1. 다음 환자에는 투여하지 말 것
1) 이 약의 주성분 또는 이 약의 다른 성분들에 과민성이 있는 환자(3. 일반적 주의 1) 과민반응 참조)
2) 이 약은 급성 기관지 경련 혹은 천식 발작의 완화 목적으로 사용하지 않는다.
2. 이상사례
1) 임상시험에서의 경험
임상시험은 광범위하게 다양한 조건에서 수행되기 때문에, 임상시험에서 관찰된 약물이상반응 빈도는 다른 약물 임상시험에서의 약물이상반응 비율과 직접 비교할 수 없으며, 실제로 관찰될 비율을 반영하지 못할 수 있다.
아토피 피부염
중등도에서 중증의 아토피 피부염 성인 환자를 대상으로 한 3건의 무작위배정, 이중눈가림, 위약대조, 다기관 임상시험(시험 1, 2 및 3으로 지칭) 및 1건의 용량 탐색 임상시험(시험 4로 지칭)을 바탕으로, 이 약의 안전성을 평가하였다. 안전성 군의 평균 연령은 38세였으며, 여성 41%, 백인 67%, 아시아인 24%, 흑인 6%로 구성되었고, 천식(48%), 알러지성 비염(49%), 음식 알러지(37%) 및 알러지성 결막염(27%)과 같은 상태가 동반되었다. 이들 4개 시험에서, 1,472명의 시험대상자가 이 약을 단독 또는 국소 코르티코스테로이드(topical corticosteroids, TCS)와 병용으로 피하투여 받았다.
중등도에서 중증의 아토피 피부염 치료제 개발 프로그램에서, 총 739명의 시험대상자가 이 약을 1년 이상 투여받았다. 시험 1, 2 및 4에서는 이 약 단독투여시의 안전성을 위약과 16주 동안 비교하였다. 시험 3에서는 이 약과 TCS 병용투여시의 안전성을 위약과 TCS 병용투여시의 안전성과 52주 동안 비교하였다.
0 ‑16주 안전성(시험 1 ‑4):
이 약의 16주 단독투여 임상시험(시험 1, 2 및 4)에서, 이상사례로 인해 투여를 중단한 시험대상자의 비율은 이 약 300 mg 2주 간격 투여군 및 위약군 모두 1.9%였다.
표 1은 첫 16주 투여 동안, 단독 투여군(300 mg 2주 간격) 또는 TCS 병용투여 군 각각에서 1% 이상의 발현빈도를 보이면서 각 대조군보다 더 높은 비율로 발생한 약물이상반응을 요약하였다.
표 1. 아토피 피부염 임상시험들에서 16주차까지 이 약 단독투여군 또는 TCS 병용투여군에서 1% 이상의 발현빈도를 보이면서 각 대조군보다 더 높은 비율로 발생한 약물이상반응
|
|
이 약 단독투여a
|
이 약 + TCSb
|
|
이 약
300 mg
2주 간격c
N=529
n (%)
|
위약
N=517
n (%)
|
이 약
300 mg
2주 간격c +
TCS
N=110
n (%)
|
위약
+TCS
N=315
n (%)
|
|
주사부위 반응
|
51 (10)
|
28 (5)
|
11 (10)
|
18 (6)
|
|
결막염d
|
51 (10)
|
12 (2)
|
10 (9)
|
15 (5)
|
|
눈꺼풀염
|
2 (<1)
|
1 (<1)
|
5 (5)
|
2 (1)
|
|
구강 헤르페스
|
20 (4)
|
8 (2)
|
3 (3)
|
5 (2)
|
|
각막염e
|
1 (<1)
|
0
|
4 (4)
|
0
|
|
눈 가려움증
|
3 (1)
|
1 (<1)
|
2 (2)
|
2 (1)
|
|
기타 단순 헤르페스 감염f
|
10 (2)
|
6 (1)
|
1 (1)
|
1 (<1)
|
|
안구 건조
|
1 (<1)
|
0
|
2 (2)
|
1 (<1)
|
a 시험 1, 2 및 4의 통합 분석
b 시험 3 분석(TCS 병용 투여군)
c 0주에는 이 약 600 mg을, 이후 매 2주마다 300 mg을 투여함.
d 결막염은 결막염, 알러지성 결막염, 세균성 결막염, 바이러스성 결막염, 거대유두결막염, 눈 자극감 및 눈 염증을 포함.
e 각막염은 각막염, 궤양성 각막염, 알러지성 각막염, 아토피성 각결막염, 및 눈 단순 포진을 포함.
f 기타 단순 헤르페스 감염은 단순 포진, 생식기 포진, 외이도성 단순 포진 및 헤르페스 바이러스 감염을 포함하고 포진상 습진은 제외함.
아토피성 손발 피부염
이 약의 안전성은 중등도에서 중증의 아토피성 손발 피부염이 있는 성인 및 12 ‑ 17세의 청소년 환자 133명을 대상으로 평가되었다 (시험 11). 이들 환자에서 이 약의 16주간의 안전성 프로파일은 중등도에서 중증의 아토피 피부염이 있는 성인 및 6개월 이상의 소아 환자를 대상으로 한 시험의 안전성 프로파일과 일치했다.
52주 안전성(시험 3):
이 약과 TCS 병용투여 임상시험(시험 3)에서, 이상사례로 인해 투여를 중단한 시험대상자의 비율은 위약군 7.6%, 이 약 300 mg 2주 간격 투여군 1.8%이었다. 이 약 투여군에서 2명이, 아토피 피부염(1명) 및 박리성 피부염(1명)의 약물이상반응으로 투여를 중단하였다.
천식
중등도에서 중증의 천식 성인 및 청소년 환자 2,888명을 대상으로 한 3건의 무작위배정, 위약대조, 다기관 임상시험(천식 시험 1, 2 및 3으로 지칭)을 바탕으로, 24 ‑ 52주간 이 약의 안전성을 평가하였다. 이 중, 2,678명은 중간 용량 내지 고용량 흡입 코르티코스테로이드와 추가 조절제(천식 시험 1, 2)를 정기적으로 사용했음에도 불구하고 임상시험 등록 전 해에 1회 이상의 심한 천식 악화를 경험했던 환자들이었다. 고용량 흡입 코르티코스테로이드와 2개까지의 추가 조절제를 병용중인 경구 코르티코스테로이드 의존성 천식 환자 총 210명이 임상에 등록되었다(천식 시험 3). 안전성 평가군(천식 시험 1, 2)의 연령은 12 ‑87세로, 그 중 63 % 는 여성이고 82 % 는 백인이었다. 이 약 초회 용량 400 mg 혹은 600 mg 투여 후 유지 용량으로 200 mg 혹은 300 mg을 2주 간격으로 피하 투여했다.
천식 시험 1, 2에서, 이상사례로 인해 치료를 중단한 비율은 위약군에서 4%, 이 약 200 mg 2주간격 투여군 3%, 이 약 300 mg 2주간격 투여군 6% 였다.
천식 시험 1, 2 중 이 약 단독투여군에서 최소 1% 이상의 발현빈도를 보이면서 위약 대조군 보다 높은 비율로 발생한 약물이상반응은 표 2와 같다.
표 2. 천식 시험 1, 2 중 이 약 단독투여군에서 1% 이상의 발현빈도를 보이면서 위약 대조군보다 더 높은 비율로 발생한 약물이상반응(6개월 안전성 평가)
|
|
천식 시험 1, 2
|
|
이 약
200 mg
2주 간격
N=779
n (%)
|
이 약
300 mg
2주 간격
N=788
n (%)
|
위약
N=792
n (%)
|
|
주사 부위 반응a
|
111(14)
|
144(18)
|
50(6)
|
|
구강 인두 통증
|
13(2)
|
19(2)
|
7(1)
|
|
호산구 증가증b
|
17(2)
|
16(2)
|
2(<1)
|
a 주사 부위 반응은 홍반, 부종, 가려움증, 통증 및 염증을 포함한다.
b 호산구 증가증은 혈중 호산구 수가 3,000 cells/μL 이상이거나, 연구자에 의해 이상사례로 보고된 경우로 정의되었다. 이 중 심각한 호산구 수치의 기준에 해당하는 사람은 없었다.(3. 일반적 주의 3) 호산구성 상태 참조)
주사부위 반응은 초회 투여 시 매우 흔한 반응이다.
이 약의 52주간의 안전성 프로파일은 24주에서 관찰된 안전성 프로파일과 전반적으로 일관된 결과를 보였다.
비용종을 동반한 만성 비부비동염
비용종을 동반한 만성 비부비동염 성인 환자 722명을 대상으로 한 2건의 무작위배정, 위약 대조, 다기관 임상시험(비부비동염 시험 1, 2)을 바탕으로, 24 ‑52주간 이 약의 안전성을 평가하였다. 안전성 평가는 2건의 임상시험의 첫 24주간 자료로 구성되었다.
안전성 통합 자료에서 이상사례로 인해 투여를 중단한 시험대상자의 비율은 위약군 5%, 이 약 300mg 2주 간격 투여군 2%였다.
표 3은 비부비동염 시험 1, 2 중 이 약 투여군에서 1% 이상의 발현빈도를 보이면서 각 대조약군보다 더 높은 비율로 발생한 약물이상반응을 요약하였다.
표 3. 비부비동염 시험 1, 2 중 이 약 투여군에서 1% 이상의 발현빈도를 보이면서 각 대조약군보다 더 높은 비율로 발생한 약물이상반응(24주 안전성 평가)
|
|
이 약 300 mg 2주 간격
N=440
n(%)
|
위약
N=282
n(%)
|
|
주사 부위 반응a
|
28 (6%)
|
12 (4%)
|
|
결막염b
|
7 (2%)
|
2 (1%)
|
|
관절통
|
14 (3%)
|
5 (2%)
|
|
위염
|
7 (2%)
|
2 (1%)
|
|
불면증
|
6 (1%)
|
0 (<1%)
|
|
호산구증가증
|
5 (1%)
|
1 (<1%)
|
|
치통
|
5 (1%)
|
1 (<1%)
|
a 주사 부위 반응 군집에는 주사 부위 반응, 동통, 멍, 부종이 포함된다.
b 결막염 군집에는 결막염, 알러지성 결막염, 세균성 결막염, 바이러스성 결막염, 거대유두결막염, 눈 자극감 및 눈 염증이 포함된다.
결절성 가려움 발진 (양진)
결절성 가려움 발진 (양진) 성인 환자 309명을 대상으로 한 2건의 무작위배정, 이중눈가림, 위약대조, 다기관 임상시험(결절성 가려움 발진 (양진) 시험 1, 2)을 바탕으로, 24주간 이 약의 안전성을 평가하였다. 안전성 평가는 2건의 임상시험의 24주 치료 및 12주 추적기간의 자료로 구성되었다.
안전성 통합 자료에서 이상사례로 인해 투여를 중단한 시험대상자의 비율은 위약군 3%, 이 약 300 mg 2주 간격 투여군 0%였다.
표 4는 결절성 가려움 발진 (양진) 시험 1, 2 중 이 약 투여군에서 1% 이상의 발현빈도를 보이면서 각 대조약군보다 더 높은 비율로 발생한 약물이상반응을 요약하였다.
표 4. 결절성 가려움 발진 (양진) 시험 1, 2 중 이 약 투여군에서 1% 이상의 발현빈도를 보이면서 각 대조약군보다 더 높은 비율로 발생한 약물이상반응(안전성 평가)
|
|
이 약 300 mg 2주 간격
N=152
n(%)
|
위약
N=157
n(%)
|
|
결막염a
|
6 (4%)
|
2 (1%)
|
a 결막염 군집에는 결막염, 알러지성 결막염, 세균성 결막염, 바이러스성 결막염, 거대유두결막염, 눈 자극감 및 눈 염증이 포함된다. 결절성 가려움 발진 (양진) 프로그램에서 이 약 투여군 군집에서 관찰된 사례는 결막염 및 알러지성 결막염이다.
만성폐쇄성폐질환
만성폐쇄성폐질환 성인 환자 1872명을 대상으로 한 2건의 무작위배정, 이중눈가림, 다기관, 평행군, 위약대조 임상시험(만성폐쇄성폐질환 시험 1, 2)을 바탕으로, 52주간 이 약의 안전성을 평가하였다. 두 임상시험에서 환자들은 이 약 300 mg 2주 간격 투여 또는 이에 상응하는 위약을 투여받도록 무작위 배정되었다.
이상사례로 인해 투여를 중단한 환자의 비율은 위약군 3.0%, 이 약 300 mg 2주 간격 투여군 3.4%였다.
표 5는 만성폐쇄성폐질환 시험 1, 2 중 이 약 투여군에서 2% 이상의 발현 빈도를 보이면서 각 대조약군보다 더 높은 비율로 발생한 약물이상반응을 요약하였다.
표 5. 만성폐쇄성폐질환 시험 1, 2 중 이 약 투여군에서 2% 이상의 발현 빈도를 보이면서 각 대조약군보다 더 높은 비율로 발생한 약물이상반응 (안전성 평가)
|
|
이 약 300 mg 2주 간격
N=938
N (%)
|
위약
N=934
N (%)
|
|
각종 주사 부위 반응a
|
23 (2.5%)
|
4 (0.4%)
|
a 각종 주사 부위 반응에는 주사 부위 반응, 홍반, 멍, 경화, 발진, 통증, 피부염, 소양증이 포함된다.
특정 약물이상반응
⓵ 결막염 및 각막염
아토피 피부염 52주 병용투여 시험(시험 3) 중 결막염은 이 약 300 mg 2주 간격 투여 및 국소 코르티코스테로이드(topical corticosteroid, 이하 TCS) 병용투여 군에서 16%(100명 ‑년 중 20건), 위약 및 TCS 병용투여 군에서 9%(100명 ‑년 중 10건)로 보고되었다. 이 약의 아토피 피부염 16주 단독투여 시험(시험 1, 2 및 4) 중 각막염은 이 약 투여군에서 <1%(100명 ‑년 중 1건), 위약군에서 0%(100명 ‑년 중 0건)로 보고되었다. 아토피 피부염의 이 약 및 TCS 52주 병용투여 시험(시험 3) 중, 각막염은 이 약 및 TCS 병용투여 군에서 4%(100명 ‑년 중 12건), 위약 및 TCS 병용투여 군에서 0%(100명 ‑년 중 0건)로 보고되었다. 결막염 또는 각막염이 있는 시험대상자들 대부분이 회복되었거나 치료 기간 동안 회복 중이었다. 장기 공개연장 임상시험(시험 9)에서 각각 결막염 및 각막염의 발생 비율은 기존 임상시험(시험 3)과 유사하였다. 천식 및 만성폐쇄성폐질환 시험대상자에서의 결막염 및 각막염 발생 빈도는 낮았고, 이 약 투여군 및 위약 투여군 간 유사하였다. 비용종을 동반한 만성 비부비동염 및 결절성 가려움 발진 (양진) 시험대상자에서 결막염 발생 빈도는 낮았지만, 이 약 투여군에서의 발생 빈도가 위약 투여군보다 높았다. 비용종을 동반한 만성 비부비동염 또는 결절성 가려움 발진 (양진) 개발 프로그램에서 각막염은 보고되지 않았다.(3. 일반적 주의 2) 결막염 및 각막염 참조)
⓶ 포진상 습진 및 대상포진
아토피 피부염 임상에서 포진상 습진의 비율은 위약군과 이 약 투여군에서 유사하였다.
