환이나 재발이 흔하다. 약물 추구는 약물 남용자와 중독자에게 매우 일반적인 행동이다. 이 약은 양극성장애 혹은 정신분열 환자를 포함하여 약물 남용위험이 있는 환자에서 주의하여 처방되어야 한다. 만성 통증을 가진 환자는 자살 위험이 높을 수 있다. 남용과 중독은 신체적 의존성과 내성으로부터 구별되어야 한다. 의사는 모든 중독자에 있어 신체적 의존성과 내성이 함께 나타나는 것이 아님을 알아야 한다.
또한, 마약성 약물의 남용은 실제적인 중독증상이 없이도 발생할 수 있으며, 때로는 향정신성의약품과 함께 비의료적 목적으로 오용되기도 한다. 이 약은 비의학적 사용으로 전환될 수 있으므로 처방수량, 빈도, 갱신요청을 포함한 처방정보를 주의깊게 기록 및 유지하여야 한다. 마약성 약물의 남용을 제한하기 위하여 환자를 적절히 평가하고, 처방행위를 적절히 하며, 치료법을 주기적으로 재평가하고 조제와 보관의 관리가 필요하다.
3) 이 약의 투여는 환자의 반응에 의해 조절되어야 한다. 신체적 의존성, 그 자체는 만성통증을 가진 암환자를 치료할 때 대개 우려할 사항은 아니다. 내성 및 신체적 의존성에 대한 두려움이 통증을 적절히 경감시키는 용량의 투여를 방해해서는 안된다. 마약성 진통제는 신체적 의존성을 일으킬 수 있다. 신체적 의존성은 갑자기 약물을 중단하는 환자에서 금단증상을 일으킨다. 금단증상은 날록손, 날메펜, 혹은 아편유사수용체의 부분효현제(펜타조신, 부토파놀, 부프레놀핀, 날부핀)과 같은 마약성 진통제 길항 효과를 가진 약물을 투여함으로 촉진될 수 있다. 신체적 의존성은 마약성 진통제를 지속적으로 몇 주 사용한 후 까지는 보통 임상적으로 유의한 정도로는 나타나지 않는다. 내성은 동일한 진통효과를 위해 점차 고용량이 요구되는 것이며, 이는 초기에는 진통효과 지속시간의 단축으로 나타나고 이후에는 진통강도의 감소로 나타난다.
4) 어린이에게 치명적일 수 있는 분량의 주성분이 이 약에 포함되어 있다는 사실을 환자 및 보호자에게 반드시 설명해야 한다.
5) 이 약은 비강내 투여용으로만 사용되며 다른 경로로 투여되어서는 안 된다. 본 제제에 포함된 첨가제의 물리화학적 특성으로 인해, 특히 정맥 내 주사 또는 동맥 내 주사로 투여되어서는 안된다.
6) 이 약을 투여하는 동안 환자가 재발성 비출혈 에피소드 또는 코 불편감을 경험하는 경우, 돌발성 통증 치료를 위한 대체 투여 방법을 고려해야 한다.
7) 이 약은 수면무호흡증후군(중추수면무호흡 포함)과 저산소증(수면관련 저산소증 포함)을 야기할 수 있으며 발생 위험은 용량 의존적으로 증가한다. 수면무호흡증 발생 또는 기존 증상 악화 여부를 지속적으로 평가해야 하며, 이 경우 약물 용량을 서서히 감량 또는 중단을 고려해야 한다.
8) 약물의 우발적 노출, 오▪남용과 관련된 치명적인 결과를 포함하는 위험성들을 고려해 타인의 손이 닿지 않는 안전한 곳에 이 약을 보관하도록 환자와 보호자에게 알린다.
