1. 다음 환자에는 투여하지 말 것
1) 이 약은 레테르모비르 또는 이 약의 성분에 과민한 환자에는 투여하지 않는다.
2) 피모짓(pimozide): 이 약과 병용투여할 경우, 레테르모비르에 의한 시토크롬 P450 (CYP3A) 억제로 인해 피모짓의 농도가 증가하여 QT 간격 연장과 Torsades de Pointes를 유발할 수 있다[3. 일반적 주의, 2) 약물상호작용으로 인한 이상반응 또는 치료 효과의 감소 위험 항 및 4. 상호작용, 2) 이 약이 다른 약물에 미치는 영향 항 참조].
3) 맥각 알칼로이드: 이 약과 병용투여할 경우, 레테르모비르에 의한 CYP3A의 억제로 인해 알칼로이드(에르고타민[ergotamine] 및 디히드로에르고타민[dihydro‑ergotamine])의 농도가 증가하여 중독증을 유발할 수 있다[3. 일반적 주의, 2) 약물상호작용으로 인한 이상반응 또는 치료 효과의 감소 위험 항 및 4. 상호작용, 2) 이 약이 다른 약물에 미치는 영향 항 참조].
4) 사이클로스포린과 병용시: 아토르바스타틴, 심바스타틴, 피타바스타틴 또는 로수바스타틴의 병용(이들 약물의 농도가 현저히 증가하여 근육병증이나 횡문근융해증을 유발할 수 있다). 다비가트란의 병용투여는 다비가트란의 혈중 농도를 증가시킬 수 있으며, 이는 출혈 위험의 증가와 관련될 수 있다. [3. 일반적 주의, 2) 약물상호작용으로 인한 이상반응 또는 치료 효과의 감소 위험 항 및 4. 상호작용, 2) 이 약이 다른 약물에 미치는 영향 항 참조]
2. 이상반응
1) 임상시험
성인
동종조혈모세포이식(allogeneic HSCT)을 받은 성인 CMV‑혈청 양성[R+] 환자
조혈모세포이식 후 14주차(~100일)까지의 예방요법
이 약의 안전성은 제3상, 무작위배정, 이중맹검, 위약‑대조 임상시험(P001)에서 평가되었는데, 565명의 대상자들을 무작위배정하여 조혈모세포이식 후 14주까지 이 약(N=373) 또는 위약(N=192)을 투여하고 조혈모세포이식 후 24주까지 안전성을 추적 관찰하였다. 이상사례는 이 약 투여 중 또는 투여 완료/중단 시점에서 2주 이내 평가되었다.
약물 관련성과 상관없이 심장 관련 이상사례 발생률은 위약(6%) 보다 이 약(13%)에서 더 높았다. 가장 흔한 심장 관련 이상사례는 빈맥(이 약 4%, 위약 2%) 및 심방세동(이 약 3%, 위약 1%)이었다. 한 가지 이상 심장 관련 이상사례를 경험한 환자 대부분은 경증 또는 중등증이었다.
이 약에서 10% 이상 발생하였고 위약보다 2% 이상 더 높은 빈도로 보고된 가장 흔한 이상사례는 오심, 설사, 구토, 말초부종, 기침, 두통, 피로, 복통이었으며 표 1과 같다.
표 1: P001에서 이 약 투여군의 ≧10%에서 발생하였고 위약보다 2% 더 높은 빈도로 보고된 이상사례
|
이상사례 |
이 약 (N=373) |
위약 (N=192) |
|
오심 |
27% |
23% |
|
설사 |
26% |
24% |
|
구토 |
19% |
14% |
|
말초부종 |
14% |
9% |
|
기침 |
14% |
10% |
|
두통 |
14% |
9% |
|
피로 |
13% |
11% |
|
복통 |
12% |
9% |
전반적으로 이상사례로 인한 투여중단은 두 군에서 유사하였다(이 약 13%, 위약 12%). 이 약의 투여 중단을 초래한 가장 흔한 이상사례는 오심이었다(이 약 2%, 위약 1%). 이 약의 투여 중단을 초래한 이상사례 중 중등증의 호흡곤란과 관련있는 과민성 반응은 이 약 경구 투여 제형에서 주사 제형으로 교체하여 첫 정맥내 주입을 한 1명에서 보고되었다.
임상검사치 이상
전반적으로, 임상검사치(예, 혈액학, 화학, 신장 및 간 기능)에서 임상적으로 유의한 변화 가능성이 있는 대상자의 비율은 이 약 및 위약 투여군에서 유사하였다. 이 약과 위약 투여군 간에 생착률이나 생착시기에는 차이가 없었다.
P001에 참여한 남성에서 고환 독성의 생물표지자(biomarker)를 평가하였다. 남성 성호르몬(혈청 inhibin B, 황체형성호르몬[LH], 난포자극호르몬[FSH] 및 테스토스테론)의 기저치로부터의 변화는 이 약 및 위약 투여군에서 유사하였다.
조혈모세포이식 후 14주차(~100일)부터 28주차(~200일)까지의 예방요법
이 약의 안전성은 제3상 무작위배정, 이중맹검, 위약‑대조 임상시험(P040)에서 평가되었는데, 조혈모세포이식 후 100일까지 이 약의 예방요법을 완료한 218명의 대상자를 무작위배정하여 조혈모세포이식 후 28주차(~200일)까지 이 약(N=144) 또는 위약(N=74)을 투여하고 조혈모세포이식 후 48주차까지 안전성을 추적 관찰하였다. 이상사례는 이 약 투여 중 또는 투여 완료/중단 시점에서 2주 이내 평가되었다.
이 약을 투여받은 대상자 중 최소 10%에서 보고된 이상사례에 설사(이 약12%; 위약 12%) 및 오심(이 약 11%; 위약 18%)이 포함되었다. 이 약을 투여받은 대상자의 5%와 위약을 투여받은 대상자의 1%에서 이상사례로 인해 투약이 중단되었다. 이 약의 투여 중단을 초래한 이상사례 중 어느 것도 약물과 관련된 것으로 간주되지 않았다. 조사자가 평가한 약물과의 관련성과 상관없이 심장 관련 이상사례 발생률은 이 약과 위약군에서 각각 4%였다. 심장 관련 이상사례는 두 군에서 1회 이상 보고되지 않았다.
성인 신장이식 수여자[D+/R‑]
이 약의 안전성은 제3상 무작위배정, 이중 맹검, 활성 대조 임상시험(P002)에서 평가되었는데, 이식 후 28주까지 이 약(N=292) 또는 발간시클로비르(N=297)를 투여받은 589명을 대상으로 실시하였다. 이상사례는 이 약 투여 중 또는 투여 완료/중단 시점에서 2주 이내 평가되었다.
이 약을 투여받은 대상자 중 최소 10%에서 보고되고 발간시클로비르보다 빈도가 높았던(이 약 32%, 발간시클로비르 29%) 이상사례는 설사였다. 이 약을 투여받은 대상자의 4%와 발간시클로비르를 투여받은 대상자의 14%에서 이상사례로 인해 투약이 중단되었다. 시험약 중단을 초래한 이상사례 중 가장 빈번하게 보고된 이상사례는 중성구감소증(이 약 1%, 발간시클로비르 2%) 및 백혈구감소증(이 약 1%, 발간시클로비르 5%)이었다.
이식 후 28주차까지 백혈구 감소증 또는 중성구 감소증(백혈구 감소증 또는 중성구 감소증의 이상사례, 또는 총 백혈구수<3500 cells/μL, 또는 절대 중성구수 <1000 cells/μL) 이 있는 대상자의 비율은 발간시클로비르군에 비해 이 약에서 더 낮았다(이 약 26%, 발간시클로비르 64%).
임상검사치 이상
이식 후 28주차까지 보고된 선별된 임상검사치 이상은 아래 표에 나와있다.
표 2: P002 선별된 임상검사치 이상
|
|
이 약
N=292 |
발간시클로비르
N=297 |
|
절대 중성구수 (cells/µL) |
|
|
|
< 500 |
2% |
7% |
|
500 -< 750 |
1% |
4% |
|
750 -< 1,000 |
1% |
8% |
|
헤모글로빈 (g/dL) |
|
|
|
< 6.5 |
2% |
0% |
|
6.5 -< 8.0 |
4% |
5% |
|
8.0 -< 9.5 |
29% |
32% |
|
혈소판 (cells/µL) |
|
|
|
< 50,000 |
0% |
0% |
|
50,000 -< 100,000 |
1% |
3% |
|
백혈구 (cells/µL) |
|
|
|
< 1,000 |
1% |
2% |
|
1,000 -< 2,000 |
5% |
19% |
|
2,000 -< 2,500 |
4% |
14% |
|
혈청 크레아티닌 (mg/dL) |
|
|
|
> 2.5 |
24% |
22% |
|
> 1.5 -2.5 |
49% |
52% |
소아
동종조혈모세포이식(allogeneic HSCT)을 받은 소아 환자
이 약의 안전성은 제2b상, 공개 임상, 단일군 임상시험(P030)에서 평가되었는데, 이식 후 14주까지 이 약을 투여받은 18세 미만의 63명을 대상으로 실시하였다.
안전성 프로파일은 성인 대상의 임상시험에서 관찰된 이 약의 안전성 프로파일과 일관되게 나타났다.
2) 국내 시판 후 조사결과
‑ 국내에서 재심사를 위하여 6년 동안 934명을 대상으로 실시한 시판 후 조사 결과, 이상사례의 발현율은 인과관계와 상관없이 69.91%(653/934명, 총 3,600건)로 보고되었다. 이 중 인과관계를 배제할 수 없는 중대한 약물이상반응 및 인과관계를 배제할 수 없는 예상하지 못한 약물이상반응은 발현 빈도에 따라 아래 표에 나열하였다.
|
발현빈도 |
기관계 |
중대한 약물이상반응
1.07%(10/934명, 12건) |
예상하지 못한 약물이상반응
2.89%(27/934명, 47건) |
|
흔하지 않게
(0.1~1% 미만) |
각종 위장관 장애 |
- |
소화 불량, 변비, 복부 불편감 |
|
임상 검사 |
- |
혈압 증가, 간 기능 시험 증가, 혈액 요산 증가 |
|
전신 장애 및 투여 부위 병태 |
- |
발열, 부종 |
|
감염 및 기생충 감염 |
코로나바이러스 감염,
기기 관련 패혈증 |
코로나바이러스 감염, 기기 관련 패혈증 |
|
각종 면역계 장애 |
구강 이식편 대 숙주 질환, 눈의 이식편 대 숙주 질환 |
구강 이식편 대 숙주 질환, 눈의 이식편 대 숙주 질환 |
|
피부 및 피하 조직 장애 |
- |
소양증 |
|
호흡기, 흉곽 및 종격 장애 |
- |
알레르기성 비염 |
|
대사 및 영양 장애 |
- |
식욕 감소, 고요산 혈증, 산증 |
|
각종 신경계 장애 |
말초 신경 병증, 두개 내 출혈 |
말초 신경 병증, 두개 내 출혈, 감각 저하, 주기성 사지 운동 장애 |
|
신장 및 요로 장애 |
질소 혈증 |
배뇨 곤란, 빈뇨, 질소 혈증, 요실금 |
|
혈액 및 림프계 장애 |
혈구 감소증 |
빈혈, 혈구 감소증 |
|
각종 정신 장애 |
- |
불면 |
|
양성, 악성 및 상세 불명의 신생물(낭종 및 용종 포함) |
재발성 급성 골수성 백혈병,
골수 형성 이상 증후군 |
재발성 급성 골수성 백혈병,
골수 형성 이상 증후군 |
|
손상, 중독 및 시술 합병증 |
생착 실패 |
생착 실패 |
|
생식계 및 유방 장애 |
- |
골반 통증, 질 출혈 |
|
각종 눈 장애 |
- |
눈부심, 유리체 부유물 |
|
귀 및 미로 장애 |
- |
체위성 현훈 |
3. 일반적 주의
1) 조혈모세포 수여자에서의 거대세포바이러스(CMV) DNA 모니터링
제3상 임상시험(P001)에서 이 약의 안전성 및 유효성은 예방요법 시작 전 CMV DNA 검사 결과 음성인 조혈모세포이식 환자에서 평가되었다. CMV DNA는 이식 후 14일까지 매주, 이후 24주까지 격주로 모니터링되었다. 이 약의 예방요법 완료 후에도 CMV 재활성화에 대한 모니터링을 권장한다.