대상포진은 아토피 피부염 환자 대상 16주 단독투여 시험 중 이 약 투여군에서 <0.1%(100명 ‑년 중 <1건), 위약군에서 <1%(100명 ‑년 중 1건)로 보고되었다. 52주 병용투여 시험 중, 이 약 및 TCS 병용투여 군에서 1%(100명 ‑년 중 1건), 위약 및 TCS 병용투여 군에서 2%(100명 ‑년 중 2건)로 보고되었다. 천식 시험대상자에서의 대상포진 발생 빈도는 이 약 투여군 및 위약 투여군 간 유사하였다. 비용종을 동반한 만성 비부비동염 시험대상자에서 대상포진 또는 포진상 습진은 보고되지 않았다.
⓷ 과민반응
과민반응은 이 약을 투여 받은 시험대상자의 1%미만에서 보고되었다. 여기에는 혈관 부종, 혈청병 반응(serum sickness reaction), 혈청병 ‑유사 반응(serum sickness ‑like reaction), 전신성 두드러기, 발진 및 결절성 홍반 및 아나필락시스가 포함되었다.(1. 다음 환자에는 투여하지 말 것 및 3. 일반적 주의 1) 과민반응 참조)
⓸ 호산구
위약을 투여 받은 시험대상자에 비해, 이 약을 투여 받은 아토피 피부염, 천식, 비용종을 동반한 만성 비부비동염, 만성폐쇄성폐질환 시험대상자에서 베이스라인 대비 호산구 수치의 초기 상승정도가 더 높았다. 아토피 피부염 임상 시험 대상자의 베이스라인 대비 4주의 혈중 호산구의 평균 증가값 및 중앙 증가값은 각각 100 cells/μL 및 0 cells/μL였다. 천식 시험대상자의 베이스라인 대비 4주의 혈중 호산구의 평균 증가값 및 중앙 증가값은 각각 130cells/μL 및 10cells/μL였다. 비용종을 동반한 만성 비부비동염 시험대상자의 베이스라인 대비 16주의 혈중 호산구의 평균 증가값 및 중앙 증가값은 각각 150cells/μL 및 50cells/μL였다. 결절성 가려움 발진 (양진) 시험대상자에서는 위약을 투여받은 시험대상자에 비해 평균 혈중 호산구의 증가는 관찰되지 않았다(결절성 가려움 발진 (양진) 시험 1, 2). 만성폐쇄성폐질환에서 이 약을 투여 후 발생한 호산구 증가증 ( ≧ 500 cells/μL)은 위약군에 비해 이 약 투여군에서 높았고, 임상 증상과 관련된 증례는 없었다.
아토피 피부염, 천식, 비용종을 동반한 만성 비부비동염 적응증에서, 이 약을 투여 후 발생한 호산구 증가증 ( ≧ 500 cells/μL)의 발생률은 이 약 투여군과 위약군에서 유사하였다. 결절성 가려움 발진 (양진)에서 이 약을 투여한 후 발생한 호산구 증가증 ( ≧ 500 cells/μL)의 발생률은 위약 투여군에서보다 이 약 투여군에서 낮았다. 치료로 인한 호산구 증가증( ≧ 5000 cells/μL)은 이 약 투여군 2% 미만, 위약 투여군 0.5% 미만에서 보고되었다. 호산구 수치는 시험 기간 동안 베이스라인 수준으로 감소하였다(시험 1, 시험 2, 시험 4, 천식시험 1, 천식시험 2, 비부비동염 시험 1, 비부비동염 시험 2, 결절성 가려움 발진 (양진) 시험 1, 결절성 가려움 발진 (양진) 시험 2, 만성폐쇄성폐질환 시험 1, 만성폐쇄성폐질환 시험 2). 호산구 수는 천식 환자를 대상으로 한 공개 연장 임상시험 기간 동안 베이스라인 미만으로 계속 감소하였다.(3. 일반적 주의 3) 호산구성 상태 참조)
시험 10에서 치료로 인한 호산구 증가증( ≧ 5,000 cells/μL)이 이 약 투여군의 8.4%, 위약 투여군의 0%에서 보고되었으며, 투여 기간 종료 시 호산구 수 중앙값이 베이스라인 미만으로 감소하였다.
⓹ 심혈관계
천식 시험대상자를 대상으로 한 1년간의 위약 대조 임상시험(천식 시험 2)에서, 심혈관 혈전색전증(심혈관성 사망, 비치명적 심근경색증, 비치명적 뇌졸중)은 이 약 200 mg을 2주 간격 투여한 군에서 1명 (0.2%), 이 약 300 mg을 2주 간격 투여한 군에서 4명(0.6%), 그리고 위약군에서 2명(0.3%)이 보고되었다.
아토피 피부염 시험대상자를 대상으로 한 1년간의 위약 대조 임상시험(시험 3)에서, 심혈관 혈전색전증(심혈관성 사망, 비치명적 심근경색증, 비치명적 뇌졸중)은 이 약 300 mg + TCS 2주 간격 병용투여한 군에서 1명(0.9%), 이 약 300 mg 과+TCS 1주 간격 병용투여한 군에서 0명(0.0%), 그리고 위약+TCS 병용투여군에서 1명(0.3%)이 보고되었다.
비용종을 동반한 만성 비부비동염 시험대상자를 대상으로 한 24주간의 위약 대조 임상시험(비부비동염 시험 1)에서, 심혈관 혈전색전증(심혈관성 사망, 비치명적 심근경색, 비치명적 뇌졸중)은 이 약 투여군에서 1명(0.7%), 위약군에서 0명(0.0%) 보고되었다. 비용종을 동반한 만성 비부비동염 시험대상자를 대상으로 한 1년간의 위약 대조 임상시험(비부비동염 시험 2)에서, 심혈관 혈전색전증(심혈관성 사망, 비치명적 심근경색증, 비치명적 뇌졸중)은 모든 치료군에서 보고되지 않았다.
➅ 감염
아토피 피부염, 천식, 비용종을 동반한 만성 비부비동염, 결절성 가려움 발진 (양진), 만성폐쇄성폐질환에서 중대한 감염 발생률은 이 약 투여군과 위약군 간에 유사했다.
아토피 피부염 임상시험의 일차 안전성 통합 자료에서 위약과 비교하여 이 약에 대한 감염 또는 중대한 감염의 전체 발생률 증가는 관찰되지 않았다. 16주 단일요법 임상시험 일차 안전성 통합 자료에서, 중대한 감염은 이 약 투여군의 0.5% 및 위약군의 1.0%에서 보고되었다. 52주 시험 3에서, 중대한 감염은 이약 투여군의 0.2% 및 위약군의 0.6%에서 보고되었다.
천식 임상시험의 안전성 통합 자료에서 위약과 비교하여 이 약 투여 시 감염의 전체 발생률 증가는 관찰되지 않았다. 24주 안전성 통합 자료에서 중대한 감염은 이 약 투여군의 1.0% 및 위약군의 1.1%에서 보고되었다. 52주 천식 임상시험 2에서, 중대한 감염은 이 약 투여군의 1.3% 및 위약군의 1.4%에서 보고되었다.
비용종을 동반한 만성 비부비동염 임상시험의 안전성 통합 자료에서 위약과 비교하여 이 약 투여 시 감염의 전체 발생률 증가는 관찰되지 않았다. 24주 안전성 통합 자료에서 중대한 감염은 이 약 투여군의 0.7% 및 위약군의 1.1%에서 보고되었다. 52주 비용종을 동반한 만성 비부비동염 시험 2에서, 중대한 감염은 이 약 투여군의 1.3% 및 위약군의 1.3%에서 보고되었다.
결절성 가려움 발진 (양진) 임상시험의 안전성 통합 자료에서 위약과 비교하여 이 약 투여 시 감염의 전체 발생률 증가는 관찰되지 않았다. 안전성 통합 자료에서 중대한 감염은 이 약 투여군의 1.3% 및 위약군의 1.3%에서 보고되었다.
만성폐쇄성폐질환 임상시험의 안전성 통합 자료에서 위약과 비교해 이 약 투여 시 감염의 전체 발생률에서의 증가는 관찰되지 않았다. 중대한 감염은 이 약 투여군의 4.9% 및 위약군의 4.8%에서 보고되었다.
2) 소아 집단
아토피 피부염
청소년 환자(12 ‑17세)
12 ‑17세의 중등도에서 중증의 아토피 피부염 환자 250 명을 대상으로 한 임상시험에서 이 약의 안전성이 평가되었다(시험 6). 해당 환자들에서의 이 약의 16주간의 안전성 프로파일은 성인 아토피 피부염 환자를 대상으로 한 임상시험의 안전성 프로파일과 유사하였다.
소아 환자(6 ‑11세)
6 ‑11세의 중증의 아토피 피부염 환자 367명을 대상으로 한 임상시험에서 이 약과 TCS 병용투여시의 안전성이 평가되었다(시험 8). 해당 환자들에서의 이 약과 TCS 병용투여시 16주간의 안전성 프로파일은 성인 및 청소년 아토피 피부염 환자를 대상으로 한 임상시험의 안전성 프로파일과 유사하였다.
소아 환자(6개월 ‑5세)
6개월 ‑5세의 중등도에서 중증의 아토피 피부염 환자 161명을 대상으로 한 임상시험에서 이 약과 TCS의 병용투여시의 안전성이 평가되었다(시험 10). 해당 환자들에서의 이 약과 TCS 병용투여시 16주간의 안전성 프로파일은 성인 및 6 ‑17세의 소아 아토피 피부염 환자를 대상으로 한 임상시험의 안전성 프로파일과 유사하였다.
3) 장기 안전성
아토피 피부염
성인
이 약과 TCS 병용투여시의 52주 안전성 프로파일은 16주에 관찰된 안전성 프로파일과 일치하였다. 중등도에서 중증의 아토피피부염 성인환자 대상 공개 연장시험(시험 9)에서 최소 52주 완료한 2,254명, 최소 100주 완료한 1,224명, 최소 148주까지 완료한 561명 및 최소 260주까지 완료한 179명을 포함해서 총 2,677명의 성인 아토피 피부염 환자의 장기안전성을 평가하였다. 시험 9의 대부분의 시험대상자(99.7%)는 매주 이 약 300mg을 투여 받았다. 이 임상시험에서 최대 5년까지 관찰된 장기 안전성 프로파일은 이전 임상시험에서 관찰된 이 약의 안전성 프로파일과 전반적으로 일치하였다.
청소년 환자(12 ‑17세)
12 ‑17세의 중등도에서 중증의 아토피 피부염 환자를 대상으로 한 공개 연장 임상시험에서 이 약의 안전성이 평가되었다(시험 7). 해당 환자들에서의 이 약의 52주간의 안전성 프로파일은 시험 6에서 16주간 관찰된 안전성 프로파일과 유사하였다. 청소년에게 관찰된 이 약의 장기 안전성 프로파일은 성인 아토피 피부염 환자들의 결과와 일관된 결과를 보였다.
소아 환자(6 ‑11세)
6 ‑11세의 아토피 피부염 환자 368명을 대상으로 한 공개 연장 임상시험에서 이 약과 TCS 병용투여시의 장기 안전성이 평가되었다(시험 7). 해당 환자들 중 110명(30%)이 시험 등록 시점에 중등도 아토피 피부염, 72명(20%)이 중증 아토피 피부염 환자였다. 이 약과 TCS 병용투여시 52주간의 안전성 프로파일은 시험 8에서 16주간 관찰된 안전성 프로파일과 유사하였다. 소아에게 관찰된 이 약과 TCS 병용투여시의 장기 안전성 프로파일은 성인 및 청소년 아토피 피부염 환자들의 결과와 일치하였다.
소아 환자(6개월 ‑5세)
6개월 ‑5세의 아토피 피부염 환자 180명을 대상으로 한 공개 연장 임상시험에서 이 약과 TCS 병용투여시의 장기 안전성이 평가되었다(시험 7). 이 약과 TCS 병용투여 시 52주간의 안전성 프로파일은 시험 10에서 16주간 관찰된 안전성 프로파일과 유사하였다. 6개월 ‑5세의 소아에서 관찰된 이 약과 TCS 병용투여시의 장기 안전성 프로파일은 성인 및 6 ‑17세의 소아 아토피 피부염 환자들의 결과와 일치하였다.
천식
성인 및 청소년 환자(12 ‑17세)
12세 이상의 중등도에서 중증의 천식 환자 2,282명을 대상으로 한 공개 연장 시험(천식 시험 4)에서 이 약의 장기 안전성을 평가하였다. 해당 환자들은 최대 96주간 추적 관찰되었으며, 이 약의 누적 노출은 3,169환자 ‑년이었다. 천식 시험 4에서 이 약의 안전성 프로파일은 52주간 관찰된 안전성 프로파일과 일치하였다. 추가적인 약물이상반응은 관찰되지 않았다.
비용종을 동반한 만성 비부비동염
이 약의 52주간의 안전성 프로파일은 24주간 관찰된 안전성 프로파일과 전반적으로 일치하였다.
4) 면역원성
다른 모든 치료용 단백질과 마찬가지로, 이 약은 잠재적 면역원성이 있을 수 있다. 항체 형성 검출은 분석법의 민감도 및 특이성에 매우 의존적이다. 또한, 분석시험에서 관찰된 항체(중화 항체 포함) 양성 발생률은 분석방법, 샘플 취급, 샘플 수집 시점, 개별 환자의 병용약물 및 기저질환과 같은 몇몇 요인들에 의해 영향을 받는다. 따라서 아래에 기술되는 이 약에 대한 항체 발생률을 다른 시험에서의 항체 발생률 또는 다른 약물에 대한 항체 발생률과 비교하는 것은 오인될 소지가 있다.
이 약 300 mg을 52주 동안 2주 간격으로 투여 받은 아토피 피부염 혹은 천식 혹은 비용종을 동반한 만성 비부비동염 시험대상자의 약 5%에서 이 약에 대한 항체가 발생하였다. 약 2%는 지속적인 항약물항체(Anti ‑Drug Antibody, ADA) 반응을 나타냈으며, 약 2%는 중화항체를 보유하였다. 최대 52주간 이 약 200 mg을 2주 간격으로, 200 mg을 4주 간격으로 또는 300 mg을 4주 간격으로 투여 받은 아토피 피부염 소아(6개월 ‑11세) 시험대상자, 이 약 100 mg을 2주 간격으로 또는 200 mg을 2주 간격으로 투여 받은 천식 소아(6 ‑11세) 시험대상자 및 24주간 이 약 300 mg을 2주 간격으로 투여 받은 결절성 가려움 발진 (양진) 성인 시험대상자에서 유사한 결과가 관찰되었다.
이 약 200 mg 혹은 300 mg을 16주 동안 2주 간격으로 투여 받은 아토피 피부염 시험 청소년대상자의 약 16%에서 이 약에 대한 항체가 발생하였다. 약 3%는 지속적인 ADA 반응을 나타냈으며, 약 5%는 중화항체를 보유하였다.
이 약 200 mg을 52주 동안 2주 간격으로 투여 받은 천식 시험대상자의 약 9%에서 이 약에 대한 항체가 발생하였다. 약 4%는 지속적인 ADA 반응을 나타냈으며, 약 4%는 중화항체를 보유하였다.
이 약 300 mg을 52주 동안 2주 간격으로 투여 받은 만성폐쇄성폐질환 시험대상자의 8.4%에서 이 약에 대한 항체가 발생하였다. 2.6%는 지속적인 ADA 반응을 나타냈으며, 3%는 중화항체를 보유하였다.
연령이나 모집군에 상관없이 위약군 시험대상자들의 최대 4%는 이 약에 대한 항체에 양성을 나타내었다. 약 2%는 지속적인 ADA 반응을 나타냈으며, 약 1%는 중화항체를 보유하였다.