6. 상호작용
1) 펜타닐은 주로 사람 CYP3A4 동종효소에 의해 대사된다. 따라서 이 약을 CYP3A4 활성에 영향을 주는 물질과 병용시 잠재적인 상호작용이 일어날 수 있다. 이 약을 CYP3A4 활성을 유도하는 의약품과 병용 투여 시, 이 약의 유효성이 감소될 수 있다. 강력한 CYP3A4 저해제 (예: 리토나비르, 케토코나졸, 이트라코나졸, 트롤레안도마이신 (troleandomycin), 클래리트로마이신 및 넬피나비어) 또는 중등도의 CYP3A4 억제제 (예:암프레나비르 (amprenavir), 아프레피탄트 (aprepitant), 딜티아젬,에리스로마이신, 플루코나졸, 포삼프레나비어, 자몽 주스 및 베라파밀)은 펜타닐 혈장 농도의 상승을 초래할 수 있으며 치명적인 호흡억제를 포함하는 중대한 이상약물반응을 잠재적으로 유발할 수 있다. 중등도 또는 강력한 CYP3A4 억제제와 이 약을 병용 투여 받는 환자에 대해서는 오랜 기간 동안 면밀히 모니터링하여야 한다. 용량 증량은 주의하여 실시하여야 한다.
2) 이 약과 다른 마약성 진통제, 진정제 또는 수면제, 전신 마취제, 페노티아진 (phenothiazine)계 약물, 신경안정제, 골격근 이완제, 가바펜티노이드계 약물(예, 가바펜틴, 프레가발린), 진정 작용 유발성 항히스타민제 및 알코올을 비롯한 기타 중추 신경계 억제제를 병용하는 경우, 상가적인 진정 효과가 유발될 수 있다.
3) 세로토닌성 의약품:
선택적 세로토닌 재흡수 억제제 (SSRI) 또는 세로토닌 노르에피네프린 재흡수 억제제 (SNRI) 또는 모노아민 산화효소 억제제(MAOI)와 같은 세로토닌성 약물과 펜타닐을 병용 투여하는 경우, 세로토닌 증후군, 즉 잠재적으로 생명을 위협하는 상태 유발 위험이 증가될 수 있다.
4) 이 약은 MAO(monoamine oxidase) 저해제를 투여한 지 14일이 경과하지 않은 환자에게 투여하는 것은 권장되지 않는다. MAO 저해제에 의한 마약성진통제의 심각하고 예상치 못한 상승 작용(고혈압 또는 저혈압 위기가 동반되는 중추신경 흥분 또는 억제 등)이 보고된 바 있다.
5) 아편유사수용체의 부분효현제(부프레노르핀, 날부핀, 펜타조신)는 아편유사수용체에 대해 높은 친화성을 나타내면서 상대적으로는 낮은 활성을 보인다. 따라서, 이 약과 병용투여시 이 약의 진통효과를 부분적으로 길항하고 금단증상을 일으킬 수 있으므로 병용투여 하지 않는다.
6) 옥시메타졸린과 같은 비충혈제거제와 병용투여시 이 약의 흡수가 감소되는 것으로 나타났다. 따라서, 환자에게 필요한 용량보다 더 높은 용량으로 적정될 수 있기 때문에, 적정 중에 비강 내 혈관수축성 비충혈 제거제를 병용하는 것은 권장되지 않는다. 또한, 이 약의 유지 치료를 비강 내 혈관 수축성 비충혈 제거제와 병용 투여하는 경우, 비염 환자에서는 효과가 감소될 수 있다. 이러한 경우, 해당 환자에게 비충혈 제거제 투여를 중단하도록 권고해야 한다.
7) 옥시메타졸린 외의 비강투여제제와 이 약과의 병용투여에 대한 임상시험은 수행된 바 없다. 이 약 투여 후 15 분 이내에 다른 비강내 치료제의 투여는 피하도록 해야 한다.