2) 약물상호작용으로 인한 이상반응 또는 치료 효과의 감소 위험
이 약과 특정 의약품을 병용투여 시 알려진 또는 잠재적으로 유의한 약물상호작용이 발생할 수 있으며, 그 중 일부는 다음과 같은 결과를 초래할 수 있다.
병용 약물이나 이 약의 노출이 증가하여 임상적으로 유의한 이상반응이 발생할 수 있다.
병용 약물의 혈장 농도가 현저히 감소하여 병용 약물의 치료 효과가 감소할 수 있다.
용량에 대한 권고사항을 포함하여, 이러한 알려진 또는 잠재적으로 유의한 약물상호작용을 예방하거나 관리하기 위한 조치에 관하여 표 3을 참조한다[1. 다음 환자에는 투여하지 말 것 항, 4. 상호작용, 2) 이 약이 다른 약물에 미치는 영향 항 및 3) 확인된 및 기타 잠재적 약물상호작용 항 참조].
이 약은 병용투여 시 CYP3A 기질의 혈장 농도를 증가시킬 수 있으므로, 좁은 치료범위를 가진 CYP3A 기질인 약물(예, 알펜타닐, 펜타닐 및 퀴니딘)과 주의하여 사용해야 한다. 병용투여된 CYP3A 기질의 면밀한 모니터링 및/또는 용량 조절이 권장된다[표 3, 4. 상호작용, 2) 이 약이 다른 약물에 미치는 영향 항 및 3) 확인된 및 기타 잠재적 약물상호작용 항 참조].
4. 상호작용
건강한 성인 시험대상자를 대상으로 이 약과 병용투여될 가능성이 있는 약물 또는 약동학적 상호작용에 대한 지표로 일반적으로 사용되는 약물을 투여하여 약물상호작용 연구를 수행하였다.
1) 다른 약물이 이 약에 미치는 영향
레테르모비르는 유기 음이온‑수송 폴리펩타이드 1B1/3 (organic anion‑transporting polypeptide, OATP1B1/3) 및 P‑당단백질(P‑glycoprotein, P‑gp) 수송체, UDP‑글루쿠론산 전이효소 1A1/3 (UDP‑glucuronosyltransferase, UGT1A1/3)의 기질이다. 이 약과 OATP1B1/3 수송체를 억제하는 약물을 함께 투여하게 되면 레테르모비르의 혈장 농도가 증가할 수 있다. 만약 이 약을 사이클로스포린(강력한 OATP1B1/3 억제제)과 병용투여할 경우, 성인 및 30 kg 이상인 소아 환자에서 이 약의 권장 용량은 1일 1회 240 mg이다[용법▪용량, 2. 조혈모세포이식(HSCT) 또는 신장이식을 받은 성인 및 소아에서의 용량 조절 항 참조].
레테르모비르의 혈장 농도가 감소할 가능성이 있으므로, 수송체(예, P‑gp) 및/또는 효소(예, UGTs)에 대한 강력하거나 중등도의 유도제와 이 약의 병용투여는 권장되지 않는다[표 3 참조].
리팜핀 병용투여 시, 초기에 레테르모비르의 혈장 농도가 증가하나(OATP1B1/3 억제로 인함) 이는 임상적으로 유의하지 않으며, 지속적인 병용투여 시 레테르모비르의 혈장 농도가 임상적으로 유의하게 감소(치료농도범위아래(subtherapeutic level))한다[12. 전문가를 위한 정보, 가. 임상약리학, 4) 약물상호작용 연구 항, 표 8 참조].
2) 이 약이 다른 약물에 미치는 영향
이 약과 미다졸람을 병용투여 시 미다졸람의 혈장 농도가 증가하게 되며, 이는 레테르모비르가 중등도의 CYP3A 억제제임을 나타낸다. 이 약을 CYP3A 기질인 약물과 병용투여 시, 병용투여된 CYP3A 기질의 혈장 농도가 임상적으로 유의하게 증가할 수 있다[1. 다음 환자에는 투여하지 말 것 항 및 3. 일반적 주의, 2) 약물상호작용으로 인한 이상반응 또는 치료 효과의 감소 위험 항, 표 3 참조].
레테르모비르는 OATP1B1/3 수송체의 억제제이다. 이 약과 OATP1B1/3 수송체의 기질을 병용투여할 경우 병용투여된 OATP1B1/3 기질의 혈장 농도가 임상적으로 유의하게 증가할 수 있다[표 3 참조].
3) 확인된 및 기타 잠재적 약물상호작용
이 약의 투여로 인해 병용 약물의 용량을 조절하는 경우, 이 약의 투여를 완료한 후에 약물 용량을 재조절해야한다.
이 약을 사이클로스포린과 병용투여 시, CYP3A 기질에 대한 상호작용은 강력한 CYP3A 억제제와 유사할 수 있다. CYP3A 기질과 강력한 CYP3A 억제제의 병용투여에 관한 제품 정보를 참조한다.
이 약을 사이클로스포린과 병용투여 시, CYP3A와 OATP1B1/3 모두의 기질에 대한 상호작용은 이 약을 단독으로 투여하는 경우와 다를 수 있다. 병용 약물 및 사이클로스포린에 대한 제품 정보를 참조한다.
표 3에 확인되었거나 가능성이 있는 임상적으로 유의한 약물상호작용의 목록이 기재되어 있다. 기재된 약물상호작용은 이 약에 대해 실시된 성인 임상시험에 근거하거나 또는 이 약과 발생할 수 있는 약물상호작용을 예상한 것이다[3. 일반적 주의, 2) 약물상호작용으로 인한 이상반응 또는 치료 효과의 감소 위험 항 참조].
표 3: 잠재적으로 유의한 약물상호작용: 성인 약물상호작용 연구 또는 예상되는 상호작용에 근거하여 용량 조절이 권장될 수 있음
*
|
병용약물 분류 및/또는 제거 경로: 약물명 |
농도에 미치는 영향† |
임상적 의견 |
|
항부정맥제 |
|
아미오다론 |
↑아미오다론 |
이 약을 아미오다론과 병용투여했을 때, 아미오다론의 혈장 농도가 증가한다. 병용투여 시, 아미오다론과 관련된 이상사례에 대한 면밀한 임상 모니터링이 권장된다. 아미오다론 농도를 자주 모니터링한다. |
|
항생제 |
|
나프실린 |
↓레테르모비르 |
이 약을 나프실린과 병용투여했을 때, 레테르모비르의 혈장 농도가 감소할 수 있다.
이 약과 나프실린의 병용투여는 권장되지 않는다. |
|
항응고제 |
|
와파린 |
↓와파린 |
이 약을 와파린과 병용투여했을 때, 와파린의 혈장 농도가 감소할 수 있다.
와파린을 이 약과 병용투여 시, INR을 자주 모니터링해야 한다§. |
|
항경련제 |
|
카르바마제핀 |
↓레테르모비르 |
이 약을 카르바마제핀과 병용투여했을 때, 레테르모비르의 혈장 농도가 감소할 수 있다.
이 약과 카르바마제핀의 병용투여는 권장되지 않는다. |
|
페노바르비탈 |
↓레테르모비르 |
이 약을 페노바르비탈과 병용투여했을 때, 레테르모비르의 혈장 농도가 감소할 수 있다.
이 약과 페노바르비탈의 병용투여는 권장되지 않는다. |
|
페니토인 |
↓레테르모비르
↓페니토인 |
이 약을 페니토인과 병용투여했을 때, 레테르모비르의 혈장 농도가 감소할 수 있다. 이 약은 페니토인의 혈장 농도를 감소시킬 수 있으므로 페니토인 농도를 자주 모니터링해야 한다§.
이 약과 페니토인의 병용투여는 권장되지 않는다. |
|
당뇨병약 |
|
글리부리드
(glyburide), 레파글리니드 |
↑글리부리드
↑레파글리니드 |
이 약은 글리부리드 또는 레파글리니드의 혈장 농도를 증가시킬 수 있다. 포도당 농도를 자주 모니터링하는 것이 권장된다§.
이 약을 사이클로스포린과 병용투여 시, 글리부리드의 용량조절이 필요할 수 있다.
이 약을 사이클로스포린과 병용투여 시, 레파글리니드의 투여는 권장되지 않는다. |
|
항진균제 |
|
보리코나졸‡ |
↓보리코나졸 |
이 약을 보리코나졸과 병용투여했을 때, 보리코나졸의 혈장 농도가 감소한다. 병용투여 필요 시, 보리코나졸의 효과 감소에 대한 면밀한 모니터링이 권장된다§. |
|
항미코박테리아제(Antimycobacterials) |
|
리파부틴 |
↓레테르모비르 |
이 약을 리파부틴과 병용투여했을 때, 레테르모비르의 혈장 농도가 감소할 수 있다.
이 약과 리파부틴의 병용투여는 권장되지 않는다. |
|
리팜핀‡ |
↓레테르모비르 |
이 약을 리팜핀과 병용투여했을 때, 레테르모비르의 혈장 농도가 감소한다.
이 약과 리팜핀의 병용투여는 권장되지 않는다. |
|
정신병치료제 |
|
티오리다진
(thioridazine) |
↓레테르모비르 |
이 약을 티오리다진과 병용투여했을 때, 레테르모비르의 혈장 농도가 감소할 수 있다.