이 약을 투여받은 시험대상자와 위약을 투여받은 시험대상자에서 확인된 항체 역가는 대체로 낮았다. 이 약을 투여 받은 시험대상자에서의 높은 항체 역가 발생은 이 약에 대한 낮은 혈청 농도와 연관되었다.(12. 전문가를 위한 정보 2) 약동학적 정보 참조)
높은 항체 역가를 보인 2명의 성인 시험대상자는 이 약을 투여 받던 중 혈청병 또는 혈청병 유사반응을 보였다.(3. 일반적 주의 1) 과민반응 참조)
5) 시판 후 조사
시판 후 다음 이상사례가 보고되었다. 이상사례는 자발적으로 보고되었으므로 발현 빈도는 ‘알 수 없음’이다.(이용 가능한 자료로부터 추정할 수 없음)
‑ 면역계 장애: 혈관부종
‑ 피부 및 피하조직 장애: 안면발진
‑ 근골격 및 결합조직 장애: 관절통
‑ 눈 장애: 각막염, 궤양성 각막염
3. 일반적 주의
1) 과민반응
임상시험에서 이 약을 투여 받은 시험대상자의 1% 미만에서 혈관 부종, 전신성 두드러기, 발진, 결절성 홍반, 그리고 혈청병 또는 혈청병 유사반응을 포함한 과민반응이 보고되었다. 2명의 시험대상자는 이 약에 대한 높은 항체 역가와 관련된 혈청병 또는 혈청병 유사반응을 경험하였다. 1명의 천식 시험대상자는 아나필락시스를 경험하였다.(2. 이상사례 중 2) 면역원성 참조) 임상적으로 유의한 과민반응이 발생한 경우, 이 약의 투여를 중단하고 적절한 치료를 시작한다.(2. 이상사례 중 1) 임상시험에서의 경험 참조)
2) 결막염 및 각막염
주로 아토피 피부염 환자에서 이 약 투여 시 결막염 및 각막염 관련 이상사례가 보고되었다. 일부 환자는 결막염 또는 각막염 관련 시각 장애(예: 시야 흐림)를 보고하였다.(2. 이상사례 1) 임상시험에서의 경험 참조)
환자들에게 눈 증상이 새로 발생하거나 악화될 경우 의료진에게 알리도록 권고한다. 표준 치료 후 해소되지 않는 결막염이 발생하거나 각막염을 시사하는 징후 및 증상이 발생한 이 약 투여 환자는 적절한 안과 검사를 받아야 한다.(2. 이상사례 1) 임상시험에서의 경험 참조)
3) 호산구성 상태
천식 치료중인 환자들은 호산구성 폐렴 또는 호산구성 육아종증 다발혈관염과 일치하는 혈관염의 임상적 특징을 보이고 종종 전신성 코르티코스테로이드 치료를 해야하는, 심각한 전신성 호산구증을 나타낼 수 있다. 이러한 증상은 경구 스테로이드 감량과 관련이 있을 수 있다. 의료진들은 혈관성 발진, 폐 증상의 악화, 심장 합병증 및/또는 호산구증 환자의 신경병증에 주의해야한다. 호산구성 폐렴 사례가 천식 시험의 성인 대상자에게서 보고되었고, 호산구성 육아종증 다발혈관염과 일치하는 혈관염 사례가 천식 시험 및 비용종을 동반한 만성 비부비동염 시험에서 천식을 동반한 성인 대상자에게서 보고되었다. 이 약과 해당 상태들 간의 인과관계는 아직 확립되지 않았다.
4) 천식 또는 만성폐쇄성폐질환의 급성 증상 혹은 급성 질병 악화
이 약은 천식 또는 만성폐쇄성폐질환의 급성 증상 혹은 급성 악화에 투여해서는 안된다. 급성 기관지 경련 혹은 천식 발작 환자에게 이 약을 투여해서는 안된다. 이 약 투여 개시 이후 천식이 조절되지 않거나 악화된다면 전문가의 자문을 구해야 한다.
5) 코르티코스테로이드 용량의 감량
이 약의 치료 개시와 함께 전신, 국소 혹은 흡입 코르티코스테로이드의 투여를 갑자기 중단해서는 안 된다. 필요 시, 코르티코스테로이드의 감량은 점진적으로 의사의 직접적인 감독 하에 이루어져야 한다. 코르티코스테로이드 감량은 전신성 금단증상 및/또는 전신성 코르티코스테로이드 치료에 의해 억제되었던 증상의 출현과 관련 있을 수 있다.
6) 천식이 동반된 환자
동반천식이 있는 아토피 피부염 또는 비용종을 동반한 만성 비부비동염 환자에게 의사와의 상담 없이 천식 치료를 조절하거나 중단하지 않도록 권고한다.
7) 기생충 감염
기생충 감염이 있는 환자는 임상시험에 포함되지 않았다. 기생충 감염에 대한 면역반응에 이 약이 영향을 미치는지 여부는 알려져 있지 않다.
이 약의 투여 개시 전에 기존에 기생충이 감염된 환자는 치료한다. 만약 환자가 이 약을 투여 받는 동안 감염되고 기생충약에 대한 반응이 없는 경우, 감염이 치료될 때까지 이 약의 투여를 중단한다.
4. 상호작용
1) 생백신
이 약 투여 중 생백신을 투여하지 않는다.
2) 사백신
아토피 피부염 시험대상자를 대상으로 이 약 300 mg을 1주 간격(권장 빈도의 2배)으로 16주 동안 투여하는 1개의 임상시험에서 백신에 따른 면역반응을 평가하였다. 이 약 투여 12주 후, 시험대상자들에게 디프테리아 파상풍 백일해(Tdap) 백신(Adacel
®) 및 수막구균 다당류 백신(Menomune
®)을 투여하였다. 투여 4주 후 파상풍 톡소이드 및 수막구균 다당류 혈청형 C에 대한 항체반응을 평가하였다. Tdap 백신 및 수막구균 다당류 백신 모두에 대한 항체반응은 위약군과 이 약 투여군에서 유사하였다. Adacel
® 및 Menomune
® 백신의 다른 활성성분에 대한 면역반응은 평가되지 않았다.
3) 약물 상호작용 연구
이 약은 병용 약물의 약동학에 영향을 미치지 않을 것으로 예상된다. 집단 분석에 따르면, 중등도 ‑중증 천식 환자에서 일반적으로 병용되는 약물은 이 약의 약동학에 영향이 없었다.
CYP450 기질과의 상호작용
미다졸람(CYP3A4에 의해 대사), 와파린(CYP2C9에 의해 대사), 오메프라졸(CYP2C19에 의해 대사), 메토프롤롤(CYP2D6에 의해 대사) 및 카페인(CYP1A2에 의해 대사)의 약동학에 대한 이 약의 영향은 아토피 피부염 시험대상자 12 ‑13명를 대상으로 한 연구에서 평가되었다(초회 용량 600 mg 피하투여 후 6주동안 매주 300 mg 피하투여). 임상적으로 의미있는 AUC의 변화는 관찰되지 않았다. 관찰된 가장 큰 영향은 메토프롤롤(CYP2D6에 의해 대사)의 AUC가 29% 증가하였다.
5. 임부, 수유부 및 가임여성에 대한 투여
1) 임부
이 약에 대한 임산부에서의 증례 보고 및 증례 연구에서 이 약과 연관된 주요 선천적 결손, 유산, 산모 혹은 태아의 부정적인 결과에 대한 위험은 밝혀진바 없다.
사람 면역글로불린G(IgG)는 태반 장벽을 통과하는 것으로 알려져 있다. 그러므로 이 약은 모체에서 태아로 전달될 수 있다. 임신 중 천식과 관련된 모체 및 태아에 대한 유해영향이 있다. 임신한 원숭이들에게 IL ‑4Rα에 대한 동종 항체를 최고권장인체용량(maximum recommended human dose, MRHD)의 10배까지의 용량으로 기관 발생기부터 출산까지 매주 피하투여한 강화된 출산 전/후 발달 독성시험 결과, 이들에서 태어난 자손에서 유해한 영향은 관찰되지 않았다. 적응증 집단에서 주요 출생 결함 및 유산의 배경(background) 위험은 알려져 있지 않다. 모든 임신은 선천성 결함, 유산 및 다른 유해한 결과의 배경 위험성이 있다.
질병 관련 모체 및/또는 배아 ‑태아 위험도
제대로 조절되지 않거나 중등도로 조절되는 천식동반 여성의 경우, 산모에서의 자간전증, 신생아에서의 임신주수 보다 작거나, 조숙증, 저체중의 위험이 증가한다는 근거가 있다. 천식 조절 정도는 임산부에서 면밀히 관찰되어야 하며, 필요 시 최선의 조절을 유지하기 위해 치료를 조정해야 한다.
동물시험 결과
강화된 출생 전/후 발달 독성 연구에서, 임신한 사이노몰구스 원숭이들에게 기관 형성 시작부터 분만 때까지 매주 피하로 MRHD의 10배까지(100mg/kg/주 기준) 투여하였다. 출생부터 생후 6개월까지의 영아에서 태아 독성이나 기형, 혹은 형태학적, 기능적 또는 면역학적 발달에 대한 치료 관련 유해 영향이 관찰되지 않았다.
2) 수유
이 약이 모유 중 존재하는 지 여부, 모유수유 영아에 미치는 영향 또는 모유 생산에 미치는 영향에 대한 정보는 없다. 산모의 IgG는 모유에 존재하는 것으로 알려져 있다. 모유수유 영아에서의 국소 위장관계 영향 및 이 약에 의한 제한적인 전신 노출의 영향은 알려져 있지 않다. 모유수유의 발달 및 건강상의 이익과 함께 수유부에서 이 약의 임상적 필요성, 이 약 또는 기저의 모체 상태가 모유수유 중인 영아에게 미치는 잠재적 유해 영향을 고려해야 한다.
6. 소아에 대한 투여
아토피 피부염
6개월 이상의 중등도에서 중증의 아토피 피부염이 있는 소아 환자에서의 안전성 및 유효성이 확립되었다. 해당 연령군에서 이 약의 사용은 중등도에서 중증의 아토피 피부염이 있는 12세에서 17세의 청소년 251명이 참여한 시험 6과 중증 아토피 피부염이 있는 6세에서 11세의 소아 367명이 참여한 시험 8, 중등도에서 중증의 아토피 피부염이 있는 6개월에서 5세의 소아 162명이 참여한 시험 10에 근거한다. 6개월에서 17세의 소아/청소년 823명(청소년 275명, 6 ‑11세 소아 368명, 6개월 ‑5세 소아 180명)을 대상으로 진행한 공개 연장 임상시험인 시험 7 또한 이 약의 사용을 뒷받침한다. 시험 7에서 새로운 안전성 실마리 정보는 확인되지 않았다 (2. 이상사례 2) 소아 집단 참조). 중등도에서 중증의 아토피성 손발 피부염이 있는 12세에서 17세의 청소년 27명이 참여한 시험 11도 이 약의 사용을 뒷받침한다.
안전성 및 유효성은 소아, 청소년 및 성인 환자에서 전반적으로 일관되었다.(2. 이상사례 1) 임상시험에서의 경험 및 2) 소아 집단, 12. 전문가를 위한 정보 3) 임상시험 정보 참조)
6개월 미만의 소아 아토피 피부염 환자에서의 안전성 및 유효성은 확립되지 않았다.
천식
중등도에서 중증의 천식이 있는 12세에서 17세의 청소년 107명이 천식 시험 2에 참여해 이 약 200 mg(N=21) 혹은 300 mg(N=18)(혹은 이 약 200 mg에 해당하는 위약[N=34] 혹은 300 mg[N=34])를 2주 간격으로 투여받았다. 천식 악화와 폐기능이 청소년 및 성인 모두에게 평가되었다. 200 mg 및 300 mg 2주 간격 투여군에서, 1초간 노력성 호기량(FEV<SUB>1</SUB>)(12주에서의 베이스라인 대비 최소 제곱(LS) 평균 변화)의 개선이 관찰되었다(각각 0.36 L 및 0.27 L). 200 mg 2주 간격 투여군에서, 청소년 시험대상자는 성인과 일치하는 중증 악화 감소율을 보였다.
각각의 체중에 따라 계산된 각각의 용량 투여 시 성인보다 청소년에서 이 약의 노출이 더 높았다.(12. 전문가를 위한 정보 2) 약동학적 정보 참조)
청소년에서의 이상사례 프로파일은 성인과 유사하였다.(2. 이상사례 2) 소아 집단 참조)
중등도에서 중증 천식 공개 연장 시험(천식 시험 4)에 등록된 89명의 청소년 환자에서 이 약의 장기 안전성 및 유효성을 평가하였다. 이 시험에서, 최대 96주 동안 환자를 추적관찰했으며, 그 결과 이 약에 대한 누적 노출은 99환자 ‑년이었다. 천식 시험4에서 이 약의 안전성 프로파일은 핵심 천식 시험에서 관찰된 52주간의 안전성 프로파일과 일치하였다. 추가적인 약물이상반응은 확인되지 않았다. 핵심 천식 시험에서 관찰된 악화 감소 및 폐 기능 개선을 포함한 이 약의 임상적 유익성은 이 시험에서 최대 96주까지 지속되었다.
12세 미만의 소아 천식 환자에서의 안전성 및 유효성은 아직 확립되지 않았다.
비용종을 동반한 만성 비부비동염
비용종을 동반한 만성 비부비동염은 일반적으로 소아에서 발생하지 않는다. 18세 미만의 비용종을 동반한 만성 비부비동염 소아 환자에서의 안전성 및 유효성은 확립되지 않았다.
결절성 가려움 발진 (양진)
18세 미만의 결절성 가려움 발진 (양진) 소아 환자에서의 안전성 및 유효성은 확립되지 않았다.
만성폐쇄성폐질환
만성폐쇄성폐질환은 일반적으로 소아에서 발생하지 않는다. 18세 미만의 만성폐쇄성폐질환 소아 환자에서의 안전성 및 유효성은 확립되지 않았다.
7. 고령자에 대한 투여
용량탐색 시험 및 위약 대조시험에서 이 약에 노출된 아토피성 손발 피부염을 포함한 아토피 피부염 시험대상자 1,539명 중, 71명이 65세 이상이었다. 고령자와 젊은 시험대상자 사이에 안전성 또는 유효성의 차이는 관찰되지 않았으나, 65세 이상의 고령자가 젊은 시험대상자와 다르게 반응하는지 여부를 판단하기에는 65세 이상 시험대상자의 수가 충분하지 않았다.(12. 전문가를 위한 정보 2) 약동학적 정보 참조)
이 약에 노출된 천식 시험 대상자 1,977명 중, 240명이 65세 이상이었다. 65세 이상 고령자군에서의 안전성 및 유효성은 전체 시험군과 유사하였다.
이 약에 노출된 비용종을 동반한 만성 비부비동염 시험대상자 440명 중, 79명이 65세 이상이었다. 이 연령군에서의 유효성 및 안전성은 전체 시험 모집단과 유사하였다.
이 약에 노출된 결절성 가려움 발진 (양진) 시험대상자 152명 중, 37명이 65세 이상이었다. 이 연령군에서의 유효성 및 안전성은 전체 시험 모집단과 유사하였다. 8명의 환자가 75세 이상이었다.
이 약에 노출된 만성폐쇄성폐질환 시험대상자 1872명 중, 75세 이상 244명을 포함하여 총 1071명이 65세 이상이었다. 이 연령군에서의 유효성 및 안전성은 전체 시험 모집단과 유사하였다.
8. 신장애 및 간장애 환자에 대한 투여
신장애 또는 간장애가 이 약의 약동학에 미치는 영향에 대한 공식 시험은 없다.
9. 과량투여시의 처치
이 약의 과량투여시 특별한 치료는 없다. 과량투여한 경우, 약물이상반응의 징후나 증상에 대하여 환자를 모니터링하고 적절한 대증 치료를 즉시 실시해야 한다.
10. 적용상의 주의
1) 이 약은 피하주사로 투여한다.