7. 임부, 수유부, 가임여성에 대한 투여
1) 임부
임부에 대한 적절하고 적절히 통제된 연구자료는 없다. 동물 시험에서 생식 독성이 입증된 바 있다. 인체에 대한 잠재적 위해성은 확인되지 않았다. 임신 중에는 명백히 필요한 경우를 제외하고는 이 약을 사용해서는 안된다.
장기 치료 후, 펜타닐은 신생아에게서 금단 증상을 유발할 수 있다.
펜타닐이 태반을 통과하여 태아에게 호흡 억제를 일으킬 수 있기 때문에, 분만 (제왕 절개 포함)시에는 이 약을 사용해서는 안된다.
2) 수유부
펜타닐은 모유로 분비된다. 따라서 임신한 여성은 신생아의 진정효과나 호흡저하 가능성으로 인해 이 약을 사용하지 않는다. 펜타닐 사용 후 최소 5일까지는 다시 수유를 시작해서는 안된다.
마약성 진통제 금단증상은 이 약을 사용하는 여성이 수유 중단시 수유를 받는 영아에서 발생할 수 있다. 펜타닐은 모자 둘 다에 잠재적인 위험성보다 치료 유익성이 명백히 상회하는 경우에 한하여 수유부에 사용될 수 있다.
3) 수태능
수태능에 대한 펜타닐의 영향에 대한 임상 자료는 없다.
8. 고령자, 소아 및 청소년에 대한 투여
1) 고령자에 대한 투여
임상시험 프로그램에서, 104명 (26.1%)의 환자가 60세 이상이었고, 67명 (16.8%)의 환자가 65세 이상, 그리고 15명 (3.8%)의 환자가 75세 이상이었다. 고령 환자에 대해 저용량으로의 적정 경향 또는 이상약물반응 증가 경향은 시사되지 않았다. 그럼에도 불구하고, 펜타닐 대사 및 제거에 있어 신장 기능 및 간기능의 중요성을 감안하여, 고령자에 대해서는 이 약 사용 시 추가적인 주의가 필요하다. 고령자에서의 약동학 자료는 입수되지 않았다.
2) 소아 및 청소년에 대한 투여
만 18세 미만의 소아 및 청소년에 대한 이 약의 안전성 및 유효성은 확립되지 않았다.
9. 과량투여시의 처치
1) 비강 경로를 통한 펜타닐 과량 투여의 증상은 정맥 내 펜타닐 및 다른 마약성 진통제의 과량 투여 증상과 유사할 것으로 예상되며, 그 약리 작용의 연장으로, 호흡 억제가 가장 중대하고 유의한 효과이다.혼수상태가 나타날 수도 있다.
2) 마약성 진통제 과량 투여의 즉각적인 관리에는 환자 기도 확보, 환자의 신체적 및 언어 자극, 의식 상태 평가, 환기 및 순환 상태, 필요할 경우 보조환기가 포함된다.
3) 마약성 진통제를 투여 받은 적이 없는 사람에서 과량 투여 (우발적인 섭취)를 치료하기 위해서는 정맥 내 접근이 필요하며, 임상적으로 필요시 날록손 (naloxone) 또는 다른 마약성 진통제 길항제를 사용해야 한다. 과량 투여 후 호흡 억제의 기간이 마약성 진통제 길항제의 작용 기간 (예를 들어, 날록손의 반감기인 30 ∼ 81 분) 보다 더 길 수 도 있으며, 반복 투여가 필요할 수도 있다. 이러한 용법에 대한 상세 사항은 개별 마약성 진통제 길항제의 제품 특성 요약을 참조하도록 한다.
4) 마약성 진통제 유지 요법 중인 환자에서 과량 투여 치료를 위해 정맥내 접근이 확보되어야 한다. 날록손 또는 다른 마약성 진통제 길항제의 신중투여가 경우에 따라 필요할 수 있으나, 이는 급성 금단 증후군 유발 위험이 생길 수 있다.