이 약과 티오리다진의 병용투여는 권장되지 않는다. |
|
엔도텔린 길항제(Endothelin Antagonists) |
|
보센탄 |
↓레테르모비르 |
이 약을 보센탄과 병용투여했을 때, 레테르모비르의 혈장 농도가 감소할 수 있다.
이 약과 보센탄의 병용투여는 권장되지 않는다. |
|
생약제제(Herbal Product) |
|
St. John’s wort (Hypericum perforatum) |
↓레테르모비르 |
이 약을 St. John’s wort와 병용투여했을 때, 레테르모비르의 혈장 농도가 감소할 수 있다.
이 약과 St. John’s wort의 병용투여는 권장되지 않는다. |
|
HIV치료제 |
|
에파비렌즈 |
↓레테르모비르 |
이 약을 에파비렌즈와 병용투여했을 때, 레테르모비르의 혈장 농도가 감소할 수 있다.
이 약과 에파비렌즈의 병용투여는 권장되지 않는다. |
|
에트라비린 |
↓레테르모비르 |
이 약을 에트라비린과 병용투여했을 때, 레테르모비르의 혈장 농도가 감소할 수 있다.
이 약과 에트라비린의 병용투여는 권장되지 않는다. |
|
네비라핀 |
↓레테르모비르 |
이 약을 네비라핀과 병용투여했을 때, 레테르모비르의 혈장 농도가 감소할 수 있다.
이 약과 네비라핀의 병용투여는 권장되지 않는다. |
|
HMG-CoA 환원효소 억제제 |
|
아토르바스타틴‡ |
↑아토르바스타틴 |
이 약을 아토르바스타틴과 병용투여했을 때, 아토르바스타틴의 농도가 증가한다. 근육병증과 같은 스타틴 관련 이상사례를 면밀하게 모니터링해야 한다. 이 약과 병용투여 시, 아토르바스타틴의 용량은 1일 20 mg을 초과해서는 안된다§.
이 약을 사이클로스포린과 병용투여 시, 아토르바스타틴의 투여는 금기이다. |
|
피타바스타틴, 심바스타틴, 로수바스타틴 |
↑피타바스타틴
↑심바스타틴
↑로수바스타틴 |
이 약과 피타바스타틴, 심바스타틴 또는 로수바스타틴의 병용투여는 권장되지 않는다.
이 약을 사이클로스포린과 병용투여 시, 피타바스타틴, 심바스타틴 또는 로수바스타틴의 투여는 금기이다[1. 다음 환자에는 투여하지 말 것 항 참조]. |
|
기타 HMG-CoA 환원효소 억제제
예: 플루바스타틴, 로바스타틴, 프라바스타틴 |
↑HMG-CoA 환원효소 억제제 농도 |
이 약은 스타틴 혈장 농도를 증가시킬 수 있다. 근육병증과 같은 스타틴 관련 이상사례를 면밀하게 모니터링해야 한다. 이 약과 병용투여 시, 용량 조절이 필요할 수 있다§.
이 약을 사이클로스포린과 병용투여 시, 로바스타틴의 투여는 권장되지 않는다.
이 약을 사이클로스포린과 병용투여 시, 구체적인 스타틴의 용량 권장사항은 스타틴의 제품 정보를 참조한다. |
|
면역억제제 |
|
사이클로스포린‡ |
↑사이클로스포린
↑레테르모비르 |
이 약을 사이클로스포린과 병용투여했을 때, 레테르모비르와 사이클로스포린 농도가 모두 증가한다. 이 약을 사이클로스포린(OATP1B1/3 억제제)과 병용투여 시, 성인 및 30 kg 이상인 소아에서 이 약의 용량은 1일 1회 240 mg으로 감량하여야 한다[용법·용량, 2. 조혈모세포이식(HSCT) 또는 신장이식을 받은 성인 및 소아에서의 용량 조절 항 및 12. 전문가를 위한 정보, 가. 임상약리학 항 참조]. 이 약 투여 중 또는 이 약의 투여 중단 후 사이클로스포린의 전혈 농도를 자주 모니터링해야 하고 이에 따라 사이클로스포린의 용량을 조절한다§. |
|
시롤리무스‡ |
↑시롤리무스 |
이 약을 시롤리무스와 병용투여했을 때, 시롤리무스의 농도가 증가한다. 이 약 투여 중 또는 이 약의 투여 중단후 시롤리무스의 전혈 농도를 자주 모니터링해야 하고 이에 따라 시롤리무스의 용량을 조절한다§. |
|
타크로리무스‡ |
↑타크로리무스 |
이 약을 타크로리무스와 병용투여했을 때, 타크로리무스의 혈장 농도가 증가한다. 이 약 투여 중 또는 이 약의 투여 중단후 타크로리무스의 전혈 농도를 자주 모니터링해야 하고 이에 따라 타크로리무스의 용량을 조절한다§. |
|
프로톤 펌프 억제제 |
|
오메프라졸
판토프라졸 |
↓오메프라졸
↓판토프라졸 |
이 약을 프로톤 펌프 억제제(Proton pump inhibitors, PPI)와 병용투여했을 때, PPI의 혈장 농도가 감소할 수 있다. 이 약과 병용투여 시, 임상 모니터링과 용량 조절이 필요할 수 있다§. |
|
각성제(Wakefulness-Promoting Agents) |
|
모다피닐 |
↓레테르모비르 |
이 약을 모다피닐과 병용투여했을 때, 레테르모비르의 혈장 농도가 감소할 수 있다.
이 약과 모다피닐의 병용투여는 권장되지 않는다. |
|
CYP2C8 기질¶ |
|
예: 로시글리타존 |
↑CYP2C8 기질의 농도 |
이 약은 CYP2C8 기질의 혈장 농도를 증가시킬 수 있다.
로시글리타존과 병용투여 시, 포도당 농도를 자주 모니터링하는 것이 권장된다§. |
|
CYP3A 기질 |
|
예: 알펜타닐, 펜타닐, 미다졸람‡, 퀴니딘 |
↑CYP3A 기질의 농도 |
이 약은 CYP3A 기질의 혈장 농도를 증가시킬 수 있다.
이 약을 CYP3A 기질과 병용투여 시, CYP3A 기질과 중등도의 CYP3A 억제제의 병용투여에 관한 제품 정보를 참조한다§.
병용투여 시, 이러한 약물과 관련된 이상반응을 자주 모니터링할 것이 권장된다. CYP3A 기질의 용량 조절이 필요할 수 있다§ [3. 일반적 주의, 2) 약물상호작용으로 인한 이상반응 또는 치료 효과의 감소 위험 항 참조]. |
|
* 이 표가 모든 정보를 포함하는 것은 아니다.
† ↓ =감소, ↑=증가
‡ 이러한 상호작용은 연구되었다.
§ 각각의 제품 정보를 참조한다.
¶ 생리학에 기반한 약동학적 모델링에 근거함. |
4) 이 약과 임상적으로 유의한 상호작용이 없는 약물
이 약을 P‑gp/BCRP 억제제인 이트라코나졸과 병용투여했을 때, 임상적으로 유의한 약물상호작용은 없었다.
임상시험에서 이 약과 병용투여한 후, P‑gp 기질인 디곡신 및 OAT3기질인 아시클로버의 혈장 농도에 임상적으로 유의한 변화는 없었다.
임상시험들에서 레테르모비르와 다음 열거된 약물 간의 상호작용이 연구되었다: 미코페놀레이트 모페틸, 플루코나졸, 포사코나졸 및 경구 피임약(에티닐 에스트라디올, 레보노르게스트렐). 이 약을 이러한 약물들과 병용투여 시 용량 조절은 필요하지 않다.
5. 임부, 수유부 및 가임여성에 대한 투여
1) 임부
이 약이 임신 결과에 위험을 초래하는지 여부를 확인하기 위하여 사람에서 실시된 적절한 연구 자료는 없다. 랫드 및 토끼에서 배▪태자 독성이 관찰되었다. 이 때 모체에서의 독성 전신 노출도는 사람에 대한 권장용량(RHD)에서의 노출도의 약 11배(랫드) 및 2배(토끼)였다. 랫드에서는 이 노출도에서 태자 기형이 관찰되었다. 랫드에서의 출생 전▪후 발생시험(경구 투여)에서 사람에 대한 권장용량(RHD)에서의 노출도의 약 2배에 해당하는 모체 노출도에서 총한배새끼 소실이 관찰되었다. 안전역을 계산하기 위해, 사람에 대한 권장용량(RHD)에서의 AUC는 480 mg IV를 투여한 HSCT를 받은 환자에서의 평균 AUC로 정의된다.
해당 집단에 대한 주요 선천적 장애 및 유산의 기저 위험은 알려져 있지 않다. 인간에 대한 잠재적인 위험 또한 알려진 바 없다.
2) 수유부
레테르모비르가 사람의 모유로 분비되는지, 모유 생성에 영향을 주는지, 또는 모유 수유 중인 유아에게 영향이 있는지는 알려져 있지 않다.
수유 중인 랫드에게 투여했을 때, 레테르모비르는 모유로 분비되었다.
수유부의 이 약에 대한 임상적 필요성 및 이 약 또는 산모의 기저 상태가 수유 중인 유아에게 미칠 잠재적인 부정적 영향과 함께 모유 수유가 발달 및 건강에 미치는 유익성을 고려하여야 한다.
3) 수태능
사람에서의 수태능 영향에 대한 자료는 없다. 랫드에서의 수태능 시험에서 암컷 랫드의 수태능에는 영향이 없었으나 수컷 랫드에서 사람에 대한 권장용량에서의 노출도의 약 3배 이상 노출도에서 고환 독성에 따른 수태능 감소가 관찰되었다. 원숭이에서는 이러한 영향이 관찰되지 않았다.
수컷 마우스 대상 13주 반복투여 독성시험에서 사람에 대한 권장용량에서의 노출도의 약 3.5배 이상 노출도에서 생식기관 독성은 관찰되지 않았다.
6. 소아에 대한 투여
조혈모세포이식(HSCT)을 받은 18세 미만의 소아 환자에서 이 약의 안전성과 유효성이 평가되었다. 신장이식을 받은 40 kg 미만의 소아 환자에서 이 약의 안전성과 유효성은 평가되지 않았다[사용상의 주의사항, 2. 이상반응, 1) 임상시험 항; 12. 전문가를 위한 정보, 가. 임상약리학, 3) 약동학적 정보 항 및 나. 임상시험 정보, 3) 동종조혈모세포이식(allogeneic HSCT)을 받은 소아 환자 항 참조].
7. 고령자에 대한 투여
동종조혈모세포이식을 받은 환자들을 대상으로 실시된 P001 시험에서 만 65세 이상 고령자는 56명(15%)이 포함되었다. 조혈모세포이식을 받은 환자들을 대상으로 실시된 P040 시험에서 만 65세 이상 고령자는 32명(22%)이었다. 신장이식을 받은 환자들을 대상으로 실시된 P002 시험에서 만 65세 이상 고령자는 48명(16%)이었다. 각각의 임상시험에서 만 65세 이상의 고령자와 젊은 환자에서 전반적인 안전성은 유사하였다.