2) 이 약은 의료인의 지도하에 사용한다. 프리필드시린지를 이용한 피하주사방법에 대해 교육을 받은 후 환자가 자가 주사할 수 있다. 12 ‑17세 청소년의 경우, 성인이 또는 성인의 지도 하에 이 약을 투여할 것을 권장한다. 6개월 ‑11세 소아의 경우, 보호자가 이 약을 투여하여야 한다.
3) 이 약의 자가 주사에 앞서, 환자 또는 간병인에게 이 약의 준비 및 투여방법에 대해 교육한다. 아토피 피부염 및 천식 환자에 600 mg 혹은 400 mg 초회 투여를 할 경우, 각각의 300 mg 주사 2개 혹은 각각의 200 mg 주사 2개는 다른 부위에 주사한다. 허벅지 또는 복부(배꼽을 중심으로 반경 5cm를 제외하고)에 피하주사로 투여한다. 간병인이 투여해줄 경우, 상완(윗팔)에도 주사 가능하다. 매 주사마다 주사부위를 다르게 한다.
4) 이 약을 연약한 또는 손상된 피부 또는 멍이 들어 있거나 흉터가 있는 부위에 주사하지 않는다.
5) 이 약은 안전덮개가 있는 주사침이 부착된 프리필드시린지로 300 mg과 200 mg 2가지 용량이 있다. 주사 전 이 약을 냉장고에서 꺼내 주사침 마개를 제거하지 않은 상태로, 300mg 프리필드시린지는 실온에 45분간, 200mg 프리필드시린지는 실온에 30분간 둔 후 사용한다.
6) 투여 전 이 약을 육안으로 관찰하여 이물 및 변색 여부를 확인한다. 이 약은 투명에서 약간 유백색을 띠며 무색에서 옅은 노란색의 용액이 든 프리필드시린지이다. 용액 중 이물이 있거나 변색 또는 혼탁한 경우(투명에서 약간 유백색이며 무색에서 옅은 노란색이 아닌 경우) 사용해서는 안 된다.
7) 이 약은 보존제를 함유하고 있지 않으므로, 투여 후 프리필드시린지에 남아있는 미사용 제품은 모두 폐기해야 한다.
8) 정해진 투여를 놓친 경우, 정해진 투여일로부터 7일 이내에 약제를 투여하도록 지시하고, 기존에 계획된 다음 투여 일정을 재개한다. 정해진 투여 일로부터 7일이 지났다면 환자에게 계획된 다음 투여 일자에 투여하도록 지시한다.
11. 보관 및 취급상의 주의사항
1) 이 약은 2∼8 ℃에서 냉장보관한다.
2) 이 약은 빛으로부터 보호하기 위해 외부 포장 그대로 보관한다.
3) 이 약은 필요시 실온(25 ℃까지)에서 최대 14일간 보관할 수 있다. 25 ℃를 초과하여 보관하지 않는다. 일단 냉장고에서 꺼내면 14일 이내에 사용해야 하며, 그러지 못한 경우 버려야 한다.
4) 시린지를 열 또는 직사광선에 노출하지 않는다.
5) 이 약은 냉동보관하지 않으며, 열에 노출하지 않고 흔들지 않는다.
12. 전문가를 위한 정보
1) 약리작용 정보
두필루맙은 인간 단일클론 IgG4 항체로 IL ‑4 및 IL ‑13 수용체 복합체가 공유하는 IL ‑4Rα 서브유닛에 특이적으로 결합하여 IL ‑4 및 IL ‑13 신호 전달을 억제한다. 두필루맙은 Type I 수용체를 통해 IL ‑4 신호전달을 억제하고, Type II 수용체를 통해 IL ‑4 및 IL ‑13 신호 전달을 억제한다.
제 2형 염증은 천식, 아토피 피부염 및 비용종을 동반한 만성 비부비동염의 발병에서 중요한 요소이다. IL ‑4Rα를 발현하는 다양한 세포 유형(예, 비만세포, 호산구, 대식세포, 림프구, 상피세포, 잔세포)과 염증 매개체 (예, 히스타민, 에이코사노이드, 류코트리엔, 사이토카인, 케모카인)가 염증에 관여한다. 두필루맙은 IL ‑4Rα를 차단하여 전염증성(Pro ‑inflammatory) 사이토카인, 케모카인, 산화질소 및 IgE의 방출을 포함하여 IL ‑4 및 IL ‑13 사이토카인 ‑유도 염증 반응을 억제한다. 그러나 천식에서 두필루맙의 작용기전은 완전히 밝혀지지 않았다.
2) 약동학적 정보
두필루맙의 약동학은 아토피 피부염, 천식, 비용종을 동반한 만성 비부비동염, 결절성 가려움 발진 (양진) 및 만성폐쇄성폐질환 환자에서 유사하다.
⓵ 흡수
이 약 600 mg 또는 400 mg을 최초 피하주사한 후, 약 1주일 후 도달한 두필루맙 피크 평균 ± SD 농도(Cmax)는 각각 70.1 ± 24.1mcg/mL 또는 41.8 ± 12.4mcg/mL이었다.
초회 용량으로 600mg 투여 후 1주(권장 투여 빈도의 2배) 또는 2주마다 300mg을 투여 혹은 초회 용량으로 400mg 투여 후 2주마다 200mg을 투여 혹은 부하 용량 없이 2주마다 300mg을 투여하였을 때 정상 상태 농도는 16주차에 도달하였다. 임상 시험 전반에 걸쳐, 평균 ± SD 정상 상태 최저 농도는 300mg을 2주마다 투여한 경우 60.3±35.1mcg/mL에서 80.2±35.3mcg/mL, 300mg을 1주마다 투여한 경우 173±75.9mcg/mL에서 195±71.7mcg/mL, 200mg을 2주마다 투여한 경우 29.2±18.7mg/L에서 36.5±22.2mg/L이었다.
피하주사한 후 두필루맙의 생체 이용률은 61~64% 범위이며, 아토피 피부염, 천식, 비용종을 동반한 만성비부비동염, 결절성 가려움 발진 (양진) 및 만성폐쇄성폐질환 환자에서 유사하다.
⓶ 분포
추정 총 분포 용적은 약 4.8±1.3L이다.
⓷ 배설
두필루맙의 대사 경로는 특성화되지 않았다. 인간 단일클론 IgG4 항체로서, 두필루맙은 내인성 IgG와 동일한 방식으로 이화학적 경로를 통해 작은 펩타이드 및 아미노산으로 분해될 것으로 예상된다. 마지막 정상 상태 용량 후, 검출 한계 미만(<78 ng/mL)에 도달하는 시간의 중앙값은 300 mg 2주 간격 투여군, 300 mg 1주 간격 투여군 및 200 mg 2주 간격 투여군에서 각각 10 ‑12주, 13주 및 9주였다.
⓸ 용량 선형성
두필루맙은 용량 비례 방식보다 노출량이 더 증가하는 비선형 표적 매개 약동학을 보인다. 두필루맙 단일 투여 용량이 75 mg에서 600 mg으로 (즉, 권장 용량의 0.25 배에서 2 배로) 8 배 증가하였을 때 전신 노출은 30 배 증가하였다.
⓹ 특정 집단
고령자
65세 이상의 환자에서 두필루맙의 평균 ± SD 정상 상태 최저 농도는 300 mg을 2주마다 또는 매주 투여한 경우 각각 69.4 ± 31.4 mcg/mL, 166 ± 62.3 mcg/mL 이었고, 200 mg을 2주마다 투여한 경우 39.7 ± 21.7 mcg/mL이었다.
소아 환자
아토피 피부염
12 ‑17세의 청소년 아토피 피부염 환자에서 200mg(60kg 미만) 또는 300mg(60kg 이상)을 2주마다 투여한 경우, 두필루맙의 평균 ± SD 정상 상태 최저 농도는 54.5 ± 27.0 mcg/mL이었다.
6 ‑11세의 소아 아토피 피부염 환자에서 200 mg(30 kg 이상)을 2주마다 투여 또는 300 mg(30 kg 미만)을 4주마다 투여한 경우, 두필루맙의 평균 ± SD 정상 상태 최저 농도는 각각 86.0±34.6 mcg/mL 및 98.7±33.2 mcg/mL였다.
6개월 ‑5세의 소아 아토피 피부염 환자에서 300 mg(15 kg 이상 30 kg 미만) 또는 200 mg(5 kg 이상 15 kg 미만)을 4주마다 투여한 경우, 두필루맙의 평균 ± SD 정상 상태 최저 농도는 각각 110±42.8 mcg/mL 및 109±50.8 mcg/mL였다.
천식
총 107명의 12 ‑17세의 청소년 천식 환자가 천식 시험 2에 등록되었다. 두필루맙의 평균 ± SD 정상 상태 최저 농도는 300 mg 또는 200 mg를 2주마다 투여하였을 때 각각 107±51.6 mcg/mL, 46.7±26.9 mcg/mL이었다.
신장애 또는 간장애
신장애 또는 간장애가 두필루맙의 약동학에 미치는 영향에 대한 공식 시험은 수행되지 않았다.
3) 임상시험 정보
⓵ 아토피 피부염
‑ 성인 환자에서의 아토피 피부염 임상시험
3개의 무작위배정, 이중눈가림, 위약대조 임상시험(시험 1, 2 및 3)에 18세 이상의 국소치료제로 충분히 조절되지 않는 중등도에서 중증의 아토피 피부염(AD) 성인 시험대상자 총 2,119명이 등록되었다. 질병 중증도는 중증도 척도 0~4의 AD 병변에 대한 전반적 평가에서 IGA(Investigator’s Global Assessment) 점수 3점 이상, 척도 0~72의 EASI(Eczema Area and Severity Index) 점수 16점 이상 및 최소 관련 체표면적 10% 이상으로 정의되었다. 베이스라인에서, 시험대상자의 59%는 남성이었고 67%는 백인이었으며, 시험대상자의 52%는 베이스라인 IGA 점수가 3점(중등도 AD)이었고 48%는 4점(중증 AD)이었다. 베이스라인 평균 EASI 점수는 33점이었고 베이스라인 주간 평균 최고 소양증 NRS(Numeric Rating Scale)는 척도 0~10에서 7점이었다.
세 임상시험 모두에서, 이 약 투여군에 속한 시험대상자는 0주차에 이 약 600 mg을 피하주사로 투여받았고 이후 2주 간격으로 300 mg을 피하주사로 투여받았다. 단일요법 임상시험(시험 1 및 2)에서, 시험대상자는 16주 동안 이 약 또는 위약을 투여받았다.
병용요법 임상시험(시험 3)에서, 시험대상자는 52주 동안 국소 코르티코스테로이드(TCS)와 함께 이 약 또는 위약을 투여받았으며, 필요 시 얼굴, 목, 접힘 부위 및 생식기 부위 같은 문제가 되는 부위에 국소 칼시뉴린 저해제를 투여하였다.
3개의 임상시험에서 1차 평가변수는 16주차에 IGA가 0(깨끗함) 또는 1(거의 깨끗함)이고, 베이스라인 대비 적어도 2점 개선된 시험대상자 비율의 변화로 설정되어 평가되었다. 다른 평가변수로는 EASI ‑75(베이스라인 대비 EASI 점수가 적어도 75% 이상 개선으로 정의) 및 가려움증 감소(16주차에 최고 소양증 NRS 측정 시 베이스라인 대비 적어도 4점 이상 개선)를 나타낸 시험대상자의 비율이 포함되었다.
16주차에서의 임상 결과 (시험 1, 2 및 3)
이 약 단일요법 임상시험(시험 1 및 2) 그리고 이 약과 TCS의 병용요법 임상시험(시험 3)의 결과가 표 6에 제시되어 있다.
표 6. TCS와 병용하거나 병용하지 않은 경우 이 약의 16주차 투여 결과 (전체분석군, FAS)
| |
시험1 |
시험2 |
시험3 |
| |
이 약 300mg 2주 간격 |
위약 |
이 약 300mg 2주 간격 |
위약 |
이 약 300mg 2주 간격
+ TCS |
위약
+ TCS |
|
무작위배정 시험대상자의 수(FAS)a |
224 |
224 |
233 |
236 |
106 |
315 |
|
IGA 0 or 1b,c |
38% |
10% |
36% |
9% |
39% |
12% |
|
EASI-75c |
51% |
15% |
44% |
12% |
69% |
23% |
|
EASI-90c |
36% |
8% |
30% |
7% |
40% |
11% |
|
베이스라인 최고소양증 NRS score가 4점 이상인 시험대상자의 수 |
213 |
212 |
225 |
221 |
102 |
299 |
|
최고 소양증 NRS
(NRS 4점 이상 개선)c |
41% |
12% |
36% |
10% |
59% |
20% |
a 전체분석군(FAS)에는 무작위배정된 모든 시험대상자가 포함된다.
b 반응자는 IGA 척도 0~4에서 IGA가 0 또는 1(“깨끗함” 또는 “거의 깨끗함”)이고 2점 이상 감소한 시험대상자로 정의되었다.
c구제치료(rescue treatment)를 받았거나 결측 데이터가 있는 시험대상자는 비반응자로 간주되었다.
그림 1. 시험 1
a 및 시험 2
a에서 최고 소양증 NRS score가 4점 이상 개선된 시험대상자의 비율 (전체분석군, FAS)
b
a 유효성 평가변수의 일차 분석에서 구제약을 투여받았거나 결측 데이터가 있는 시험대상자는 비반응자로 간주되었다.
b 전체분석군(FAS)에는 무작위배정된 모든 시험대상자가 포함된다.
시험 3에서 시험대상자 421명 중 353명은 데이터 분석 시점에 52주 동안 시험약을 투여받고 있었다. 353명의 시험대상자 중에, 52주차에서의 반응자는 16주차부터 유효성을 유지한 시험대상자(예, 16주차에 이 약 IGA 0 또는 1 반응자의 53%가 52주차에도 반응자로 유지됨)와 16주차에는 비반응자였지만 차후에 치료에 반응한 시험대상자(예, 16주차에 이 약 IGA 0 또는 1 비반응자의 24%가 52주차에는 반응자가 됨)를 모두 포함한다. 이 약과 TCS의 병용요법 임상시험(시험 3)에 참여한 시험대상자 353명에 대한 보충 분석의 결과는 표 7에 제시되어 있다.
표 7. 이 약과 TCS의 병용요법에서 16주차 및 52주차 유효성 결과 (IGA 0 또는 1)
| |
이 약
300 mg 2주 간격 + TCS |
위약 + TCS |
|
시험대상자 수a |
89 |
264 |
|
16주차와 52주차에 반응자b,c |
22% |
7% |
|
16주차의 반응자이면서 52주차의 비반응자 |
20% |
7% |
|
16주차의 비반응자 및 52주차의 반응자 |
13% |
6% |
|
16주차와 52주차의 비반응자 |
44% |
80% |
|
52주차의 전체 반응자b,c 비율 |
36% |
13% |
a 시험 3에서 무작위배정 후 치료를 받은 시험대상자 421명 중 68명(16%)은 데이터 분석 시점에 52주 동안 시험약을 투여받지 않았다.
b 반응자는 IGA 척도 0~4에서 IGA가 0 또는 1(“깨끗함” 또는 “거의 깨끗함”)이고 2점 이상 감소한 시험대상자로 정의되었다.
c 구제약을 투여받았거나 결측 데이터가 있는 시험대상자는 비반응자로 간주되었다.
시험 1, 2 및 3에서 하위군(체중, 연령, 성별, 인종 및 이전 치료(면역억제제제 포함))의 치료 효과는 일반적으로 전체 시험 분석대상군의 결과와 일치했다.