5) 최초 투여 후 1 시간 또는 2 시간 후 이 약을 2 차 투여한 후에, Cmax 수준에 있어 통계적으로 유의한 증가가 관찰되었지만, 이러한 증가는 임상적으로 우려되는 축적 또는 과다 노출을 시사할 만한 큰 폭은 아닌 것으로 간주되며, 4시간의 권장 투여 간격에 대해 넓은 안전역을 제공한다.
6) 이 약을 투여한 이후 호흡을 방해하는 근육 강직이 나타나지는 않았지만, 펜타닐과 다른 마약성 진통제 투여시 그러한 증상이 나타날 가능성이 있다. 만약 그러한 증상이 나타난다면, 보조 환기 장치의 사용, 마약성 진통제 길항제 투여로 처치하여야 하며, 최종 대안으로 신경근 차단제를 투여한다.
7) 펜타닐 과량투여시, 독성 백색질 뇌 병증이 관찰되었으며, 특히 심부전의 병력이 있는 환자에서 체인‑스톡스 호흡(Cheyne Stokes Respiration) 사례가 보고되었다.
10. 적용상의 주의
1) 제품을 5 일 동안 사용하지 않은 경우, 한 번 분무한 뒤 사용하여야 한다.
2) 환자가 어린이 보호 용기의 라벨에 제공된 공간에 첫 투여 일자를 기록하는 것을 권장한다.
3) 노즐을 비공과 가까운 거리에 (약 1cm 정도) 두고, 약간 콧대쪽으로 약간 향하도록 한다. 이후 노즐 양쪽의 손가락 그립을 눌렀다가 놓으면 분사가 이루어진다. 클릭 소리가 들리며 카운터에 표시된 숫자가 1씩 증가할 것이다. 분사가 이루어지는 것을 환자가 느끼지 못할 수도 있으므로, 분사가 제대로 전달되었는지 확인하기 위해 클릭 소리와 늘어난 카운터 숫자에 의존해야 한다.
4) 이 약의 스프레이 액적은 코 속에서 겔을 형성한다. 따라서 이 약 투여 직후에 코를 풀지 않도록 한다.
5) 매 사용 후에는 보호 캡을 다시 닫아야 하며 약병을 안전하게 보관할 수 있도록 어린이 보호 용기에 다시 넣어야 한다.
11. 보관 및 취급상의 주의사항
1) 냉동 보관하지 말아야 한다.
2) 차광하기 위해 약 병을 어린이 보호 용기 내에 보관한다.
3) 약 병은 다 사용한 것이더라도, 항상 어린이 보호 용기에 보관하도록 한다.
4) 더 이상 이 약이 필요하지 않은 경우, 처방된 남은 약병은 가능한 한 신속히 다시 어린이 보호 용기에 담아 안전포장용기 상태로 약국이나 병원에 반납한다.
12. 전문가를 위한 정보
1) 약리작용
이 약은 마약성 진통제로, 주로 마약성 μ‑수용체와 상호작용한다. 이 약의 일차적 치료 작용은 진통 및 진정이다. 이차 약리학적 효과는 호흡 억제, 서맥, 저체온증, 변비, 동공 수축, 육체적 의존성 및 다행감이다.
마약성 진통제는 시상 하부 ‑ 뇌하수체 ‑ 부신 또는 ‑ 생식선 축에 영향을 미칠 수 있다. 발현 가능한 몇 가지 변화에는 혈청 프로락틴 증가, 그리고 혈장 코르티솔 및 테스토스테론의 감소가 포함된다. 이러한 호르몬 변화로 인해 임상 징후 및 증상이 발현될 수 있다.
2)약동학적 정보
펜타닐은 친유성이 높으며, 비강 점막을 통해 매우 신속하게 흡수될 수 있고, 위장관 경로를 통해서는 더 느리게 흡수된다.
펜타닐은 초회 통과 간 및 장 대사를 받으며, 대사물은 펜타닐의 치료 효과에 기여하지 않는다.