8. 신장애 환자에 대한 투여
크레아티닌 청소율(CLcr)이 10 mL/min 이상의 신장애 환자에서 용량조절은 필요하지 않다. 투석 환자를 포함한 크레아티닌 청소율(CLcr)이 10 mL/min 미만의 말기 신질환 환자에서 이 약은 평가된 바 없다[용법▪용량, 3. 신장애 환자 항 및 4. 간장애 환자 항, 사용상의 주의사항, 9. 간장애 환자에 대한 투여 항 참조].
9. 간장애 환자에 대한 투여
이 약은 경증(Child‑Pugh Class A)에서 중등증(Child‑Pugh Class B) 간장애에 대한 용량 조절이 필요하지 않다. 이 약은 중증(Child‑Pugh Class C) 간장애 환자들에게 권장되지 않는다[용법▪용량, 4. 간장애 환자 항 참조].
이 약은 중등증의 간장애와 중등증 또는 중증의 신장애를 함께 가진 환자들에게 권장되지 않는다[용법▪용량, 4. 간장애 환자 항 참조].
10. 과량투여시의 처치
제1상 임상시험에서 86명의 건강한 성인 시험대상자들은 이 약 720 mg/일부터 1440 mg/일까지의 용량을 최대 14일간 투여받았다. 이상반응 양상은 치료용량(480 mg/일)에서 관찰된 것과 유사하였다. 이 약의 과량투여 시 특정한 해독제는 없다. 과량투여한 경우, 이상반응 및 적절한 증상 치료를 위해 환자를 모니터링하는 것이 권장된다.
투석으로 이 약을 체순환으로부터 유의하게 제거할 수 있는지 여부는 알려진 바 없다.
11. 보관 및 취급상의 주의사항
1) 어린이의 손이 닿지 않는 곳에 보관할 것
2) 이 약은 사용 전까지 원래의 포장 용기에 보관할 것
12. 전문가를 위한 정보
가. 임상약리학
1) 약리작용
이 약은 CMV에 작용하는 항바이러스제이다[12. 전문가를 위한 정보, 가. 임상약리학, 2) 약력학적 정보, (2) 미생물학 항 참조].
2) 약력학적 정보
(1) 심장 전기생리학
건강한 성인을 대상으로 실시된 무작위배정, 단회 투여, 위약 및 활성 대조(목시플록사신 400 mg 경구 투여), 4‑기간 교차 투여, QT 심층평가 연구에서 레테르모비르를 960 mg 용량까지 IV로 투여했을 때 QTc 간격에 미치는 효과를 평가하였다. 레테르모비르 960 mg을 IV로 투여 시 혈장농도는 480 mg IV 투여 시보다 약 2배 높으나, QTc를 임상적으로 유의한 수준까지 연장시키지 않는다.
(2) 미생물학
⓵ 작용기전
레테르모비르는 바이러스 복제에 필요한 CMV DNA terminase 복합체를 억제한다. 생화학적 특성과 전자현미경 관찰 소견에 의하면, 레테르모비르는 적절한 단위 길이의 유전체(genome) 형성에 영향을 주고 바이러스 입자(virion)의 성숙을 방해하는 것으로 입증되었다.
⓶ 항바이러스 활성
감염의 세포배양 모델에서 다양한 실험실 및 임상 CMV 균주들에 작용하는 레테르모비르의 평균 EC<SUB>50</SUB>은 2.1 ± 0.7 nM (범위 0.7 ~ 6.1 nM, n=74)이었다.
⓷ 내성
세포배양
CMV 유전자 UL51, UL56과 UL89는 CMV DNA terminase의 subunit들을 인코딩한다. 세포배양을 통해 레테르모비르에 대해 낮은 감수성을 가지는 CMV 변이형을 선별하였고 각 치환 돌연변의 위치는 다음과 같다: pUL51(P91S, A95V), pUL56(C25F, S229F, V231A, V231L, N232Y, V236A, V236L, V236M, E237D, L241P, T244K, T244R, L254F, L257F, L257I, K258E, F261C, F261L, F261S, Y321C, C325F, C325R, C325W, C325Y, L328V, M329T, A365S, N368D, R369G, R369M, R369S), 및 pUL89(N320H, D344E). 이러한 치환들을 발현하고 있는 재조합 CMV 변이형에서 EC<SUB>50</SUB>값은 야생형 표준 바이러스의 결과값보다 1.6 ~ 9,300배 더 높았다.
임상시험
조혈모세포이식(HSCT)을 받은 성인 환자 131명에게 레테르모비르 60, 120, 240 mg/day 또는 위약을 84일까지 투여하여 평가한 제2b상 임상시험에서, 레테르모비르를 투여한 시험대상자들 중 예방 실패를 경험하였으며 분석에 필요한 검체를 제공할 수 있는 12명에 대해 검체를 채취하여 UL56의 특정 영역(아미노산 231번 ~ 369번)의 DNA 서열 분석을 실시하였다. 1명의 시험대상자(60 mg/day 투여)에서 레테르모비르 내성을 가진 유전자형 변이(genotypic variant, GV) (V236M)가 확인되었다.
제3상 임상시험(P001)에서 FAS 인구집단 중 예방 실패를 경험하였으며 분석에 필요한 검체를 제공할 수 있는 40명의 레테르모비르 투여 성인 시험대상자들로부터 검체를 채취하여 UL56 및 UL89의 코딩 영역 전체의 DNA 서열 분석을 실시하였다. 2명의 시험대상자에서 pUL56위치에 해당되는 총 2개의 내성 관련 치환이 확인되었다. 시험대상자 1명은 V236M을, 다른 1명은 E237G 치환을 가지고 있었다.
제3상 임상시험(P040)에서 예방 실패를 경험했거나 CMV 바이러스혈증으로 조기에 중단한 성인 시험대상자 32명(치료군에 관계없이)으로부터 검체를 채취하여 UL51, UL56 및 UL89의 코딩 영역 전체의 DNA 서열 분석을 실시하였다. 검증된 정량 한계 이상으로 검출된 레테르모비르 내성 관련 치환은 없었다.
제3상 임상시험(P002)에서 CMV 질환을 경험했거나 CMV 바이러스혈증으로 조기에 중단한 52명의 레테르모비르 투여 성인 시험대상자들로부터 검체를 채취하여 UL51, UL56 및 UL89의 코딩 영역 전체의 DNA 서열 분석을 실시하였다. 검증된 정량 한계 이상으로 검출된 레테르모비르 내성 관련 치환은 없었다.
제2b상 임상시험(P030)에서 CMV 감염을 평가하기 위해 내원한 10명의 레테르모비르 투여 소아 시험대상자들로부터 검체를 채취하여 UL51, UL56 및 UL89의 코딩 영역 전체의 DNA 서열 분석을 실시하였다. 2명의 시험대상자에서 pUL56위치에 해당되는 총 2개의 레테르모비르 내성 관련 치환이 확인되었다. 시험대상자 1명은 R369S를, 다른 1명은 C325W 치환을 가지고 있었다.
⓸ 교차 내성
이 약물 계열 외의 다른 약물들에 대해서 교차 내성을 가지지 않는다. 레테르모비르는 CMV DNA 중합효소(polymerase) 억제제(간시클로버, 시도포비르[cidofovir], 포스카르넷[foscarnet])에 대한 내성을 유발하는 치환을 가진 바이러스 집단에 대해 완전한 활성을 나타낸다. 간시클로버에 대해 야생형보다 2.1배의 감수성 감소를 보이는 pUL56 E237G 치환이 나타난 1 개의 재조합 균주를 제외하면, 레테르모비르에 내성을 유발하는 치환을 가지는 재조합 CMV 균주 패널은 시도포비르, 포스카르넷 및 간시클로버에 완전한 감수성을 보였다.
(3) 약리유전학
임상시험에 참여한 299명의 성인 환자들을 대상으로 OATP1B1유전자 SLCO1B1(rs4149056, rs2306283, rs4149032) 및 UGT1A1(rs4148323 및 프로모터 TA 반복 변이)의 유전자 변이가 레테르모비르의 약동학에 미치는 영향을 평가하였다. 이러한 변이들은 레테르모비르의 노출에 임상적으로 유의한 영향을 미치지 않았다.
3) 약동학적 정보
(1) 서론
건강한 성인 시험대상자 및 조혈모세포이식(HSCT)을 받은 성인 및 소아 환자들에게 레테르모비르를 경구 및 IV로 투여한 후 및 신장이식을 받은 성인 환자들에게 경구로 투여한 후 레테르모비르의 약동학적 특성을 확인하였다.
건강한 성인 시험대상자
레테르모비르 240 mg 및 480 mg을 경구 또는 IV로 단회 및 반복 투여했을 때 레테르모비르의 노출이 용량‑비례성을 상회하는 양상으로 증가하였다. 레테르모비르는 빠르게 흡수되어 최고혈장농도 도달시간(T<SUB>max</SUB>)의 중앙값은 1.5 ~ 3.0시간이었고, 이후 이상성(biphasic) 양상으로 감소하였다. 이 약 480 mg을 1일 1회 경구 투여했을 때 항정상태의 AUC 및 C<SUB>max</SUB> 수치의 기하평균은 각각 71,500 ng▪hr/mL 및 13,000 ng/mL이었다. 레테르모비르의 청소율(CL)은 9 ~ 10일째에 항정상태에 도달하였으며 AUC 및 C<SUB>max</SUB>의 약물축적비는 각각 1.22 및 1.03이었다.
HSCT를 받은 성인 환자
HSCT를 받은 환자의 경우, 제3상 임상시험 데이터를 활용한 집단약동학 분석을 통해 레테르모비르의 AUC를 추정하였다[표 4 참조]. 치료 요법들 간 약물 노출의 차이는 임상적으로 유의하지 않으며, P001에서 관찰된 노출 범위에서 유효성은 일관적이었다.
표 4: HSCT를 받은 성인 환자들에서 레테르모비르의 AUC(ng▪hr/mL) 결과
|
치료 요법 |
중앙값 (90% 예측구간)* |
|
480 mg 경구, 사이클로스포린 병용투여하지 않음 |
34,400 (16,900, 73,700) |
|
480 mg IV, 사이클로스포린 병용투여하지 않음 |
100,000 (65,300, 148,000) |
|
240 mg 경구, 사이클로스포린 병용투여 |
60,800 (28,700, 122,000) |
|
240 mg IV, 사이클로스포린 병용투여 |
70,300 (46,200, 106,000) |
|
* 중앙값과 90 % 예측구간은 개체-간 변동성을 가진 제3상 임상시험 데이터를 활용한 집단약동학 모델의 시뮬레이션에 근거함. |
신장이식을 받은 성인 환자
제3상 임상시험 데이터를 활용한 집단약동학 분석을 통해 레테르모비르의 AUC를 추정하였다[표 5 참조]. P002에서 관찰된 노출 범위에서 유효성은 일관적이었다.