시험 1, 2 및 3에서 세 번째 무작위배정된 이 약 300 mg 매주 투여군은 이 약 300 mg 2주 간격 투여군보다 더 많은 치료 이점을 보이지 않았다.
시험 1 및 2에서 IGA가 0 또는 1이고 2점 이상 감소한 시험대상자는 시험 5로 다시 무작위 배정되었다. 시험 5에서는 치료 반응의 유지를 위한 이 약 단일요법 반복투여 용법에 대해 평가하였다. 36주간의 이 임상시험에서는 계속해서 이 약 300 mg을 투여받는 2주 간격 투여군(62명)과 위약으로 전환하는 위약군(31명)으로 시험대상자가 무작위 배정되었고, 36주차에서 IGA 0 또는 1 반응자의 수는 2주 간격 투여군에서 33명(53%), 위약군에서 3명(10%)이었다.
‑ 아토피 피부염이 있는 청소년(12 ‑17세)
청소년 시험대상자에서 이 약 단일요법의 유효성 및 안전성은 다기관, 무작위배정, 이중눈가림, 위약대조 임상시험(시험 6)에서 IGA 점수 3점 이상(척도 0~4), EASI 점수 16점 이상(척도 0~72) 및 최소 관련 체표면적 10% 이상으로 정의된 중등도에서 중증의 AD가 있는 12 ‑17세 청소년 251명을 대상으로 실시되었다. 이 임상시험에 등록된 적격한 시험대상자는 이전에 국소치료제에 불충분한 반응을 보였던 환자였다.
베이스라인 체중 60 kg 미만의 이 약 투여군에 속한 시험대상자는 0주차에 초회 용량으로 400 mg을 투여받았고 이후 16주 동안 2주 간격으로 200 mg을 투여받았다. 베이스라인 체중 60 kg 이상의 시험대상자는 0주차에 초회 용량으로 600 mg을 투여받았고 이후 16주 동안 2주 간격으로 300 mg을 투여받았다. 시험대상자는 연구자의 재량으로 구제약을 투여받는 것이 허락되었다. 구제약을 투여받은 시험대상자는 비반응자로 간주되었다.
시험 6에서 평균 연령은 14.5세였고 체중 중앙값은 59.4 kg였으며, 시험대상자의 41%는 여성, 63%는 백인, 15%는 아시아인, 12%는 흑인이었다. 베이스라인에서 시험대상자의 46%는 IGA 점수가 3점(중등도 AD)이었고 54%는 4점(중증 AD)이었으며, 평균 관련 체표면적은 57%였고, 42%는 이전에 전신 면역억제제를 투여받았다. 또한, 베이스라인에서 평균 EASI 점수는 36점이었고, 주간 평균 최고 소양증 NRS는 척도 0~10에서 8점이었다. 전체적으로, 시험대상자의 92%가 적어도 한 가지 알러지 동반질환이 있었다. 66%는 알러지성 비염, 54%는 천식, 61%는 음식 알러지가 있었다.
1차 평가변수는 16주차 IGA가 0(깨끗함) 또는 1(거의 깨끗함)이고 베이스라인 대비 적어도 2점 개선된 시험대상자의 비율이었다. 평가된 다른 결과에는 EASI ‑75 또는 EASI ‑90(각각 베이스라인 대비 EASI의 적어도 75% 또는 90% 개선) 그리고 최고 소양증 NRS으로 측정된 가려움증 감소(4점 이상 개선) 시험대상자의 비율이 포함되었다. 시험 6의 16주차 유효성 결과는 표 8에 제시되어 있다.
표 8. 시험 6의 16주차 이 약의 유효성 결과(전체분석군, FAS)a
| |
이 약 d
200 mg (<60 kg) 또는 300 mg (≥60 kg)
2주 간격
N=82a |
위약
N=85a |
|
IGA 0 or 1b,c |
24% |
2% |
|
EASI-75c |
42% |
8% |
|
EASI-90c |
23% |
2% |
|
최고 소양증 NRS (4점 이상 개선)c |
37% |
5% |
a 전체분석군(FAS)에는 무작위배정된 모든 시험대상자가 포함된다.
b 반응자는 IGA 척도 0~4에서 IGA가 0 또는 1("깨끗함" 또는 "거의 깨끗함")이고 2점 이상 감소한 시험대상자로 정의되었다.
c 구제약을 투여받았거나 결측 데이터가 있는 시험대상자는 비반응자로 간주되었다(각각 위약군에서 59%, 이 약 투여군에서 21%).
d 0주차에 시험대상자는 이 약 400 mg(베이스라인 체중 60 kg 미만) 또는 이 약 600 mg(베이스라인 체중 60 kg 이상)을 투여받았다.
이 약 투여군에 무작위배정된 시험대상자에서 최고 소양증 NRS의 개선(4주차에 4점 초과 개선으로 정의됨)이 위약군과 비교해 더 큰 비율로 달성되었다. 그림 2를 참조한다.
그림 2. 시험 6a 에서 최고 소양증 NRS 4점 이상 개선을 나타낸 청소년 환자의 비율(전체분석군, FAS)b

a 유효성 평가변수에 대한 일차 분석에서, 구제약을 투여받았거나 결측 데이터가 있는 시험대상자는 비반응자로 간주되었다.
b 전체분석군(FAS)에는 무작위배정된 모든 시험대상자가 포함된다.
‑ 아토피 피부염이 있는 소아(6 ‑11세)
소아 시험대상자에서 이 약과 TCS 병용투여시의 유효성 및 안전성은 다기관, 무작위배정, 이중눈가림, 위약대조 임상시험(시험 8)에서 IGA 점수 4점(척도 0~4), EASI 점수 21점 이상(척도 0~72) 및 최소 관련 체표면적 15% 이상으로 정의된 아토피 피부염이 있는 6 ‑11세 소아 367명을 대상으로 평가되었다. 이 임상시험에 등록된 적격한 시험대상자는 이전에 국소치료제에 불충분한 반응을 보였던 환자였다. 등록은 베이스라인 체중(30 kg 미만; 30 kg 이상)으로 층화되었다.
4주 간격으로 TCS와 병용투여한 군의 시험대상자들은 체중에 관계 없이 1일차에 초회 용량으로 600mg을 투여받은 후 4주차부터 12주차까지 4주 간격으로 300 mg을 투여받았다. 2주 간격으로 TCS와 병용투여한 군에서 베이스라인 체중이 30 kg 미만인 시험대상자는 1일차에 초회 용량으로 200 mg을 투여받은 후 2주차부터 14주차까지 2주 간격으로 100 mg을 투여받았으며, 베이스라인 체중이 30 kg 이상인 시험대상자는 1일차에 400 mg 초회 용량을 투여받은 후 2주차에서 14주차까지 2주 간격으로 200 mg을 투여받았다. 시험대상자는 연구자의 재량에 따라 구제치료를 받는 것이 허용되었다. 구제치료를 받은 시험대상자는 비반응자로 간주되었다.
시험 8에서 평균 연령은 8.5세였고 체중 중앙값은 29.8 kg였으며, 시험대상자의 50%는 여성, 69%는 백인, 17%는 흑인, 8%는 아시아인이었다. 베이스라인에서 평균 관련 체표면적은 58%였고, 17%는 이전에 전신 비스테로이드성 면역억제제를 투여받았다. 또한 베이스라인에서 평균 EASI 점수는 37.9였고, 일일 평균 최고 소양증 NRS는 척도 0~10에서 7.8점이었다. 전체적으로, 시험대상자의 92%가 적어도 한 가지 알러지 동반질환이 있었으며, 64%는 음식 알러지, 63%는 다른 알러지, 60%는 알러지성 비염, 47%는 천식이 있었다.
1차 평가변수는 16주차 IGA가 0(깨끗함) 또는 1(거의 깨끗함)을 보인 시험대상자의 비율이었다. 평가된 다른 결과에는 EASI ‑75 또는 EASI ‑90(각각 베이스라인 대비 EASI의 적어도 75% 또는 90% 개선) 그리고 최고 소양증 NRS으로 측정된 가려움증 감소(4점 이상 개선) 시험대상자의 비율이 포함되었다.
표 9. 시험 8의 이 약과 TCS 병용요법에서 16주차 유효성 결과(전체분석군, FAS)a
| |
이 약 300 mg 4주 간격d + TCS
(N=61) |
위약 + TCS
(N=61) |
이 약 200 mg 2주 간격e + TCS
(N=59) |
위약 + TCS
(N=62) |
|
<30 kg |
<30 kg |
≥30 kg |
≥30 kg |
|
IGA 0 또는 1b,c |
30% |
13% |
39% |
10% |
|
EASI-75c |
75% |
28% |
75% |
26% |
|
EASI-90c |
46% |
7% |
36% |
8% |
|
최고 소양증 NRS(4점 이상 개선)c |
54% |
12% |
61% |
13% |
a 전체분석군(FAS)에는 무작위배정된 모든 시험대상자가 포함된다.
b 반응자는 IGA가 0 또는 1("깨끗함" 또는 "거의 깨끗함")인 시험대상자로 정의되었다.
c 구제치료를 받았거나 결측 데이터가 있는 시험대상자는 비반응자로 간주되었다.
d 1일차에 시험대상자는 이 약 600 mg을 투여받았다.
e 1일차에 시험대상자는 이 약 200 mg(베이스라인 체중 <30 kg) 또는 400 mg(베이스라인 체중 ≧30 kg)을 투여받았다.
이 약과 TCS 병용투여군에 무작위 배정된 시험대상자는 위약과 TCS 병용투여군과 비교하여 최고 소양증 NRS의 개선이 더 큰 비율로 달성되었다(16주차에 4점 이상의 개선으로 정의).
그림 3. 시험 8에서 16주차에 최고 소양증 NRS에서 ≧4점 개선을 보인 소아 시험대상자의 비율a (전체분석군, FAS)b

a 유효성 평가변수의 일차 분석에서 구제치료를 받았거나 결측 데이터가 있는 시험대상자는 비반응자로 간주되었다.
b 전체분석군(FAS)에는 무작위배정된 모든 시험대상자가 포함된다.
‑ 아토피 피부염이 있는 소아(6개월 ‑5세)
소아 시험대상자에서 이 약과 TCS 병용투여시의 유효성 및 안전성은 다기관, 무작위배정, 이중눈가림, 위약대조 임상시험(시험 10)에서 IGA 점수 3점 이상(척도 0~4), EASI 점수 16점 이상(척도 0~72) 및 최소 관련 체표면적 10% 이상으로 정의된 중등도에서 중증의 아토피 피부염이 있는 6개월 ‑5세 소아 162명을 대상으로 평가되었다. 이 임상시험에 등록된 적격한 시험대상자는 이전에 국소치료제에 불충분한 반응을 보였던 환자였다. 등록은 베이스라인 체중(5 kg 이상 15 kg 미만; 15 kg 이상 30 kg 미만)으로 층화되었다.
4주 간격으로 TCS와 병용투여한 군의 시험대상자들은 베이스라인 체중이 5 kg 이상 15 kg 미만인 경우 1일차에 초회 용량으로 200mg을 투여받은 후 4주차부터 12주차까지 4주 간격으로 200 mg을 투여받았고, 베이스라인 체중이 15 kg 이상 30 kg 미만인 경우 1일차에 초회 용량으로 300mg을 투여받은 후 4주차부터 12주차까지 4주 간격으로 300 mg을 투여받았다. 시험대상자는 연구자의 재량에 따라 구제치료를 받는 것이 허용되었다. 구제치료를 받은 시험대상자는 비반응자로 간주되었다.
시험 10에서 평균 연령은 3.8세였고 체중 중앙값은 16.5 kg였으며, 시험대상자의 38.9%는 여성, 68.5%는 백인, 18.5%는 흑인, 6.2%는 아시아인이었다. 베이스라인에서 평균 관련 체표면적은 58.4%였고, 15.5%는 이전에 전신 비스테로이드성 면역억제제를 투여받았다. 또한 베이스라인에서 평균 EASI 점수는 34.1였고, 일일 평균 최고 소양증 NRS는 척도 0~10에서 7.6점이었다. 전체적으로, 시험대상자의 81.4%가 적어도 한 가지 알러지 동반질환이 있었으며, 68.3%는 음식 알러지, 52.8%는 다른 알러지, 44.1%는 알러지성 비염, 25.5%는 천식이 있었다.
1차 평가변수는 16주차 IGA가 0(깨끗함) 또는 1(거의 깨끗함)을 보인 시험대상자의 비율이었다. 평가된 다른 결과에는 EASI ‑75 또는 EASI ‑90(각각 베이스라인 대비 EASI의 적어도 75% 또는 90% 개선) 그리고 최악의 긁음/가려움 NRS으로 측정된 가려움증 감소(4점 이상 개선) 시험대상자의 비율이 포함되었다.
시험 10의 16주차 유효성 결과는 표 10에 제시되어 있다.
표 10. 시험 10의 이 약과 TCS 병용요법에서 16주차 유효성 결과 (전체분석군, FAS)a
| |
이 약 200 mg
(5 kg 이상 15 kg 미만) 또는 300 mg (15 kg 이상 30 kg 미만 4주 간격d+TCS
(N=83) |
위약 + TCS
(N=79) |
|
IGA 0 또는 1b,c |
27.7% |
3.9% |
|
EASI-75c |
53.0% |
10.7% |
|
EASI-90c |
25.3% |
2.8% |
|
최악의 긁음/가려움 NRS (4점 이상 개선)c |
48.1% |
8.9% |
a 전체분석군(FAS)에는 무작위배정된 모든 시험대상자가 포함된다.
b 반응자는 IGA가 0 또는 1("깨끗함" 또는 "거의 깨끗함")인 시험대상자로 정의되었다.
c 구제치료를 받았거나 결측 데이터가 있는 시험대상자는 비반응자로 간주되었다(각각 위약군에서 62%, 이 약 투여군에서 19%).
d 1일차에 시험대상자는 이 약 200 mg(5 kg 이상 15 kg 미만) 또는 300 mg(15 kg 이상 30 kg 미만)을 투여받았다.
모든 p values < 0.0001
이 약과 TCS 병용투여군에 무작위 배정된 시험대상자는 위약과 TCS 병용투여군과 비교하여 최악의 긁음/가려움 NRS의 신속한 개선이 유의하게 더 큰 비율로 달성되었고 (빠르면 3주차에 4점 이상의 개선으로 정의, nominal p<0.005), 최악의 긁음/가려움 NRS에 반응하는 시험대상자의 비율은 치료기간동안 계속 증가했다. (그림 4 참조)
그림 4. 시험 10에서 16주차에 최악의 긁음/가려움 NRS에서 ≧4점 개선을 보인 6개월 ‑5세의 소아 시험대상자의 비율a(전체분석군, FAS)b

이전에 이 약과 TCS 병용투여하는 공개 임상시험(시험 7)에 참여한 적이 있는 중등도에서 중증의 아토피 피부염 소아 환자를 대상으로 한 이 약과 TCS 병용투여 시의 장기 유효성 및 안전성이 평가되었다. 이 시험의 유효성 데이터는 16주차에 제공된 임상적 이점이 52주차까지 지속되었음을 시사한다. 52주간의 이 약의 안전성 프로파일은 시험 10에서 16주차에 관찰된 안전성 프로파일과 유사하였다.
‑ 아토피성 손발 피부염
이 약의 유효성 및 안전성은 16주 다기관, 무작위배정, 이중눈가림, 평행군, 위약대조 임상시험(시험 11)에서 IGA(손발) 점수 3점 이상 (척도 0~4) 및 최대 가려움 강도에 대한 손발 최고 소양증 NRS 4점 이상 (척도 0~10)으로 정의되는 중등도에서 중증의 아토피성 손발 피부염이 있는 성인 및 12 ‑17세의 소아 환자 133명을 대상으로 평가되었다. 임상시험에 적합한 시험대상자는 이전에 국소 아토피 피부염 약물을 사용한 손발 피부염 치료에 대해 불충분한 반응 또는 불내성을 보였던 환자였다.