이 약의 펜타닐의 전달 및 흡수를 조절을 위해 PecSys 비강 약물 전달 시스템을 이용한다. PecSys 시스템은 미세한 액적 미스트 (mist)로 비강 전면 영역으로 분무되도록 하며, 이 미스트는 비강 점막에 존재하는 칼슘 이온과 접촉하여 겔 상태가 된다. 펜타닐은 이러한 겔로부터 확산되어 비점막을 통해 흡수된다. 이러한 겔로 조절되는 펜타닐의 흡수는 최고 혈중 농도 (Cmax)를 억제하면서, 해당 최고 혈중 농도에 신속히 도달 (Tmax)하도록 한다.
◦ 흡수
이 약 (100, 200, 400 및 800 μg)을 경구 경점막 구연산 펜타닐 (OTFC, 200 μg)과 비교한 약물 동태 시험에서, 펜타닐은 이 약의 비강내 단회 투여 후 신속히 흡수되었고, Tmax의 중간값은 15 ∼ 21 분(OTFC의 Tmax는 약 90 분)이었다. 펜타닐의 약동학적 변동성은 이 약 및 OTFC 모두에 대해 치료 후 상당한 수준으로 나타났다. 200 μg OTFC와 비교 시, 팩펜트 치료를 통한 펜타닐의 상대 생체이용률은 약 120 %였다. 주요 약동학적 파라미터는 아래 표1에 제시되어 있다.
표1: 이 약 및 OTFC를 투여 받은 성인 대상자에서의 약동학 파라미터
|
약동학 파라미터
|
이 약 |
OTFC
|
|
100 µg |
200 µg |
400 µg |
800 µg |
200 µg |
|
Tmax
중간값(범위) |
0.33
(0.08-1.50) |
0.25
(0.17-1.60) |
0.35
(0.25-0.75) |
0.34
(0.17-3.00) |
1.50
(0.50 -8.00) |
|
Cmax (pg/ml) 평균값(%CV) |
351.5
(51.3) |
780.8
(48.4) |
1552.1
(26.2) |
2844.0
(56.0) |
317.4
(29.9) |
|
AUC (pg.hour/ml)
평균값(%CV) |
2460.5
(17.9) |
4359.9
(29.8) |
7513.4
(26.7) |
17272
(48.9) |
3735.0
(32.8) |
|
t1/2 (시간)
평균값(%CV) |
21.9
(13.6) |
24.9
(51.3) |
15.0
(24.7) |
24.9
(92.5) |
18.6
(31.4) |
CV: 변동계수
각 용량 농도 곡선에서는 용량 증가와 유사한 형태로 혈중 펜타닐 농도가 증가하는 것으로 나타났다. 100 ‑ 800 μg의 용량 범위에서 Cmax 및 혈중농도‑시간곡선하 면적(AUC)에 대하여 용량 비례성이 입증되었다 (그림 1 참조). 돌발성통증치료를 위해 다른 펜타닐 제품에서 이 약으로 전환하는 경우, 제품 간 생체이용률이 유의하게 다르기 때문에, 이 약의 독립적인 용량 적정이 요구된다.
그림 1: 건강한 대상자에서 이 약 및 OTFC 단회 투여 후의 평균 혈중 펜타닐 농도

꽃가루 유발성 계절성 알레르기성 비염 환자에서 단회 투여 팩펜트의 흡수 및 내약성을 평가하기 위해 약물 동태 시험을 수행하여, 비유발 (un‑challenged), 급성 유발 (acutely challenged (비염) 및 급성 유발 후 옥시메타졸린을 투여한 상태를 비교하였다.
비유발 상태와 급성 유발 상태를 비교한 결과, Cmax, Tmax, 전반적인 펜타닐 노출에 임상적으 로 유의한 차이는 나타나지 않았다. 급성 비염 상태에 대해 옥시메타졸린을 투여한 후, Cmax 및 노출 감소, 및 통계적으로 유의하며 임상적으로 유의할 수 있는 Tmax 증가가 나타났다.