표 5: 신장이식을 받은 성인 환자들에서 레테르모비르의 AUC(ng▪hr/mL) 결과
|
치료 요법 |
중앙값 (90% 예측구간)* |
|
480 mg 경구, 사이클로스포린 병용투여하지 않음 |
62,200 (28,900, 145,000) |
|
240 mg 경구, 사이클로스포린 병용투여 |
57,700 (26,900, 135,000) |
|
* 중앙값과 90 % 예측구간은 개체-간 변동성을 가진 제3상 임상시험 데이터를 활용한 집단약동학 모델의 시뮬레이션에 근거함. |
(2) 흡수
집단약동학 분석에 따르면 건강한 성인 시험대상자에서 레테르모비르의 절대 생체이용률은 240 mg ~ 480 mg의 용량 범위에서 약 94%로 추정되었다. 조혈모세포이식(HSCT)을 받은 성인 환자의 경우, 사이클로스포린과 병용하지 않고 이 약 480 mg을 1일 1회 경구 투여 시 레테르모비르의 생체이용률은 약 35%로 추정되었다. 생체이용률의 개체‑간 변동성(편차)은 약 37%로 추정되었다. 신장이식을 받은 성인 환자에서 사이클로스포린과 병용하지 않고 이 약 480 mg 1일 1회 경구 투여 시 레테르모비르의 생체이용률은 약 60%로 추정되었다.
⓵ 사이클로스포린의 영향
조혈모세포이식(HSCT)을 받은 성인 환자에서 사이클로스포린을 병용투여할 경우 레테르모비르의 혈장 농도가 증가하였다. 사이클로스포린과 병용하여 이 약 240 mg을 1일 1회 경구 투여 시 레테르모비르의 생체이용률은 약 85%로 추정되었다. 만약 이 약을 사이클로스포린과 병용투여할 경우, 성인 및 30 kg 이상인 소아 환자에서 이 약의 권장 투여량은 1일 1회 240 mg이다[용법▪용량, 2. 조혈모세포이식(HSCT) 또는 신장이식을 받은 성인 및 소아에서의 용량 조절 항 참조].
⓶ 음식의 영향
공복 상태와 비교하여, 건강한 성인 시험대상자에서 표준 고지방 및 고열량 식사와 함께 이 약 480 mg을 단회 경구 투여할 때 전체 노출(AUC)에는 영향을 미치지 않았으나, 레테르모비르의 최고 농도(C<SUB>max</SUB>)는 약 30% 증가하였다. 이 약은 식사와 상관없이 경구 투여할 수 있다[용법▪용량 참조].
(3) 분포
집단약동학 분석에 따르면, 조혈모세포이식(HSCT)을 받은 성인 환자들에게 IV 투여 시 평균 항정상태 분포용적은 45.5 L로 추정된다.
In vitro에서 레테르모비르의 사람 혈장단백 결합률이 매우 높다(0.2 ~ 50 mg/L 농도 범위에서 98.7%). 레테르모비르의 혈액‑혈장 분배계수는 0.56이고, in vitro에서 평가된 농도(0.1 ~ 10 mg/L)에 의존적이지 않았다.
비임상 분포 연구들에서 레테르모비르는 여러 장기와 조직에 분포했으며, 위장관, 담도, 간에서 농도가 가장 높고 뇌에서는 농도가 낮았다.
(4) 소실
건강한 성인 시험대상자에게 이 약 480 mg을 IV로 투여했을 때 레테르모비르의 겉보기 최종 소실 반감기 평균은 약 12시간이다.
⓵ 대사
혈장 중 약물 관련 성분의 대부분은 변하지 않은 모약물(96.6%)이다. 혈장에서 검출된 주요 대사체는 없었다. 레테르모비르는 UGT1A1/1A3에 의한 글루쿠론산화를 통해 부분적으로 소실된다.
⓶ 배설
집단약동학 분석에 따르면, 조혈모세포이식(HSCT)을 받은 성인 환자들에게 레테르모비르 480 mg을 IV 투여한 후 항정상태의 청소율(CL)은 4.84 L/hr로 추정된다. CL의 개체‑간 변동성(편차)은 24.6%로 추정된다.
방사성‑표지된 레테르모비르를 경구 투여했을 때, 방사능의 93.3%가 대변에서 회수되었다. 약물의 대부분이 변하지 않은 모약물 형태로 대변을 통해 배설되며, 미량(투여량의 6%)만이 아실‑글루쿠로나이드 대사산물로 배설된다. 레테르모비르는 뇨를 통해 거의 배설되지 않는다(투여량의 <2%).
(5) 특정 환자군
⓵ 신장애 환자
신장애 환자군에서의 임상시험
레테르모비르의 AUC는 건강한 성인 시험대상자와 비교하여 중등증(eGFR 30 ~ 59 mL/min/1.73m
2) 및 중증(eGFR 30 mL/min/1.73m
2 미만)의 신장애를 가진 성인 시험대상자에서 각각 1.9배 및 1.4배 더 높았다. 신장애로 인한 이러한 레테르모비르의 노출 변화는 임상적으로 유의하지 않다. 투석 환자를 포함한 크레아티닌 청소율(CLcr)이 10 mL/min 미만의 말기 신질환 환자에서 이 약은 평가된 바 없다.
신장이식 후
집단약동학 분석에 근거하여 레테르모비르의 AUC는 경증(CrCl 60 이상 90 mL/min 미만), 중등증(CrCl 30 이상, 60 mL/min 이하) 및 중증(CrCl 15 이상 30 mL/min 미만)의 신장애를 가진 성인 시험대상자에서 CrCl 90 mL/min 이상의 성인 시험대상자 보다 각각 약 1.1배, 1.3배 및 1.4배 더 높았다. 이러한 변화는 임상적으로 유의하지 않다.
⓶ 간장애 환자
레테르모비르의 AUC는 건강한 성인 시험대상자와 비교하여 중등증(Child‑Pugh Class B [CP‑B], 7‑9점) 및 중증(Child‑Pugh Class C [CP‑C], 10‑15점)의 간장애를 가진 성인 시험대상자에서 각각 약 1.6배 및 3.8배 더 높았다. 중등증의 간장애로 인한 레테르모비르의 노출 변화는 임상적으로 유의하지 않다.
중증의 간장애 또는 중등증의 간장애와 중등도 또는 중증의 신장애를 함께 가진 성인 시험대상자의 경우, 레테르모비르의 노출이 임상적으로 유의하게 증가할 것으로 예상된다.
⓷ 소아
조혈모세포이식(HSCT)을 받은 소아 환자의 레테르모비르 AUC는 제2b 임상데이터를 사용한 집단약동학 분석을 통해 추정되었다[표 6, 표 7 참조]. HSCT를 받은 30 kg 이상인 소아 환자에서의 노출은 HSCT를 받은 성인 환자의 참조 노출에서 달성된 노출 범위 내에 있다[표 4 참조].
표 6: HSCT를 받은 소아 환자에서 경구투여 시 레테르모비르의 AUC(ng▪hr/mL) 결과
|
체중 |
경구투여 용량,
사이클로스포린 병용투여하지 않음 |
중앙값
(90% 예측구간)* |
경구투여 용량,
사이클로스포린 병용투여 |
중앙값
(90% 예측구간)* |
|
30 kg 이상† |
480 mg |
39,100
(18,700, 81,300) |
240 mg |
49,100
(23,200, 104,000) |
|
* 중앙값과 90 % 예측구간은 개체-간 변동성을 가진 HSCT를 받은 소아의 집단약동학 모델을 활용한 시뮬레이션에 근거함. |
표 7: HSCT를 받은 소아 환자에서 정맥주사 시 레테르모비르의 AUC(ng▪hr/mL) 결과
|
체중 |
정맥주사 용량,
사이클로스포린 병용투여하지 않음 |
중앙값
(90% 예측구간)* |
정맥주사 용량,
사이클로스포린 병용투여 |
중앙값
(90% 예측구간)* |
|
30 kg 이상† |
480 mg |
111,000
(55,700, 218,000) |
240 mg |
59,800
(28,400, 120.000) |
|
* 중앙값과 90 % 예측구간은 개체-간 변동성을 가진 HSCT를 받은 소아의 집단약동학 모델을 활용한 시뮬레이션에 근거함. |
⓸ 고령자
집단약동학 분석에 따르면, 연령은 레테르모비르의 약동학에 영향을 미치지 않는다. 연령에 따른 용량 조절은 필요하지 않다.
⓹ 성별
집단약동학 분석에 따르면, 레테르모비르의 약동학은 성인 남녀 간에 차이가 없다.
➅ 체중
건강한 성인에서의 집단약동학 분석에 따르면, 체중 100 kg까지 임상적으로 유의한 차이는 없었다. 신장이식을 받은 성인 환자에 대한 집단약동학 분석에 따르면, 체중(80 kg 이하 대비 80 kg 초과)은 레테르모비르의 약동학에 임상적으로 유의한 영향을 미치지 않았다.
⑦ 인종
건강한 성인에서의 집단약동학 분석에 따르면, 백인과 아시아인에서 임상적으로 유의한 차이는 없었다.
4) 약물상호작용 연구
건강한 성인 시험대상자들을 대상으로 이 약 및 이 약과 병용투여될 가능성이 높거나 약동학적 상호작용의 지표로 흔히 사용되는 약물들에 대하여 약물상호작용 연구가 수행되었다[표 8 및 표 9 참조].
In vitro 연구 결과, 레테르모비르가 CYP3A, CYP2D6, OATP1B1/3, P‑gp, UGT1A1 및 UGT1A3의 기질인 것으로 확인되었다. OATP1B1/3 수송체를 억제하는 약물은 레테르모비르의 혈장 농도를 증가시킬 수 있다. 만약 이 약을 사이클로스포린(강력한 OATP1B1/3 억제제)과 병용투여할 경우, 성인 및 30 kg 이상인 소아에서 이 약의 권장 용량은 1일 1회 240 mg이다[용법▪용량, 2. 조혈모세포이식(HSCT) 또는 신장이식을 받은 성인 및 소아에서의 용량 조절 항 참조]. 이트라코나졸의 P‑gp/BCRP 억제에 따른 레테르모비르 혈장 농도의 변화는 임상적으로 유의하지 않았다. UGTs의 억제가 레테르모비르의 혈장 농도에 임상적으로 유의한 영향을 미칠 것으로 예상되지 않는다. 리팜핀에 의한 약물 효소(예, UGTs) 및/또는 수송체(예, P‑gp)의 유도는 레테르모비르의 혈장 농도를 임상적으로 유의하게 감소(치료농도범위아래(subtherapeutic level))시킬 수 있으므로, 강력하거나 중등도의 유도제와 레테르모비르의 병용투여는 권장되지 않는다[4. 상호작용, 1) 다른 약물이 이 약에 미치는 영향 항, 표 3 및 표 8 참조]. 비록 in vitro에서 CYP3A, CYP2D6 및 CYP2J2가 레테르모비르의 대사를 매개할 수 있는 효소로 확인되었지만, in vivo 인체 연구 데이터에 따르면 산화적 대사는 경미한 소실 경로로 판단된다.