베이스라인에서 시험대상자의 38%가 남성이었고, 80%가 백인이었으며, 72%가 베이스라인 IGA(손발) 점수가 3점(중등도 아토피성 손발 피부염)이었고, 28%가 베이스라인 IGA(손발) 점수가 4점(중증 아토피성 손발 피부염)이었다. 베이스라인 주간 평균 손발 최고 소양증 NRS 점수는 7.1이었다.
1차 평가변수는 16주차에 IGA 손발 점수가 0(깨끗함) 또는 1(거의 깨끗함)인 시험대상자의 비율이었다. 주요 2차 평가변수는 손발 최고 소양증 NRS로 측정한 가려움 감소(4점 이상 개선)였다.
16주차에 IGA(손발) 0(깨끗함)~1(거의 깨끗함)인 시험대상자의 비율은 이 약의 경우 40.3%, 위약의 경우 16.7%였다(치료 차이 23.6, 95% CI: 8.84, 38.42; p ‑값 = 0.0030). 16주차에 주간 평균 손발 최고 소양증 NRS 4점 이상 개선(감소)을 보인 시험대상자 비율은 이 약의 경우 52.2%, 위약의 경우 13.6%였다(치료 차이 38.6, 95% CI: 24.06, 53.15; p ‑값 <0.0001).
⓶ 천식
천식 치료제 개발 프로그램에는 총 2,888명의 시험대상자(12세 이상)가 등록된 24~52주간 무작위배정, 이중 눈가림, 위약대조, 평행군, 다기관 임상시험 3건(천식 시험 1, 2 및 3)이 포함되었다. 천식 시험 1 및 2에 등록된 시험대상자는 임상시험 참여 전 해에 전신 코르티코스테로이드 치료 또는 응급실 방문이나 입원이 필요한 1건 이상의 천식 악화 병력이 있어야 했다. 천식 시험 3에 등록된 시험대상자는 고용량 흡입용 코르티코스테로이드와 추가 조절제의 주기적인 사용 외에도 매일 경구용 코르티코스테로이드(OCS) 투여에 의존적이어야 했다. 세 임상시험 모두에서, 시험대상자는 최소 베이스라인 혈중 호산구수를 충족할 필요 없이 등록되었다. 천식 시험 2 및 3에서, 스크리닝 시 혈중 호산구 수준이 1500 cells/mcL를 초과하는(1.3% 미만인) 시험대상자는 제외되었다. 이 약은 기존 천식치료에 추가 치료제로 투여되었다. 시험대상자는 아래에 기술된 바와 같이 OCS 용량을 점차적으로 감소시킨 천식 시험 3에 속한 시험대상자를 제외하고, 시험기간 동안 기존 천식치료를 계속했다.
천식 시험 1
천식 시험 1은 시험대상자 776명(18세 이상)이 포함된 24주 용량범위설정 시험이었다. 이 약은 중간용량 또는 고용량 흡입용 코르티코스테로이드와 지속성 베타 항진제를 투여받고 있는 중등도에서 중증의 천식이 있는 성인 시험대상자를 대상으로 위약과 비교하여 평가되었다. 시험대상자는 초회 용량으로 이 약 400 mg, 600 mg 또는 위약(N=158)을 투여받은 후 2주 간격으로 이 약 200 mg(N=150) 또는 300 mg(N=157) 또는 4주 간격으로 이 약 200 mg(N=154) 또는 300 mg(N=157)을 투여받도록 무작위 배정되었다. 1차 평가변수는 베이스라인 혈중 호산구수가 300 cells/mcL 이상인 시험대상자에서 12주차 FEV1(1초 강제호기량)(L)의 베이스라인 대비 평균 변화였다. 다른 평가변수에는 FEV1의 베이스라인 대비 변화(백분율) 그리고 24주 위약 대조치료 동안 연간 중증 천식 악화 사건 발생율이 포함되었다. 결과는 전체분석군과 베이스라인 혈중 호산구수(300 cells/mcL 이상 및 300 cells/mcL 미만) 하위군에서 평가되었다. 추가 2차 평가변수에는 천식조절설문(ACQ5) 및 천식환자 삶의 질 설문 표준버전(AQLQ(S)) 점수를 보고한 시험대상자에서 반응자 비율이 포함되었다.
천식 시험 2
천식 시험 2는 시험대상자 1,902명(12세 이상)이 포함된 52주 시험이었다. 이 약은 중간용량 또는 고용량 흡입용 코르티코스테로이드(ICS)와 최소 하나 최대 2가지 추가 조절제를 투여받고 있는 중등도에서 중증의 천식이 있는 청소년 107명과 성인 시험대상자 1,795명을 대상으로 위약과 비교하여 평가되었다. 시험대상자는 초회 용량으로 이 약 400 mg, 600 mg 또는 위약을 투여받은 후 2주 간격으로 이 약 200 mg(N=631) 또는 300 mg(N=633) (또는 2주 간격으로 위약 200 mg(N=317) 또는 300 mg(N=321))을 투여받도록 무작위 배정되었다. 1차 평가변수는 52주 위약 대조치료 기간 동안 연간 중증 천식 악화 사건 발생율 그리고 전체분석군(최소 베이스라인 혈중 호산구수에 의해 제한되지 않음)에서 12주차 기관지 확장제 사용 전(pre ‑bronchodilator) FEV1의 베이스라인 대비 변화였다. 추가 2차 평가변수에는 연간 중증 천식 악화율 그리고 여러 다른 베이스라인 수준의 혈중 호산구수를 가지는 환자의 FEV1뿐만 아니라 ACQ ‑5 및 AQLQ(S) 점수에서 반응자 비율이 포함되었다.
천식 시험 3
천식 시험 3은 고용량 흡입용 코르티코스테로이드와 추가 조절제의 주기적인 사용 외에도 매일 경구용 코르티코스테로이드 투여가 필요한 천식이 있는 시험대상자 210명을 대상으로 실시된 24주 경구용 코르티코스테로이드 감량 시험이었다. 스크리닝기간 동안 OCS 용량 최적화 후, 시험대상자는 초회 용량으로 600 mg 또는 위약을 투여받은 후 24주 동안 이 약 300 mg(N=103) 또는 위약(N=107)을 2주 간격으로 1회 투여받았다. 시험대상자는 시험기간 동안 계속해서 기존 천식치료제를 투여받았다. 그러나 천식 조절이 유지되는 한, OCS 감량단계(4 ‑20주째) 동안 OCS 용량을 4주마다 감소시켰다. 1차 평가변수는 전체분석군(최소 베이스라인 혈중 호산구수에 의해 제한되지 않음)에서 천식 조절이 유지되는 동안 베이스라인 용량 대비 20~24주째 경구용 코르티코스테로이드 용량의 감소(백분율)였다. 추가 2차 평가변수에는 치료기간 동안 연간 중증 천식 악화 사건 발생율 그리고 ACQ ‑5 및 AQLQ(S) 점수에서 반응자 비율이 포함되었다.
이들 세 시험의 인구학적 특성과 베이스라인 특성은 아래 표 11에 제시되어 있다.
표 11. 천식 시험에서 인구학적 특성과 베이스라인 특성
|
파라미터 |
시험 1
(N=776) |
시험 2
(N=1902) |
시험 3
(N=210) |
|
평균 연령 (년) (SD) |
49 (13) |
48(15) |
51(13) |
|
% 여성 |
63 |
63 |
61 |
|
% 백인 |
78 |
83 |
94 |
|
천식 기간 (년), 평균 (± SD) |
22(15) |
21(15) |
20(14) |
|
비흡연자 (Never smoked) (%) |
77 |
81 |
81 |
|
이전 해에 평균 악화 (± SD) |
2.2(2.1) |
2.1(2.2) |
2.1(2.2) |
|
고용량 ICS 사용 (%) |
50 |
52 |
89 |
|
베이스라인 Pre-dose FEV1 (L) (± SD) |
1.84(0.54) |
1.78(0.60) |
1.58(0.57) |
|
베이스라인 predicted FEV1 평균 백분율(%) (± SD) |
61 (11) |
58 (14) |
52 (15) |
|
% Reversibility (± SD) |
27(15) |
26 (22) |
19 (23) |
|
아토피 병력 % 전체
(AD %, NP %, AR %) |
73
(8, 11, 62) |
78
(10, 13, 69) |
72 (8, 21, 56) |
|
평균 FeNO ppb (± SD) |
39 (35) |
35 (33) |
38 (31) |
|
평균 총 IgE IU/mL (± SD) |
435 (754) |
432 (747) |
431 (776) |
|
평균 베이스라인 혈중 호산구수 (± SD) cells/mcL |
350 (430) |
360 (370) |
350 (310) |
ICS = inhaled corticosteroid; FEV1 = Forced expiratory volume in 1 second; AD = atopic dermatitis; NP = nasal polyposis; AR = allergic rhinitis; FeNO = fraction of exhaled nitric oxide
천식 악화
천식 시험 1 및 2는 적어도 3일 동안 전신 코르티코스테로이드 사용이 필요한 또는 전신 코르티코스테로이드가 요구되는 천식으로 인해 입원이나 응급실 방문이 필요한 천식 악화로 정의되는 중증 천식 악화의 빈도를 평가하였다. 일차 분석대상군(천식 시험 1에서 베이스라인 혈중 호산구수 300 cells/mcL 이상의 시험대상자 및 천식 시험 2에서 전체분석군)에서, 이 약 200 mg 또는 300 mg을 2주 간격으로 투여받은 시험대상자는 위약과 비교해 천식 악화율이 유의하게 감소하였다. 천식 시험 2의 전체분석군에서, 중증 천식 악화율은 이 약 200 mg 2주 간격 투여군 및 300 mg 2주 간격 투여군에서 각각 0.46 및 0.52였고, 이에 비해 각 대응 위약군에서 0.87 및 0.97이었다. 위약 대비 중증 천식 악화율 비는 이 약 200 mg 2주 간격 투여군 및 300 mg 2주 간격 투여군에서 각각 0.52(95% CI: 0.41, 0.66) 및 0.54(95% CI: 0.43, 0.68)였다. 천식 시험 1 및 2에서, 베이스라인 혈중 호산구수가 300 cells/mcL 이상인 시험대상자의 결과는 표 12에 제시되어 있다.
천식 시험 2에서 베이스라인 혈중 호산구수별 반응률은 그림 5에 제시되어 있다. 천식 시험 1 및 2의 사전 지정된 하위군 분석은 베이스라인 혈중 호산구 수준이 더 높은 시험대상자에서 더 큰 비율로 중증 천식 악화가 감소되었다는 것을 나타냈다. 천식 시험 2에서 악화의 감소는 베이스라인 혈중 호산구수 150 cells/mcL 이상의 시험대상자 하위군에서 유의했다. 베이스라인 혈중 호산구수 150 cells/mcL 미만 시험대상자에서, 이 약과 위약 간에 유사한 중증 천식 악화율이 관찰되었다.
천식 시험 2에서 입원 및/또는 응급실 방문으로 이어진 위약 대비 추정 악화율 비는 이 약 200 mg 또는 300 mg 2주 간격 투여군에서 각각 0.53(95% CI: 0.28, 1.03) 및 0.74(95% CI: 0.32, 1.70)이었다.
표 12. 천식 시험1과 2에서 중증 악화율
|
시험 |
치료군 |
베이스라인 혈중 EOS ≥300 cells/mcL
(일차 분석 대상군, 시험 1) |
|
N |
Rate
(95% Cl) |
Rate Ratio
(95% CI) |
|
천식 시험 1 |
이 약
200mg
2주 간격 |
65 |
0.30
(0.13, 0.68) |
0.29
(0.11, 0.76) |
|
이 약
300mg
2주 간격 |
64 |
0.20
(0.08, 0.52) |
0.19
(0.07, 0.56) |
|
위약 |
68 |
1.04
(0.57, 1.90) |
|
|
천식 시험 2 |
이 약
200mg
2주 간격 |
264 |
0.37
(0.29, 0.48) |
0.34
(0.24, 0.48) |
|
위약 |
148 |
1.08
(0.85, 1.38) |
|
|
이 약
300mg
2주 간격 |
277 |
0.40
(0.32, 0.51) |
0.33
(0.23, 0.45) |
|
위약 |
142 |
1.24
(0.97, 1.57) |
|
그림 5. 천식 시험 2에서 베이스라인 혈중 호산구수(cells/mcL)에 따른 연간 중증 악화 사건 발생률의 상대 위험도

천식 시험 2에서 첫 악화까지의 시간은 위약과 비교해 이 약을 투여받은 시험대상자에서 더 길었다(그림 6).
그림 6. 베이스라인 혈중 호산구수 ≧ 300 cells/mcL 인 시험대상자에서 첫 중증 악화까지의 시간에 대한 카플란 마이어 발생 곡선(천식 시험2)a

a 데이터베이스 잠금시에 모든 환자가 52 주차를 완료하지는 않았다.
폐기능
기관지 확장제 사용 전 FEV1의 유의한 증가는 천식 시험 1 및 2의 일차 분석대상군(천식 시험 1에서 베이스라인 혈중 호산구수 300 cells/mcL 이상의 시험대상자 와 천식 시험 2에서 전체분석군)에서 12주차에 관찰되었다. 천식 시험 2의 전체분석군에서 베이스라인 대비 FEV1 LS 평균 변화는 이 약 200 mg 2주 간격 투여군 및 300 mg 2주 간격 투여군에서 각각 0.32 L(21%) 및 0.34 L(23%)이었고, 이에 비해 각 대응 위약군에서 각각 0.18 L(12%) 및 0.21 L(14%)이었다. 위약과 비교한 평균 치료 차이는 이 약 200 mg 2주 간격 투여군 및 300 mg 2주 간격 투여군에서 각각 0.14 L(95% CI: 0.08, 0.19) 및 0.13 L(95% CI: 0.08, 0.18)이었다. 천식 시험 1 및 2에서 베이스라인 혈중 호산구수가 300 cells/mcL 이상인 시험대상자의 결과는 표 13에 제시되어 있다.
천식 시험 2에서 베이스라인 혈중 호산구수별 FEV1의 개선은 그림 7에 제시되어 있다. 천식 시험 1 및 2의 하위군 분석은 베이스라인 혈중 호산구수가 더 높은 시험대상자에서 더 큰 개선을 나타냈다.
표 13. 천식 시험 1과 2에서 12주차 기관지 확장제 사용 전 FEV1 에서 베이스라인 대비 및 위약 비교 평균 변화
|
시험 |
치료군 |
베이스라인 혈중 EOS ≥300 cells/mcL
(일차 분석 대상군, 시험 1) |
|
N |
베이스라인 대비 LS 평균 변화 L(%) |
위약 비교 LS 평균 차이
(95% CI) |
|
천식 시험 1 |
이 약
200mg
2주 간격 |
65 |
0.43 (25.9) |
0.26 (0.11, 0.40) |
|
이 약
300mg
2주 간격 |
64 |
0.39 (25.8) |
0.21 (0.06, 0.36) |
|
위약 |
68 |
0.18 (10.2) |
|
|
천식 시험 2 |
이 약
200mg
2주 간격 |
264 |
0.43 (29.0) |
0.21 (0.13, 0.29) |
|
위약 |
148 |
0.21 (15.6) |
|
|
이 약
300mg
2주 간격 |
277 |
0.47 (32.5) |
0.24 (0.16, 0.32) |
|
위약 |
142 |
0.22 (14.4) |
|
그림 7. 천식 시험 2에서 베이스라인 혈중 호산구수(cells/mcL)에 따른 위약과 비교한 베이스라인 대비 기관지 확장제 사용 전 12주까지의 LS 평균 차이

천식 시험 2에서 시간에 따른 FEV1의 평균 변화는 그림 8에 제시되어 있다.