◦ 분포
펜타닐은 친유성이 높으며, 혈관계를 벗어나는 범위까지 잘 분포되어, 겉보기 분포 용적이 높다. 동물 자료에서, 흡수된 후 펜타닐은 뇌, 심장, 폐, 신장 및 비장에 신속히 분포되며, 이후 근육과 지방으로의 재분포는 느린 것으로 나타났다.
펜타닐의 혈장 단백 결합률은 80 ‑ 85 %이다. 주요 결합 단백은 알파‑1‑산성 당단백(alpha‑1‑acid glycoprotein)이지만, 알부민과 지단백도 어느 정도 기여한다. 산증(acidosis)이 있는 경우에는 펜타닐의 유리 분율이 증가한다.
◦ 생체 변환
이 약의 비강 투여 후 대사 경로에 대해서는 임상 시험에서 규명된 바 없다. 펜타닐은 간에서 시토크롬 CYP3A4 동종 효소에 의해 노르펜타닐(norfentanyl)로 대사된다. 동물 시험에서 노르펜타닐은 약리학적으로 활성을 보이지 않았다. 이 약은 N‑탈알킬화(N‑dealkylated) 및 히드록시화 불활성 대사물(hydroxylated inactive metabolites)로의 생체 변환을 통해 90 % 이상 소실된다.
◦ 소실
이 약의 비강 내 투여 후 펜타닐의 제거에 대해서는 질량 균형 시험 (mass balance study)에서 규명된 바 없다. 펜타닐의 투여 용량의 7 % 미만이 소변 중 미변화체로 배설되며, 약 1% 만이 분변을 통해 미변화체로 배설된다. 대사물은 주로 소변 중 배설되며, 분변 배설의 기여는 상대적으로 적은 편이다.
정맥 내 투여 후 펜타닐의 총 혈장 청소율은 약 42 L/h이다.
◦ 선형성/ 비선형성
100 ‑ 800 μg 의 용량 범위에서 Cmax 및 AUC에 대해 용량 비례성이 입증되었다. 신장이나 간 기능 손상이 이 약의 약물 동태에 미치는 영향에 대해서는 연구된 바 없다.
2) 임상시험 정보
이중 눈가림, 무작위 배정, 위약 대조 교차 시험이 수행되었으며, 본 시험에는 마약성 진통제 유지 요법을 투여하면서 하루에 평균 1 ∼ 4 회의 돌발성 통증을 경험 한 114 명의 환자가 이 약의 유효 용량을 확인하기 위한 초기 공개 적정 단계로 등록되었다 (시험 CP043). 이중 눈가림 단계에 진입한 환자는 무작위 순서로 시험약 (7 회) 또는 위약 (3 회)로 돌발성 통증에 대해 10 회까지 투여를 받았다.
적정 단계에 진입한 환자 중, 유효성 부족으로 인해 유효 용량까지 적정할 수 없었던 환자는 7 명 (6.1 %)에 불과했으며, 6 명 (5.3 %)의 환자가 이상반응으로 인해 중도 탈락하였다.
일차 평가 변수는 투약 후 30 분에 총 통증 강도 차이 (SPID30) 비교였고, 위약(4.45), 시험약(6.57)을 나타냈다 (p<0.0001). 또한, 시험약으로 치료된 에피소드의 SPID는 투여 후 10, 15, 45 및 60 분에 위약 대비 유의한 차이를 보이는 것으로 나타났다.
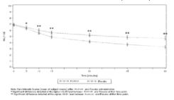
모든 시험약 치료 에피소드 (459 회 에피소드)의 평균 통증 강도 점수 (73 명의 환자)는 위약 (200 회 에피소드)을 투여받은 환자와 비교 시, 투여 후 5, 10, 15, 30, 45 및 60분에 유의하게 더 낮게 나타났다 (그림 2 참조).