레테르모비르는 in vitro에서CYP3A의 시간‑의존적인 억제제이자 유도제이다. 이 약과 미다졸람을 병용투여 시 미다졸람의 노출이 증가하게 되며, 이는 CYP3A에 대한 레테르모비르의 순효과가 중등도 억제임을 나타낸다[표 9 참조]. 이 결과들에 근거하여, 이 약을 CYP3A 기질과 병용투여 시 CYP3A 기질의 혈장 농도가 증가할 수 있다[1. 다음 환자에는 투여하지 말 것 항, 3. 일반적 주의, 2) 약물상호작용으로 인한 이상반응 또는 치료 효과의 감소 위험 항, 4. 상호작용, 2) 이 약이 다른 약물에 미치는 영향 항 및 3) 확인된 및 기타 잠재적 약물상호작용 항 및 표 3 참조]. 레테르모비르는 in vitro에서 CYP2C8의 가역적인 억제제이다. 생리학에 기반한 약동학적 모델링에서 이 약과 함께 투여할 때 CYP2C8 기질의 혈장 농도가 증가할 것으로 예상된다[4. 상호작용, 3) 확인된 및 기타 잠재적 약물상호작용 항, 표 3 참조]. 이 약을 병용투여 시 보리코나졸의 노출이 감소했는데, 이는 보리코나졸 소실 경로인 CYP2C9 및 CYP2C19를 유도하였기 때문일 것으로 추측된다. 이 약을 CYP2C9 및 CYP2C19 기질과 병용투여할 경우 CYP2C9 및 CYP2C19 기질의 혈장 농도가 감소할 수 있다[4. 상호작용, 3) 확인된 및 기타 잠재적 약물상호작용 항, 표 3 참조]. 레테르모비르는 in vitro에서 CYP2B6의 유도제이며, 임상적 의미는 불분명하다.
레테르모비르는 in vitro에서 유출 수송체인 P‑gp, 유방암 내성단백질(breast cancer resistance protein, BCRP), 담즙산염 배출펌프(bile salt export pump, BSEP), 다제 내성‑관련 단백질 2(multidrug resistance‑associated protein 2, MRP2), OAT3, 및 간 흡수 수송체 OATP1B1/3를 억제하였다. 이 약을 OATP1B1/3 수송체의 기질(예, CYP3A, OATP1B1/3의 기질이며, BCRP의 기질일 가능성이 있는 아토르바스타틴)과 병용투여할 경우 OATP1B1/3 기질의 혈장 농도가 임상적으로 유의하게 증가할 수 있다[4. 상호작용, 3) 확인된 및 기타 잠재적 약물상호작용 항, 표 3 참조]. 임상 시험에서 P‑gp 기질인 디곡신과 OAT3 기질인 아시클로버는 이 약과 병용투여했을 때 혈장 농도가 임상적으로 유의하게 변하지 않았다[표 9 참조]. 레테르모비르가 BCRP, BSEP, 및 MRP2 기질에 미치는 영향은 임상시험을 통해 평가되지 않았으므로, 임상적 의미가 불분명하다.
표 8: 약물 상호작용: 다른 약물과 병용투여 시 레테르모비르의 약동학적 변화
|
병용투여 약물 |
병용투여한 약물 요법 |
레테르모비르 요법 |
N |
다른 약물을 병용투여하거나/ 병용투여하지 않았을 때 레테르모비르 PK의 기하평균비 [90% CI]
(영향 없음=1.00) |
|
AUC |
Cmax |
|
항진균제 |
|
플루코나졸 |
400 mg 단회투여 PO |
480 mg 단회투여 PO |
14 |
1.11
(1.01, 1.23) |
1.06
(0.93, 1.21) |
|
이트라코나졸 |
200 mg 1일 1회 PO |
480 mg 1일 1회 PO |
14 |
1.33
(1.17, 1.51) |
1.21
(1.05, 1.39) |
|
항미코박테리아제(Antimycobacterials) |
|
리팜핀 |
600 mg 단회투여 PO |
480 mg 단회투여 PO |
16 |
2.03
(1.84, 2.26) |
1.59
(1.46, 1.74) |
|
600 mg 단회투여 IV |
480 mg 단회투여 PO |
16 |
1.58
(1.38, 1.81) |
1.37
(1.16, 1.61) |
|
600 mg
1일 1회 PO* |
480 mg
1일 1회 PO |
14 |
0.81
(0.67, 0.98) |
1.01
(0.79, 1.28) |
|
600 mg
1일 1회 PO (리팜핀 투여 후 24시간)† |
480 mg
1일 1회 PO |
14 |
0.15
(0.13, 0.17) |
0.27
(0.22, 0.31) |
|
면역억제제 |
|
사이클로스포린 |
200 mg 단회투여 PO |
240 mg
1일 1회 PO |
12 |
2.11
(1.97, 2.26) |
1.48
(1.33, 1.65) |
|
미코페놀레이트 모페틸 |
1 g
단회투여 PO |
480 mg
1일 1회 PO |
14 |
1.18
(1.04, 1.32) |
1.11
(0.92, 1.34) |
|
타크로리무스 |
5 mg
단회투여 PO |
80 mg
1일 2회 PO |
14 |
1.02
(0.97, 1.07) |
0.92
(0.84, 1.00) |
|
약어: PO=경구
*C24 GMR [90%]은 0.14 (0.11, 0.19)
†이 데이터는 리팜핀 최종 투여 후 24시간 동안 레테르모비르에 대한 리팜핀의 효과이다. C24 GMR [90%]은 0.09 (0.06, 0.12) |
표 9: 약물 상호작용: 레테르모비르와 병용 투여한 경우 병용 투여한 약물의 약동학적 변화
|
병용투여 약물 |
병용투여한 약물 요법 |
레테르모비르 요법 |
N |
레테르모비르를 병용투여하거나/ 병용투여하지 않았을 때 병용투여한 약물 PK의 기하평균비 [90% CI]
(영향 없음=1.00) |
|
AUC |
Cmax |
|
CYP3A 기질 |
|
미다졸람 |
1 mg
단회투여 IV |
240 mg
1일 1회 PO |
16 |
1.47
(1.37, 1.58) |
1.05
(0.94, 1.17) |
|
2 mg
단회투여 PO |
240 mg
1일 1회 PO |
16 |
2.25
(2.04, 2.48) |
1.72
(1.55, 1.92) |
|
P-gp 기질 |
|
디곡신 |
0.5 mg
단회투여 PO |
240 mg
1일 2회 PO |
22 |
0.88
(0.80, 0.96) |
0.75
(0.63, 0.89) |
|
면역억제제 |
|
사이클로스포린 |
50 mg
단회투여 PO |
240 mg
1일 1회 PO |
14 |
1.66
(1.51, 1.82) |
1.08
(0.97, 1.19) |
|
미코페놀레이트 모페틸 |
1 g
단회투여 PO |
480 mg
1일 1회 PO |
14 |
1.08
(0.97, 1.20) |
0.96
(0.82, 1.12) |
|
타크로리무스 |
5 mg
단회투여 PO |
480 mg
1일 1회 PO |
13 |
2.42
(2.04, 2.88) |
1.57
(1.32, 1.86) |
|
시롤리무스 |
2 mg
단회투여 PO |
480 mg
1일 1회 PO |
13 |
3.40
(3.01, 3.85) |
2.76
(2.48, 3.06) |
|
항진균제 및 항바이러스제 |
|
아시클로버 |
400 mg 단회투여 PO |
480 mg
1일 1회 PO |
13 |
1.02
(0.87, 1.2) |
0.82
(0.71, 0.93) |
|
플루코나졸 |
400 mg 단회투여 PO |
480 mg 단회투여 PO |
14 |
1.03
(0.99, 1.08) |
0.95
(0.92, 0.99) |
|
이트라코나졸 |
200 mg 1일 1회 PO |
480 mg 1일 1회 PO |
14 |
0.76
(0.71, 0.81) |
0.84
(0.76, 0.92) |
|
포사코나졸 |
300 mg 단회투여 PO |
480 mg
1일 1회 PO |
13 |
0.98
(0.82, 1.17) |
1.11
(0.95, 1.29) |
|
보리코나졸 |
200 mg
1일 2회 PO |
480 mg
1일 1회 PO |
12 |
0.56
(0.51, 0.62) |
0.61
(0.53, 0.71) |
|
HMG-CoA 환원효소 억제제 |
|
아토르바스타틴 |
20 mg 단회투여 PO |
480 mg
1일 1회 PO |
14 |
3.29
(2.84, 3.82) |
2.17
(1.76, 2.67) |
|
경구피임제 |
|
에티닐 에스트라디올 (EE) /레보노게스트렐 (LNG) |
0.03 mg EE 단회투여 PO |
480 mg
1일 1회 PO |
22 |
1.42
(1.32, 1.52) |
0.89
(0.83, 0.96) |
|
0.15 mg LNG 단회투여 PO |
22 |
1.36
(1.30, 1.43) |
0.95
(0.86, 1.04) |
|
약어: PO=경구 |
나. 임상시험 정보
1) 동종조혈모세포이식(allogeneic HSCT)을 받은 성인 거대세포바이러스(CMV)‑혈청 양성[R+] 환자
조혈모세포이식 후 14주차(~100일)까지의 예방요법
CMV 재활성화 위험이 높은 이식 환자에서 CMV 감염 또는 질환의 예방 전략으로 이 약의 예방 효과를 평가하기 위해, 동종조혈모세포이식(allogeneic HSCT)을 받은 성인 CMV‑혈청 양성[R+] 환자를 대상으로 실시된 다기관, 이중맹검, 위약‑대조 제3상 임상시험(P001)에서 이 약의 유효성을 평가하였다. 대상자들은 2:1로 무작위배정되어, 이 약 480 mg을 1일 1회(사이클로스포린과 병용투여 시 240 mg으로 용량 조절) 또는 위약을 투여받았다. 무작위배정은 시험기관 및 시험 등록 당시의 CMV 재활성화 위험 수준에 따라 층화되었다. 시험약은 조혈모세포이식 후(조혈모세포이식 후 0‑28일) 투여를 시작하고 조혈모세포이식 후 14주까지 지속하였다. 시험약은 경구 또는 정맥으로 투여하였으며, 투여 경로와 상관없이 투여량은 동일하였다. 조혈모세포이식 후 24주까지 1차 유효성 평가변수에 대하여 대상자들을 모니터링하고 조혈모세포이식 후 48주까지 추적 관찰을 지속하였다. 대상자들은 조혈모세포이식 후 14주까지 매주, 이후 조혈모세포이식 후 24주까지 격주로 CMV DNA를 모니터링 받았으며, 임상적으로 유의한 CMV DNA 바이러스혈증으로 고려될 경우 CMV 표준 선제요법을 시작하였다. 565명 중 70명은 이 약 투여 시작 전 CMV DNA 바이러스혈증이 발견되어 유효성 분석에서 제외되었다.