그림 8. 베이스라인 혈중 호산구가 300 cells/mcL 인 시험대상자에서 시간에 따른 기관지 확장제 사용 전 FEV1(L)에서 베이스라인 대비 평균 변화 (천식 시험 2)

추가 2차 평가변수
ACQ ‑5 및 AQLQ(S)는 천식 시험 2에서 52주차에 평가되었다. 반응자 비율은 0.5점 이상 개선으로 정의되었다(척도 범위는 ACQ ‑5의 경우 0~6, AQLQ(S)의 경우 1~7).
전체분석군에서 이 약 200 mg 및 300 mg 2주 간격 투여에 대한 ACQ ‑5 반응자 비율은 각각 69%(대응 위약 62%) (오즈비: 1.37; 95% CI: 1.01, 1.86) 및 69%(대응 위약 63%) (오즈비: 1.28; 95% CI: 0.94, 1.73)였다. AQLQ(S) 반응자 비율은 각각 62%(대응 위약 54%) (오즈비: 1.61; 95% CI: 1.17, 2.21) 및 62%(대응 위약 57%) (오즈비: 1.33; 95% CI: 0.98, 1.81)였다.
베이스라인 혈중 호산구수 300 cells/mcL 이상 시험대상자에서 이 약 200 mg 및 300 mg 2주 간격 투여에 대한 ACQ ‑5 반응자 비율은 각각 75%(대응 위약 67%) (오즈비: 1.46; 95% CI: 0.90, 2.35) 및 71%(대응 위약 64%) (오즈비: 1.39; 95% CI: 0.88, 2.19)였다. AQLQ(S) 반응자 비율은 각각 71%(대응 위약 55%) (오즈비: 2.02; 95% CI: 1.24, 3.32) 및 65%(대응 위약 55%) (오즈비: 1.79; 95% CI: 1.13, 2.85)였다.
경구용 코르티코스테로이드 감량(천식 시험 3)
천식 시험 3은 이 약이 경구용 코르티코스테로이드 유지요법 사용의 감소에 미치는 영향을 평가하였다. 베이스라인 평균 경구용 코르티코스테로이드 용량은 위약군에서 12 mg이었고 이 약 투여군에서 11 mg이었다. 1차 평가변수는 천식 조절이 유지되는 동안 베이스라인 대비 24주차 최종 경구용 코르티코스테로이드 용량의 감소(백분율)였다.
위약과 비교해 이 약을 투여받은 시험대상자는 천식 조절이 유지되는 동안 경구용 코르티코스테로이드 유지요법 일일용량의 감소를 더 큰 비율로 달성하였다. 베이스라인 대비 평균 OCS 일일용량의 감소(백분율)는 이 약을 투여받은 시험대상자에서 70%(중앙값 100%)였고(95% CI: 60%, 80%), 이에 비해 위약을 투여받은 시험대상자에서 42%(중앙값 50%)였다(95% CI: 33%, 51%). OCS 용량의 50% 이상 감소는 이 약 투여군의 경우 82명(80%)에서 관찰되었고, 이에 비해 위약군의 경우 57명(53%)에서 관찰되었다. 24주차에 평균 최종 용량이 5 mg 미만인 시험대상자의 비율은 이 약 투여군에서 72%였고 위약군에서 37%였다(오즈비: 4.48 95% CI: 2.39, 8.39). 이 약 투여군에 속한 54명(52%)과 위약군에 속한 31명(29%)은 OCS 용량의 100% 감소를 달성했다.
이 24주 임상시험에서 천식 악화(적어도 3일 동안 경구용 코르티코스테로이드 용량의 일시적 증가로 정의됨)는 위약을 투여받은 시험대상자와 비교해 이 약을 투여받은 시험대상자에서 더 낮았고(연간 악화율은 이 약 투여군 및 위약군에서 각각 0.65 및 1.60이며 악화율 비는 0.41 [95% CI 0.26, 0.63]), 베이스라인 대비 24주차 기관지 확장제 사용 전 FEV1의 개선은 위약을 투여받은 시험대상자와 비교해 이 약을 투여받은 시험대상자에서 더 높았다(이 약과 위약의 LS 평균 차이 0.22 L [95% CI: 0.09~0.34 L]). 폐기능 그리고 경구용 스테로이드 감량 및 천식 악화 감소에 미치는 영향은 베이스라인 혈중 호산구 수준에 상관없이 유사했다. ACQ ‑5 및 AQLQ(S)는 천식 시험 3에서도 평가되었고 천식 시험 2의 결과와 유사한 개선을 보였다.
장기 연장 시험(천식 시험 4)
중등도에서 중증 천식 성인 및 청소년 환자, 그리고 이 약에 대한 이전 임상시험에 참여했던 경구 코르티코스테로이드 의존성 천식 성인 환자 2,282명을 대상으로 한 공개 연장 시험(천식 시험 4)에서 이 약의 장기 유효성을 평가했다. 이 시험에서, 악화 감소 및 폐기능 개선을 포함한 이 약의 임상적 유익성은 최대 96주까지 지속되었다. 경구 코르티코스테로이드 의존성 천식 모집단에서, 최대 96주까지 경구 코르티코스테로이드 용량의 지속적인 감량 또는 중단에도 불구하고, 악화 감소가 지속되었으며 폐 기능 개선이 유지되었다. 또한 제48주에서의 ACQ ‑5 및 AQLQ(S)에 대해서도 유사한 효과가 유지되었다(표 14). 고용량 ICS를 투여받고 있는 환자 하위군에서도 일관된 결과가 관찰되었다.
표 14. 천식 시험 4a에서, 베이스라인 대비 심한 악화율, FEV1, ACQ ‑5 및 AQLQ(S) 반응자 비율의 평균 변화율 (베이스라인 혈중 호산구수 150cells/mcL 이상, 300cells/mcL 이상 및 FeNO 25 ppb 이상)
|
치료군 |
EOS ≥ 150 cells/mcL |
EOS ≥ 300 cells/mcL |
FeNO ≥ 25 ppb |
|
96주간 조절되지 않는 심한 악화율 |
| |
N |
비율 |
N |
비율 |
N |
비율 |
|
이 약 300 mg 2주 간격 |
1496 |
0.30 |
905 |
0.27 |
1050 |
0.26 |
|
96주차 FEV1의 베이스라인 대비 평균 변화 |
| |
N |
베이스라인 대비 평균 변화 L (%) |
N |
베이스라인 대비 평균 변화 L (%) |
N |
베이스라인 대비 평균 변화 L (%) |
|
이 약 300 mg 2주 간격 |
865 |
0.33 (21.1) |
511 |
0.42 (27.3) |
596 |
0.39 (24.6) |
|
48주 ACQ-5b |
| |
N |
반응자 비율 % |
N |
반응자 비율 % |
N |
반응자 비율 % |
|
이 약 300 mg 2주 간격 |
1412 |
87.3 |
855 |
88.8 |
998 |
88.7 |
|
48주 AQLQ(S)-5b |
| |
N |
반응자 비율 % |
N |
반응자 비율 % |
N |
반응자 비율 % |
|
이 약 300 mg 2주 간격 |
1366 |
77.8 |
829 |
81.7 |
967 |
79.1 |
a 천식 시험 4의 환자는 핵심 천식 시험(천식 시험 1, 천식 시험 2)으로부터 등록되었다.
b ACQ ‑5, AQLQ(S)는 48주 후 수집되지 않았다.
⓷ 비용종을 동반한 만성 비부비동염
비용종을 동반한 만성 비부비동염 개발 프로그램에는 기존 비강 내 코르티코스테로이드(INCS)를 사용하는 18세 이상의 시험대상자 724명을 대상으로 한 무작위배정, 이중눈가림, 평행군, 다기관, 위약대조 임상시험 2건(비부비동염 시험 1, 2)이 포함되었다. 이 임상시험에는 이전 부비동 ‑비강 수술 또는 치료에도 불구하고 비용종을 동반한 만성 비부비동염이 있거나, 지난 2년 동안 전신 코르티코스테로이드 투여 자격에 부합하지 않았거나 불내성이었던 시험대상자들이 포함되었다. 비용종을 동반하지 않은 만성 비부비동염 환자는 이 시험에 포함되지 않았다. 시험 기간 동안 연구자의 재량으로 전신 코르티코스테로이드 또는 수술을 통한 구제가 허용되었다. 비부비동염 시험 1에서 시험대상자 276명이 24주간 2주 간격으로 이 약 300 mg(N=143) 또는 위약(N=133)을 투여받도록 무작위배정되었다. 비부비동염 시험 2에서 시험대상자 448명이 이 약 300 mg(N=150)을 52주간 2주 간격으로 투여받거나, 이 약 300 mg(N=145)을 24주간 2주 간격으로, 이후 52주까지 4주 간격으로 투여받거나, 위약(N=153)을 투여받도록 무작위배정되었다. 모든 시험대상자는 Lund Mackay(LMK) 부비동 CT 스캔 점수에서 부비동 혼탁의 증거가 있었으며, 시험대상자의 73%~90%가 모든 부비동의 혼탁을 보였다. 시험대상자들은 이전 수술과 동반질환 천식/비스테로이드성 항염제 과민성 호흡기 질환(NSAID ‑ERD)의 과거력을 토대로 층화되었다. 시험대상자 중 총 63%가 이전 부비동 수술을 보고했으며, 평균 이전 수술 수가 2.0건이었다. 74%가 이전 2년 내에 전신 코르티코스테로이드를 사용했으며, 이전 2년 간 전신 코르티코스테로이드 과정은 평균 1.6건이었고, 59%가 동반질환 천식이 있었으며, 28%가 NSAID ‑ERD가 있었다.
공동 1차 유효성 평가변수는 베이스라인으로부터 24주까지 중앙 눈가림 판독자가 평가한 양측 내시경 비용종 점수(NPS; 척도 0~8)의 변화량 및 베이스라인으로부터 24주차까지 일지를 사용하여 시험대상자가 평가한 평균 28일에 걸친 비충혈/코막힘 평균 점수(NC; 척도 0~3)의 변화량이었다. NPS의 경우 코의 각 측면의 용종은 범주형 척도로 점수가 매겨졌다(0=용종 없음; 1=중비갑개의 아래쪽 경계 아래에 도달하지 않는 중비도에 있는 작은 용종; 2=중비갑개 아래쪽 경계 아래에 도달하는 용종; 3=하비갑개의 아래쪽 경계에 도달하는 대형 용종 또는 중비갑개 내측 용종; 4=하비강의 완벽한 폐쇄를 야기하는 대형 용종). 총점은 우측과 좌측 점수의 합계였다. 비충혈은 범주형 중증도 척도 0~3으로 시험대상자가 매일 평가하였다(0=증상 없음; 1=경증 증상; 2=중등증 증상; 3=중증 증상).
두 시험에서 24주차 시 주요 2차 평가변수는 베이스라인 대비 다음의 변화를 포함하였다. LMK 부비동 CT 스캔 점수, 일일 후각 감퇴, 22개 항목 부비동 ‑비강 결과 검사(SNOT ‑22). LMK 부비동 CT 스캔 점수는 척도 0~2(0=정상; 1=부분 혼탁; 2=총 혼탁)를 사용하여 각 측면당 최대 점수 12점과 총 최대 점수 24점(점수가 높을수록 혼탁함이 높음을 나타낸다)을 도출하여 각 부비동의 혼탁을 평가하였다. 후각 감퇴는 척도 0~3(0=증상 없음, 1=경증 증상, 2=중등증 증상, 3=중증 증상)으로 매일 아침 환자가 반영하여 점수를 매겼다. SNOT ‑22에는 비용종을 동반한 만성 비부비동염 관련 증상과 증상 영향을 평가하는 항목 22개가 포함되며, 총점 범위 0~110으로 각 항목에 0(문제 없음)에서 5(가능한 최악의 문제)까지 점수가 매겨진다. SNOT ‑22는 2주 회상 기간이 있었다. 통합 유효성 결과에서 전신 코르티코스테로이드 및/또는 부비동 ‑비강 수술로 구제받은 시험대상자의 비율 감소(최대 52주차)를 평가하였다.
이 시험 2건의 인구학적 및 베이스라인 특성은 표 15에 제시되어 있다.
표 15. 비용종을 동반한 만성 비부비동염 시험의 인구학적 및 베이스라인 특성
|
매개변수 |
비부비동염 시험 1
(N=276) |
비부비동염 시험 2
(N=448) |
|
평균 연령(세)(SD) |
50 (13) |
52 (12) |
|
남성 % |
57 |
62 |
|
비용종을 동반한 만성 비부비동염 평균 기간(년)(SD) |
11 (9) |
11 (10) |
|
이전 수술 ≥ 1건인 환자(%) |
72 |
58 |
|
이전 2년 내 전신 코르티코스테로이드 사용 환자(%) |
65 |
80 |
|
평균 양측 내시경 NPSa (SD), 범위 0~8 |
5.8 (1.3) |
6.1 (1.2) |
|
평균 비충혈(NC) 점수a (SD), 범위 0~3 |
2.4 (0.6) |
2.4 (0.6) |
|
평균 LMK 부비동 CT 총점a (SD), 범위 0~24 |
19 (4.4) |
18 (3.8) |
|
평균 후각 감퇴 점수a (AM), (SD) 범위 0~3 |
2.7 (0.5) |
2.8 (0.5) |
|
평균 SNOT-22 총점a (SD), 범위 0~110 |
49.4 (20.2) |
51.9 (20.9) |
|
평균 혈중 호산구(세포/mcL)(SD) |
440 (330) |
430 (350) |
|
평균 총 IgE IU/mL(SD) |
212 (276) |
240 (342) |
|
아토피 병력
전체 % |
75% |
82% |
|
천식(%) |
58 |
60 |
|
NSAID-ERD(%) |
30 |
27 |
a점수가 높을수록 질병 중증도가 높음을 나타낸다.
SD = 표준편차; AM = 아침; NPS = 비용종 점수; SNOT ‑22 = 22개 항목 부비동 ‑비강 결과 검사; NSAID ‑ERD = 천식/비스테로이드성 항염제 과민성 호흡기 질환
임상 반응(비부비동염 시험 1, 2)
비용종을 동반한 만성 비부비동염 임상시험의 1차 평가변수에 대한 결과는 표 16에 제시되어 있다.
표 16. 비용종을 동반한 만성 비부비동염 시험의 1차 평가변수 결과
| |
비부비동염 시험 1 |
비부비동염 시험 2 |
| |
위약
(n=133) |
이 약 300 mg 2주 간격
(n=143) |
LS 평균
차이, 위약 대비 (95% CI) |
위약
(n=153) |
이 약 300 mg 2주 간격
(n=295) |
LS 평균
차이, 위약 대비 (95% CI) |
|
24주차의 1차 평가변수 |
|
점수 |
베이스라인
평균 |
LS 평균 변화 |
베이스라인
평균 |
LS 평균
변화 |
|
베이스라인
평균 |
LS 평균
변화 |
베이스라인
평균 |
LS 평균
변화 |
|
|
NPS |
5.86 |
0.17 |
5.64 |
-1.89 |
-2.06
(-2.43, -1.69) |
5.96 |
0.10 |
6.18 |
-1.71 |
-1.80
(-2.10, -1.51) |
|
NC |
2.45 |
-0.45 |
2.26 |
-1.34 |
-0.89
(-1.07, -0.71) |
2.38 |
-0.38 |
2.46 |
-1.25 |
-0.87
(-1.03, -0.71) |
점수의 감소는 개선을 나타낸다.