그림 2: 각 시점에서의 평균 (± SE) 통증 강도 점수 (mITT 집단)

위약 대비 시험약의 우월한 효과는, 2점 이상의 통증 강도 점수 감소로 정의된, 임상적으로 의미 있는 통증 완화를 동반한 돌발성통증 에피소드의 수를 포함한 2 차 평가 변수의 데이터에 의해 뒷받침되었다. (그림 3).
그림 3: 임상적으로 의미 있는 통증 완화 ‑ 이 약 vs 위약: 통증 강도가 2 점 이상 감소한 환자의 에피소드 %

이중 눈가림, 무작위 배정, 대조약 대조 시험 (시험 044)에서, 이 약은 IRMS(immediate‑release morphine sulfate) 대비 우월성을 보이는 것으로 나타났다. 일차 평가 변수인, 15분 이내 통증 강도 차이 (Pain Intensity Difference)에서 우월성이 입증되었으며, 이는 IRMS 치료 환자 2.69에 비해 시험약 치료 환자에서 3.02로 나타났다 (p = 0.0396).
장기, 공개, 안전성 시험 (시험 045)에서 355 명의 환자가 16 주의 치료기에 등록되었으며, 이 기간 동안 시험약으로 42,227 건의 돌발성 암 통증을 치료하였다. 이 중 100 명의 환자가 연장기에서 26 개월까지 치료를 지속하였다. 공개 치료기 동안 치료받은 355 명의 환자 중 90 %에서는 용량 증량이 필요하지 않았다.
무작위 배정, 위약 대조 시험 (CP043)에서는 73명의 환자에 대해 시험약을 투여한 돌발성통증 에피소드 459건 중 9.4%에서, 투여 60분 이내에 추가 (구제) 약물의 투여가 필요하였다. 장기, 공개 시험 (CP045) 기간 동안에는, 159일의 치료 기간 동안 시험약을 투여한 355명의 환자에서 42,227 회의 에피소드 중 6.0 %가 이에 해당하였다.
3) 비임상 정보
비임상 자료는 안전성 약리, 반복 투여 독성, 유전 독성 및 발암성에 대한 기존의 연구를 바탕으로 이 약이 인간에 대해 특별한 위험을 나타내지 않음을 입증하였다.
랫드와 토끼에서 수행된 배태자 발생 독성 시험에서 기관 형성기 동안 이 약 투여 시, 화합물에 의해 유발된 기형 또는 발생 변이는 나타나지 않았다.
랫드를 대상으로 한, 수태능 및 초기 배발생 시험에서, 고용량 (300 μg/kg/day, 피하 투여)에서 수컷 매개성 효과가 관찰되었으며, 이는 동물 실험에서 나타난 펜타닐의 진정 효과와 일치하였다.
랫드 대상 출생 전후 발생 시험에서, 심각한 모체 독성을 유발하는 용량에서 출산자의 생존율이 현저하게 감소되는 것으로 나타났다. 모체 독성 용량에서 F1 출산자에 대한 추가 소견으로 신체 발달, 감각 기능, 반사 및 행동이 지연되는 것으로 나타났다. 이러한 효과는 모체 관리 변경 및/또는 수유 비율의 감소에 기인한 간접적인 영향이거나, 또는 출산자에 대한 펜타닐의 직접 효과일 수 있다.
펜타닐 발암성 시험 (Tg.AC 마우스에서의 26 주 피부 대체 생체시료분석, 2 년 간의 랫드 피하 발암성 시험)결과, 종양 발생 가능성을 시사하는 어떠한 소견도 발견되지 않았다. 랫드의 발암성 시험의 뇌 절편 평가 결과, 고용량의 구연산 펜타닐 투여군에서 뇌 병변이 확인되었다. 해당 결과의 인체 관련성에 대해서는 확인된 바 없다.