유효성 분석 집단(495명) 중 325명(1회 이상 IV 투여한 대상자 91명 포함)이 이 약을, 170명(1회 이상 IV 투여한 대상자 41명 포함)이 위약을 투여받았다. 시험약 투여 시작까지의 시간 중앙값은 이식 후 8일이었다. 베이스라인에서 34%의 대상자들이 생착되었다. 연령 중앙값은 55세(18 ~ 76세)였고, 57%가 남성, 84%가 백인, 9%가 아시아인, 2%가 흑인 또는 아프리카인, 7%가 히스패닉 또는 라틴계였다. 베이스라인에서 대상자의 48%가 골수소멸성 양생법(myeloablative regimen)을, 51%가 사이클로스포린을, 43%가 타크로리무스를 투여하고 있었다. 가장 흔한 이식 사유는 급성골수성백혈병(38%), 골수모세포성증후군(16%) 및 림프종(12%)이었다.
베이스라인에서 대상자의 30%가 다음 기준 중 하나 이상에 해당되는 경우로 정의된 재활성화 고위험군에 해당되었다: 3개의 사람백혈구항원(Human Leukocyte Antigen, HLA)‑유전자자리(HLA‑A, ‑B 또는 ‑DR) 중 하나에서 하나 이상의 불일치를 가진 HLA‑친족(형제자매) 공여자; 홑배수 동종 공여자; 4개의 HLA 유전자자리(HLA‑A, HLA‑B, HLA‑C, HLA‑DRB1) 중 하나에서 하나 이상의 불일치를 가진 비친족 공여자; 줄기세포에서 얻은 제대혈을 사용; ex vivo T‑세포 제거 이식편 사용; 전신 코르티코스테로이드 투여가 필요한 Grade 2 또는 그 이상의 이식편‑대‑숙주 질환(Graft‑Versus‑Host Disease, GVHD).
유효성
임상적으로 유의한 거대세포바이러스(CMV) 감염
P001의 1차 유효성 평가변수는 조혈모세포이식 후 24주까지 임상적으로 유의한 CMV 감염의 발생률이었다. 임상적으로 유의한 CMV 감염은 CMV 말단장기질환(end‑organ disease)이 발생한 경우 또는 입증된 CMV 바이러스혈증(Roche COBAS® AmpliPrep/COBAS TaqMan® assay 사용, LLoQ 137 IU/m, 이는 약 150 copies/mL에 해당)과 대상자의 임상적 상태에 근거하여 항‑CMV 선제요법(PET)을 시작한 경우로 정의되었다(치료 중 선제요법(PET) 시작에 대한 CMV DNA threshold는 고위험 및 저위험군에서 각각 >150 copies/mL, >300 copies/mL이었으며, 14주부터 24주까지는 고위험 및 저위험군에서 모두 >300 copies/mL이었다.). 조혈모세포이식 후 24주 이전에 임상시험을 중단했거나 또는 조혈모세포이식 후 24주에 평가변수 데이터가 결측된 대상자를 실패(failure)로 간주하는 Non‑Completer=Failure (NC=F) 접근법이 사용되었다.
표 10에서 확인할 수 있듯이, 1차 평가변수 분석에서 이 약의 유효성이 위약보다 우수한 것으로 입증되었다. 추정된 치료 차이는 ‑23.5%로 통계적으로 유의하였다(단측 P값 <0.0001).
표 10: P001에서 HSCT를 받은 대상자들의 유효성 결과(NC=F법, FAS 집단)
|
파라미터 |
이 약
(N=325)
n (%) |
위 약
(N=170)
n (%) |
|
1차 평가변수 |
122 (37.5) |
103 (60.6) |
|
(예방에 실패한 시험대상자의 비율) |
|
|
|
실패 사유* |
|
|
|
24주까지 임상적으로 유의한 CMV 감염† |
57 (17.5) |
71 (41.8) |
|
입증된 CMV 바이러스혈증에 근거한 PET 시작 |
52 (16.0) |
68 (40.0) |
|
CMV 말단장기질환 |
5 (1.5) |
3 (1.8) |
|
24주 이전에 임상시험 중단 |
56 (17.2) |
27 (15.9) |
|
24주 방문 내 평가변수 결측 |
9 (2.8) |
5 (2.9) |
|
계층-보정 치료 차이 (이 약-위약)‡ |
|
|
|
차이(95% CI) |
-23.5 (-32.5, -14.6) |
|
P값 |
<0.0001 |
|
* 실패 범주는 서로 중복되지 않으며 나열된 순서에 따른다.
† 임상적으로 유의한 CMV 감염이란 CMV 말단장기질환이 발생한 경우 또는 입증된 CMV 바이러스혈증과 임상적 상태에 근거하여 PET를 시작한 경우로 정의되었다.
‡ 각 계층(고위험, 저위험)마다 치료군 당 표본 크기의 조화 평균에 따라 가중치를 둔 층화-보정 Mantel-Haenszel법으로 반응 백분율의 치료 차이에 대한 95% CI와 p값을 계산하였다. 단측 p값 ≤0.0249일 때 통계적 유의성이 있다고 판단하였다.
참고: FAS=Full analysis set; FAS는 시험약을 1회 이상 투여받았고 베이스라인에서 CMV DNA가 검출되지 않은 모든 무작위배정된 대상자들이 포함된다. 결측치 처리 방법: Non-Completer=Failure (NC=F)법. NC=F법에 따를 때, 실패는 임상적으로 유의한 CMV 감염이 발생하거나 24주 이전에 임상시험을 중단하거나 조혈모세포이식 후 24주 방문 내 평가변수 데이터가 결측된 모든 대상자들로 정의되었다.
N = 각 투여군의 대상자 수
n (%) = 각 하위범주에 해당하는 대상자 수(백분율) |
이 약 투여군에서 조혈모세포이식 후 14주와 24주 사이에 발생한 임상적으로 유의한 CMV 감염과 관련된 요인들에는 베이스라인에서 CMV 재활성화의 높은 위험, GVHD 및 무작위배정 이후 어느 시점에서든 스테로이드 사용이 포함되었다.
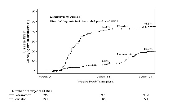
그림 1: P001: HSCT를 받은 대상자들에서 이식 후 24시간까지 임상적으로 유의한 CMV 감염 발생까지의 시간에 대한 Kaplan‑Meier 그래프(FAS 집단)

유효성 결과는 CMV 재활성화에 대한 저위험군과 고위험군, 전처치 요법 및 병용 면역억제 요법을 포함하는 여러 하위군들에 있어서 일관되게 나타났다.
사망률
모든 원인으로 인한 사망에 대한 K‑M 발생률은 이 약 및 위약 투여군에서 조혈모세포이식 후 24주에 각각 12.1%, 17.2%(명목 양측 층화 로그‑순위 p값=0.0401), 그리고 조혈모세포이식 후 48주에 각각 23.8%와 27.6%였다.
조혈모세포이식 후 14주차(~100일)부터 28주차(~200일)까지의 예방요법
동종조혈모세포이식을 받은 성인 CMV 혈청 양성 수여자[R+]를 대상으로 한 다기관, 위약 대조 제3상 임상시험 (P040)을 통해 말기 CMV 감염 및 질환의 위험이 있는 환자에서 조혈모세포이식 후 14주차(~100일)부터 28주차(~200일)까지 이 약의 예방요법 연장에 대한 유효성이 평가되었다. 조혈모세포이식 후 100일까지 이 약의 예방요법을 완료한 적격한 시험대상자가 무작위배정되어(2:1) 이 약 또는 위약을 조혈모세포이식 후 14주차부터 28주차까지 투여받았다. 시험대상자는 1일 1회 480 mg 용량의 이 약(사이클로스포린과 병용투여 시 240 mg으로 용량 조절) 또는 위약을 투여받았다. 시험약은 경구 또는 IV로 투여되었다. 이 약의 용량은 투여 경로와 상관없이 동일했다. 시험대상자는 조혈모세포이식 후 28주차까지 1차 평가변수에 대해 모니터링되었고, 조혈모세포이식 후 48주차까지 지속적으로 치료 없이 추적조사 되었다.
투여받은 시험대상자 218명 중, 144명은 이 약을 투여받았고 74명은 위약을 투여받았다. 연령 중앙값은 55세( 20‑74세) 였다. 62%가 남성, 79%가 백인, 11%가 아시아인, 2%가 흑인, 및 10%가 히스패닉 또는 라틴계였다. 가장 흔한 이식 사유는 급성 골수성 백혈병(42%), 급성 림프구성 백혈병(15%), 골수 형성 이상 증후군(11%)이었다.
시험 시작 시, 모든 시험대상자가 말기 CMV 감염 또는 질환의 위험 요소를 가졌으며, 64%는 2가지 이상의 요소를 가지고 있었다. 위험 요소에는 다음이 포함된다: HLA‑A, ‑B 또는 ‑DR의 세가지 HLA 유전자 자리 중 하나에서 최소 1가지의 불일치가 있는 HLA 관련(형제) 공여자, 반일치이식 공여자, HLA‑A, ‑B, ‑C 및 ‑DRB1의 네가지 HLA 유전자 자리 중 하나에서 최소 1가지의 불일치가 있는 비혈연 공여자, 제대혈을 줄기세포 공급원으로 사용한 경우, 생체 외 T세포 제거 이식편을 사용한 경우, 항 흉선세포 글로불린을 투여받은 경우, 알렘투주맙을 투여받은 경우, 1일 체중 당 1 mg/kg 이상의 용량으로 전신 프레드니손(또는 동등한)을 사용한 경우.
유효성
임상적으로 유의한 거대세포바이러스(CMV) 감염
P040의 1차 유효성 평가변수는 조혈모세포이식 후 28주차까지 임상적으로 유의한 CMV 감염의 발생률이었다. 임상적으로 유의한 CMV 감염은 CMV 말단장기질환(end‑organ disease)이 발생한 경우 또는 입증된 CMV 바이러스혈증과 대상자의 임상적 상태에 근거하여 항‑CMV 선제요법(PET)을 시작한 경우로 정의되었다. 바이러스혈증 없이 연구를 조기에 중단했거나 해당 시점에 데이터가 누락된 대상자는 실패로 간주되지 않는 관찰된 실패(OF) 접근법이 사용되었다. 바이러스혈증 없이 28주 이전에 연구를 중단한 대상자의 수는 이 약 투여군에서 14명(9.7%), 위약 투여군에서 0명이었다. 28주차 방문 기간에 결과가 누락된 대상자 수는 이 약 투여군에서 3명(2.1%), 위약 투여군에서 4명(5.4%)이었으며, 이전에 바이러스혈증이 있었던 환자는 없었다.
표 11에서 확인할 수 있듯이, 1차 평가변수 분석에서 이 약의 유효성이 위약보다 우수한 것으로 입증되었다. 이 약군과 위약군의 추정된 치료 차이는 ‑16.1%로 통계적으로 유의하였다(단측 P값=0.0005). 유효성은 시험대상자의 특성(연령, 성별, 인종) 및 말기 CMV 감염 및 질환에 대한 위험 요소에 따른 하위군 분석에서 일관되게 이 약에 유리했다.
표 11: 말기 CMV 감염 및 질환의 위험이 있는 HSCT 수여자에 대한 P040 유효성 결과(OF 접근법, FAS 모집단)
|
파라미터 |
이 약
(200일까지)
(N=144)
n (%) |
위 약
(100일까지)
(N=74)
n (%) |
|
실패 사유* |
4 (2.8) |
14 (18.9) |
|
28주차까지 임상적으로 유의한 CMV 감염† |
2 (1.4) |
13 (17.6) |
|
입증된 CMV 바이러스혈증에 근거한 PET 시작 |
1 (0.7) |
11 (14.9) |
|
CMV 말단장기질환 |
1 (0.7) |
2 (2.7) |
|
28주 이전에CMV 바이러스혈증으로 시험 조기 중단 |
2 (1.4) |
1 (1.4) |
|
계층 보정 치료 차이 (이 약 (200 일까지)-위약 (100 일까지))‡ |
|
|
|
차이(95% CI) |
-16.1 (-25.8, -6.5)
0.0005 |
|
P값 |
|
* 실패 범주는 서로 중복되지 않으며 나열된 순서에 따른다.
† 임상적으로 유의한 CMV 감염이란 CMV 말단장기질환이 발생한 경우 또는 입증된 CMV 바이러스혈증과 임상적 상태에 근거하여 PET를 시작한 경우로 정의되었다.
‡각 계층(고위험, 저위험)마다 치료군 당 표본 크기의 조화 평균에 따라 가중치를 둔 층화-보정 Mantel-Haenszel법으로 반응 백분율의 치료 차이에 대한 95% CI와 p값을 계산하였다. 단측 p값 ≤0.0249일 때 통계적 유의성이 있다고 판단하였다.
결측치 처리 방법: 관찰된 실패(OF) 접근법. OF 접근법에서, 실패는 조혈모세포이식 후 14주차(~100일)부터 28주차(~200일)에 임상적으로 유의한 CMV 감염이 발생 또는 바이러스혈증으로 시험을 조기 중단한 모든 시험대상자로 정의되었다.
N = 각 투여군의 시험대상자 수
n (%) = 각 하위범주에 해당하는 대상자 수(백분율) |
이 약의 예방요법이 100일에서 200일로 연장되었을 때 임상적으로 유의한 CMV 감염 발생까지의 시간이 위약 투여 대상자에 비해 이 약 투여 대상자가 통계적으로 더 길었다(명목 p값 < 0.0001)[그림 2 참조].
그림 2: P040: 말기 CMV 감염 및 질환의 위험이 있는 조혈모세포이식 수여자에서 이식 후 14주차(~100일)부터 28주차(~200일)까지 임상적으로 유의한 CMV 감염 발생까지의 시간에 대한 Kaplan‑Meier P그래프(FAS 집단)

2) CMV 혈청 양성 공여자로부터 신장이식을 받은 성인 CMV 혈청 음성 수여자[D+/R‑]
신장이식 수여자의 CMV 질환에 대한 예방 전략으로 이 약의 예방 효과를 평가하기 위해, 고위험 성인 신장이식 수여자[D+/R‑]를 대상으로 다기관, 이중맹검, 활성 대조약 비열등성 제3상 임상시험(P002)에서 이 약의 유효성을 평가하였다. 시험대상자들은 1:1로 무작위배정되어, 이 약 또는 발간시클로비르를 투여받았다. 이 약은 1일 1회 480 mg(사이클로스포린과 병용투여 시 240 mg으로 용량 조절) 용량으로 투여되었다. 무작위배정은 유도기 동안 고세포용해, 항림프구 면역요법(highly cytolytic, anti‑lymphocyte immunotherapy)의 사용 여부에 따라 층화되었다. 시험약은 신장이식 후 0일차에서 7일차 사이에 시작되었고 이식 후 28주차(~200일)까지 지속하였다. 시험약은 경구 또는 IV로 투여되었다. 이 약의 용량은 투여 경로와 상관없이 동일하였다. 시험대상자는 이식 후 52주차까지 모니터링되었다.
투여받은 시험대상자 589명 중, 292명은 이 약을 투여받았고 297명은 발간시클로비르를 투여받았다. 연령 중앙값은 51세(18 ~ 82세)였고 72%가 남성, 84%가 백인, 2%가 아시아인, 9%가 흑인, 17%가 히스패닉 또는 라틴계였으며, 60%가 사망한 공여자로부터 신장을 받았다. 가장 흔한 이식 사유는 선천성 낭성 신장질환(17%), 고혈압(16%), 및 당뇨/당뇨성 신장 병증(14%)이었다.
유효성
CMV 질환
P002의 1차 유효성 평가변수는 이식 후 52주차까지 CMV 질환(독립적 심사위원회가 확인한 CMV 말단장기질환 또는 CMV 증후군)의 발생률이었다. 관찰된 실패(OF) 접근법이 사용되었으며 어떤 이유로든 시험을 조기 중단했거나 평가시점에 데이터가 누락된 대상자를 ‘실패’로 평가하지 않았다. 52주차 이전에 연구를 중단한 대상자의 수는 이 약 투여군에서 32명(11%), 발간시클로비르 투여군에서 28명(9%)이었다. 52주차 방문 기간에 결과가 누락된 시험대상자 수는 이 약 투여군에서 24명(8%), 발간시클로비르 투여군에서 25명(8%)이었다.
유효성 평가 결과는 표 12와 같다. 1차 유효성 평가 결과, 이 약은 발간시클로비르와 비열등함이 입증되었다.
표 12: P002에서 신장이식을 받은 대상자들의 유효성 결과(OF 접근법, FAS 집단)
|
파라미터 |
이 약
(N=289)
n (%) |
발간시클로비르
(N=297)
n (%) |
|
52주차까지CMV 질환*
CMV 증후군§
CMV 말단장기질환 |
30 (10.4)
24 (8.3)
6 (2.1) |
35 (11.8)
34 (11.4)
1 (0.3) |
|
계층 조정 치료군 차이(이 약-발간시클로비르)†
차이 (95% CI) |
-1.4 (-6.5, 3.8)‡ |
|
* CMV 질환 사례는 독립적 심사위원회가 확인한다.
§ 바이러스 분리, 급속 배양 항원 혈증 또는 핵산검사로 확인된 혈중 CMV의 증거와 다음 증상 중 2가지 이상이 있는 경우로 정의된다. 1) 최소 2일동안 38℃ 이상의 발열, 2) 새로운 또는 증가된 불쾌감/피로, 3) 최소 24시간 간격으로 두 번의 개별 측정에서 백혈구 감소증 또는 중성구 감소증, 4) 비정형 림프구 5% 이상, 5) 혈소판 감소증, 6) ALT 또는 AST의 ULN의 2배 이상 상승
† 각 계층(유도기 동안 고세포용해, 항림프구 면역요법의 사용/비사용)마다 치료군 당 표본크기의 조화 평균에 따라 가중치를 둔 층화-보정 Mantel-Haenszel법으로 반응 백분율의 치료 차이에 대한 95% CI 를 계산하였다.
‡ 10%의 비열등성 마진을 기준으로 이 약은 발간시클로비르보다 비열등함.
결측치 처리 방법: 관찰된 실패 (OF) 접근법. OF 접근법에서 어떤 이유로든 시험을 조기 중단한 모든 대상자는 실패로 간주되지 않는다.
참고: 이 약에 무작위배정된 시험대상자는 단순포진 바이러스(herpes simplex virus, HSV) 및 수두 대상포진 바이러스(varicella zoster virus, VZV) 예방을 위해 아시클로버를 투여받았다. 발간시클로비르 투여군에 무작위배정된 대상자는 아시클로버에 대한 위약을 투여받았다.
N =각 투여군의 대상자 수
n (%) =각 하위범주에 해당하는 대상자 수(백분율) |
유효성은 유도기 동안 고세포용해, 항림프구 면역요법의 사용/비사용을 포함하여 모든 하위군들에서 유사하였다.
이 약 투여군에서는 이식 후 28주까지 CMV 질환이 발생한 대상자가 없었으나, 발간시클로비르 투여군의 경우 5명에서 발생했다.
3) 동종조혈모세포이식(allogeneic HSCT)을 받은 소아 환자
소아 이식 환자에서 CMV 감염 또는 질환의 예방 전략으로 이 약의 예방 효과를 평가하기 위해, 동종조혈모세포이식(allogeneic HSCT)을 받은 소아 환자를 대상으로 실시된 다기관, 공개 임상, 단일군 제2b상 임상시험(P030)에서 이 약의 유효성을 평가하였다. 시험약은 조혈모세포이식 후(조혈모세포이식 후 0‑28일) 투여를 시작하고 조혈모세포이식 후 14주까지 지속하였다. 시험약은 경구 또는 IV로 투여하였으며, 투여량은 나이, 체중 및 제형에 따라 결정되었다.
투여받은 시험대상자 63명 중, 0세 이상 2세 미만이 8명, 2세 이상 12세 미만이 27명, 12세 이상 18세 미만이 28명이었다. 연령 중앙값은 11세(0 ~ 17세)였고, 70%가 남성, 70%가 백인, 14%가 아시아인, 5%가 흑인, 22%가 히스패닉 또는 라틴계였다. 베이스라인에서 시험대상자의 87%가 골수소멸성 양생법(myeloablative regimen)을 투여받았고, 67%가 사이클로스포린을 투여하고 있었고, 27%가 타크로리무스를 투여하고 있었다. 가장 흔한 이식 사유는 급성골수성백혈병(18%) 및 재생불량성빈혈(10%)이었다.
유효성
임상적으로 유의한 거대세포바이러스(CMV) 감염
P030의 유효성 평가변수는 2차 평가변수였으며 조혈모세포이식 후 14주까지 임상적으로 유의한 CMV 감염의 발생률 및 조혈모세포이식 후 24주까지 임상적으로 유의한 CMV 감염의 발생률을 포함하였다. 임상적으로 유의한 CMV 감염은 CMV 말단장기질환(end‑organ disease)이 발생한 경우 또는 입증된 CMV 바이러스혈증과 대상자의 임상적 상태에 근거하여 항‑CMV 선제요법(PET)을 시작한 경우로 정의되었다. 조혈모세포이식 후 14주까지 및 24주까지 임상적으로 유의한 CMV 감염의 발생률은 각각 7.1% 및 10.7%이었다.