NPS = 비용종 점수; NC = 비충혈/코막힘
24주차와 52주차에 양측 내시경 NPS 점수의 개선과 관련하여 비용종을 동반한 만성 비부비동염 시험 2에서 통계적으로 유의한 유효성이 관찰되었다(그림 9 참조).
그림 9. 비부비동염 시험 2 ‑ ITT 모집단에서 베이스라인 대비 52주차까지 양측 비용종 점수(NPS)의 LS 평균 변화

24주차에 비용종을 동반한 만성 비부비동염 시험 1에서 유사한 결과가 관찰되었다. 시험대상자가 이 약을 중단한 치료 후 기간에는 치료 효과가 시간이 경과함에 따라 감소하였다(그림 10 참조).
그림 10. 비부비동염 시험 1 ‑ ITT 모집단에서 베이스라인 대비 48주차까지 양측 비용종 점수(NPS)의 LS 평균 변화

52주차에 위약 대비 이 약 투여군의 비충혈 LS 평균 차이는 ‑0.98(95% CI ‑1.17, ‑0.79)이었다. 두 임상시험에서 비충혈의 유의한 개선은 4주차 첫 평가 시 처음으로 관찰되었다. 4주차에 위약 대비 이 약 투여군의 비충혈 LS 평균 차이는 비부비동염 시험 1에서 ‑0.41(95% CI: ‑0.52, ‑0.30)이었고 비부비동염 시험 2에서는 ‑0.37(95% CI: ‑0.46, ‑0.27)이었다.
LMK 부비동 CT 스캔 점수의 유의한 감소가 관찰되었다. 24주차에 위약군 대비 이 약 투여군의 LMK 부비동 CT 스캔 점수의 LS 평균 차이는 비부비동염 시험 1에서는 ‑7.44(95% CI: ‑8.35, ‑6.53)였고 비부비동염 시험 2에서는 ‑5.13(95% CI: ‑5.80, ‑4.46)이었다. 52주차에 위약 대비 이 약 투여군의 LMK 부비동 CT 스캔 점수의 LS 평균 차이는 비부비동염 시험 2에서 ‑6.94(95% CI: ‑7.87, ‑6.01)였다.
이 약은 위약에 비해 후각 감퇴를 유의하게 개선했다. 24주차에 위약 대비 이 약투여군의 후각 감퇴의 LS 평균 차이는 비부비동염 시험 1에서 ‑1.12(95% CI: ‑1.31, ‑0.93)였으며 비부비동염 시험 2에서 ‑0.98(95% CI: ‑1.15, ‑0.81)이었다. 52주차에 위약 대비 이 약 투여군의 후각 감퇴의 LS 평균 차이는 ‑1.10(95% CI ‑1.31, ‑0.89)이었다. 두 임상시험에서 후각 강도의 일일 감퇴의 유의한 개선은 4주차 첫 평가 시 처음으로 관찰되었다.
이 약은 SNOT ‑22로 측정했을 때 위약과 비교하여 부비동 ‑비강 증상을 유의하게 감소시켰다. 24주차에 위약 대비 이 약 투여군의 SNOT ‑22의 LS 평균 차이는 비부비동염 시험 1에서 ‑21.12(95% CI: ‑25.17, ‑17.06)이었으며 비부비동염 시험 2에서 ‑17.36(95% CI: ‑20.87, ‑13.85)이었다. 52주차에 위약 대비 이 약 투여군의 LS 평균 차이는 20.96(95% CI ‑25.03, ‑16.89)이었다.
두 임상시험의 사전 명시되고 다중성이 보정된 통합 분석에서 이 약의 치료는 위약에 비해 전신 코르티코스테로이드 사용 및 부비동 ‑비강 수술의 필요성을 유의하게 감소시켰다(HR 0.24; 95% CI: 0.17, 0.35)(그림 11 참조). 전신 코르티코스테로이드가 필요한 시험대상자의 비율은 74% 감소했다(HR 0.26; 95% CI: 0.18, 0.38). 연간 총 전신 코르티코스테로이드 과정 수는 75% 감소했다(RR 0.25; 95% CI: 0.17, 0.37). 수술이 필요한 시험대상자의 비율은 83% 감소했다(HR 0.17; 95% CI: 0.07, 0.46).
그림 11. 치료 기간 동안 첫 전신 코르티코스테로이드 사용 및/또는 부비동 ‑비강 수술까지 시간의 카플란 ‑마이어 곡선 ‑ 비부비동염 시험 1, 2 ITT 모집단 통합

이 약이 NPS와 비충혈의 1차 평가변수 및 LMK 부비동 CT 스캔 점수의 주요 2차 평가변수에 미치는 영향은 이전에 수술을 받은 환자들과 이전에 수술을 받지 않은 환자들에서 일치하였다.
동반질환 천식이 있는 시험대상자 중 기관지확장제 사용 전 FEV1의 개선은 천식 프로그램의 환자와 유사하였다.
⓸ 결절성 가려움 발진 (양진)
결절성 가려움 발진 (양진) 개발 프로그램에는 중증 양진 (척도 0~10의 WI ‑NRS ≧ 7) 및 국소 치료제로 적절히 조절되지 않거나 이들 치료제로 권장되지 않는, 결절성 병변이 20개 이상인 18세 이상의 시험대상자 311명을 대상으로 한 24주, 무작위배정, 이중눈가림, 위약대조, 다기관, 평행군 임상시험 2건(결절성 가려움 발진 (양진) 시험 1, 2)이 포함되었다. 결절성 가려움 발진 (양진) 시험 1, 2에서 가려움 개선에 미치는 이 약의 효과 뿐만 아니라 결절성 가려움 발진 (양진) 병변, 피부과 삶의 질 지수(Dermatology Life Quality Index, DLQI), 병원 불안 및 우울 척도(Hospital Anxiety and Depression Scale, HADS) 및 피부 통증에 대한 이 약의 효과도 평가하였다.
이 2건의 임상시험에서, 시험대상자는 초회 용량으로 이 약 또는 이에 상응하는 위약 600 mg (300 mg 2회 투여)을 투여 받고, 이후 24주간 300 mg을 2주 간격으로 피하투여 받았다.
이 임상시험에서 평균 연령은 49.5세, 체중 중앙값은 71.3 kg였으며, 65.3%는 여성, 56.6%는 백인, 6.1%는 흑인, 34.1%는 아시아인이었다. 베이스라인에서 평균 WI ‑NRS는 8.5였으며, 66.3%가 20~100개의 결절이 있었고(중등도), 33.7%가 100개 이상의 결절이 있었으며(중증), 99.7%가 이전에 국소치료제를 투여받았고, 17.4%가 이전에 전신 코르티코스테로이드를 투여받았으며, 20.6%가 이전에 전신 비스테로이드성 면역억제제를 투여받았고, 2.6%가 이전에 가바펜티노이드를 투여 받았다. 11%의 시험대상자는 베이스라인에서 안정적인 용량의 항우울제를 투여받고 있었고 시험기간동안 이러한 약물의 투약을 지속하였다. 43%의 시험대상자는 아토피 병력(아토피 피부염, 알러지성 비염/비결막염, 천식, 음식 알러지로 정의됨)이 있었다.
WI ‑NRS는 단일 항목으로 구성되며 0("가렵지 않음")에서 10("상상할 수 있는 최악의 가려움")까지 등급이 매겨진다. 시험대상자들은 이 척도를 사용하여 지난 24시간 동안 가장 심한 양진(가려움)의 강도를 평가하도록 요청받았다. IGA PN ‑S는 0(깨끗함)에서 4(심함)까지의 5점 척도를 사용하여 대략적인 결절 수를 측정하는 척도이다.
1차 유효성 평가변수는 WI ‑NRS가 4점 이상 개선(감소)된 시험대상자의 비율이었다. 주요 2차 평가변수에는 IGA PN ‑S 0 또는 1(결절 0~5개에 해당)인 시험대상자의 비율과 위에서 설명한 기준에 따라 WI ‑NRS 및 IGA PN ‑S 모두에서 반응을 달성한 대상자의 비율이 포함되었다.
결절성 가려움 발진 (양진) 시험 1, 2에 대한 유효성 결과는 표 17과 그림 12 및 13에 제시되어 있다.
표 17. 결절성 가려움 발진 (양진) 시험 1, 2에서 1차 및 주요 2차 평가변수 결과
|
|
결절성 가려움 발진 (양진) 시험 1
|
결절성 가려움 발진 (양진) 시험 2
|
|
|
위약
(N=76)
|
이 약 300 mg 2주 간격
(N=75)
|
위약 대비 이 약 차이
(95% CI)
|
위약
(N=82)
|
이 약 300 mg 2주 간격
(N=78)
|
위약 대비 이 약 차이
(95% CI)
|
|
베이스라인 대비 24주차에 WI-NRS가 4점 이상 개선(감소)된 시험대상자의 비율 (결절성 가려움 발진 (양진) 시험 1의 1차 평가변수)b
|
18.4%
|
60.0%
|
42.7%
(27.76, 57.72)
|
19.5%
|
57.7%
|
42.6%
(29.06, 56.08)
|
|
베이스라인 대비 12주차에 WI-NRS가 4점 이상 개선(감소)된 시험대상자의 비율 (결절성 가려움 발진 (양진) 시험 2의 1차 평가변수)b
|
15.8%a
|
44.0%a
|
29.2%
(14.49, 43.81)a
|
22.0%
|
37.2%
|
16.8%
(2.34, 31.16)
|
|
24주차에 IGA PN-S가 0 또는 1인 시험대상자의 비율b
|
18.4%
|
48.0%
|
28.3%
(13.41, 43.16)
|
15.9%
|
44.9%
|
30.8%
(16.37, 45.22)
|
|
베이스라인 대비 24주차에 WI-NRS가 4점 이상 개선(감소)되고 IGA PN-S가 0 또는 1인 시험대상자의 비율b
|
9.2%
|
38.7%
|
29.6%
(16.42, 42.81)
|
8.5%
|
32.1%
|
25.5%
(13.09, 37.86)
|
|
베이스라인 대비 24주차의 WI-NRS의 변화 % (SE)
|
-22.22 (5.74)
|
-48.89
(5.61)
|
-26.67
(-38.44, -14.90)
|
-36.18 (6.21)
|
-59.34
(6.39)
|
-23.16
(-33.81, -12.51)
|
a 결절성 가려움 발진 (양진) 시험 1의 다중도에 대해 조정되지 않았다.
b 이전에 구제치료를 받았거나 데이터가 누락된 시험대상자는 비응답자로 간주되었다.
그림 12. 결절성 가려움 발진 (양진) 시험 1, 2에서의 WI ‑NRS의 베이스라인 대비 LS 평균 백분율 변화
12a. 결절성 가려움 발진 (양진) 시험 1

12b. 결절성 가려움 발진 (양진) 시험 2

그림 13. 결절성 가려움 발진 (양진) 시험 1, 2에서 WI ‑NRS가 4점 이상 개선(감소)된 시험대상자의 비율
13a. 결절성 가려움 발진 (양진) 시험 1

13b. 결절성 가려움 발진 (양진) 시험 2

하위군(체중, 나이, 성별, 인종, 아토피 병력, 이전의 면역억제제 및 신경조절제(neuromodulator) 사용, TCS 병용 투여)에서의 양진 및 병변 모두에 대한 치료 효과는 전체 연구 모집단에서의 24주차 결과와 일치했다.
⓹ 만성폐쇄성폐질환
만성폐쇄성폐질환 프로그램에는 이 약을 최대 표준치료 (ICS가 금기인 경우를 제외하고 LABA+LAMA+ICS의 3제 요법)의 추가 유지요법으로 평가하기 위해 40세 이상 만성폐쇄성폐질환 성인 환자 총 1874명을 대상으로 한 52주 투여 기간의 무작위배정, 이중눈가림, 다기관, 평행군, 위약대조 임상시험 2건(만성폐쇄성폐질환 시험 1, 2)이 포함되었다.
두 임상시험 모두 중등도 내지 중증의 기류 제한(기관지확장제 사용 후 FEV1/FVC 비율 <0.7 및 기관지확장제 사용 후 FEV1 30%~70% 정상예측치), 전년도 최소 3개월 동안 만성 습성 기침, 스크리닝 시 최소 혈중 호산구 수 300 cells/μL로 정의되는 제2형 염증의 증거가 있는 만성폐쇄성폐질환 진단을 받은 환자를 등록했다. 환자들은 지속성 무스카린 길항제(LAMA), 지속성 베타 작용제(LABA), 흡입형 코르티코스테로이드(ICS)로 구성된 삼중 유지 요법을 받았음에도 불구하고 의학연구위원회(MRC) 호흡 곤란 점수 ≧ 2(범위 0~4) 및 전년도에 최소 2회의 중등도 또는 1회의 중증 악화 병력을 보여 조절되지 않았다. 환자는 ICS가 금기인 경우 LAMA 및 LABA로 구성된 유지요법을 받는 것이 허용되었다. 악화는 전신 코르티코스테로이드 및/또는 항생제 치료가 필요한 경우 중등도의 중증도로 정의되었고, 응급실 또는 긴급 치료 시설에서 24시간 이상 입원 또는 관찰을 요한 경우 중증으로 정의되었다.
두 임상시험에서, 환자들은 52주 동안 배경 유지요법에 추가하여 이 약 300 mg 2주 간격 투여 또는 위약을 투여받도록 무작위 배정되었다.
두 임상시험에서, 일차 평가변수는 52주의 투여 기간 동안 중등도 또는 중증의 만성폐쇄성폐질환 악화의 연간 발생률이었다. 이차 평가변수에는 전체 모집단과 베이스라인 FeNO ≧ 20 ppb인 환자 하위군에서 기관지확장제 사용 전 FEV1의 베이스라인 대비 12주차 및 52주차의 변화, 세인트 조지 호흡기 설문지 (SGRQ) 총점의 베이스라인 대비 52주차의 변화, 52주차의 SGRQ 반응자 비율(베이스라인 대비 SGRQ 개선이 4점 이상인 환자의 비율로 정의됨), 및 베이스라인 FeNO ≧ 20 ppb인 환자 하위군에서 52주의 투여 기간 동안 중등도 또는 중증의 만성폐쇄성폐질환 악화의 연간 발생률이 포함되었다. 기타 다중성 보정 평가변수에는 만성폐쇄성폐질환에서 호흡기 증상 평가(E ‑RS:COPD) 총점의 베이스라인 대비 52주차의 변화가 포함되었다. E ‑RS:COPD 척도는 만성폐쇄성폐질환에서 호흡기 증상의 중증도를 측정하는 데 사용되며, 점수가 높을수록 중증도가 더 높음을 나타낸다(범위 0~40).
만성폐쇄성폐질환 시험 1, 2의 인구학적 특성과 베이스라인 특성은 아래 표 18에 제시되어 있다.
표 18. 인구학적 특성과 베이스라인 특성(만성폐쇄성폐질환 시험 1, 2)
|
파라미터 |
만성폐쇄성폐질환 시험 1
(N = 939) |
만성폐쇄성폐질환 시험 2
(N = 935) |
|
평균 연령 (년) (± SD) |
65.1 (8.1) |
65.0 (8.3) |
|
남성 (%) |
66.0 |
67.6 |
|
백인 (%) |
84.1 |
89.6 |
|
평균 흡연력 (팩-년) (± SD) |
40.5 (23.4) |
40.3 (27.2) |
|
현재 흡연자 (%) |
30 |
29.5 |
|
폐기종 (%) |
32.6 |
30.4 |
|
평균 만성폐쇄성폐질환 기간 (년)(± SD) |
8.8 (6.0) |
9.3 (6.4) |
|
전년도 중등도a 또는 중증b 악화의 평균 횟수(± SD) |
2.3 (1.0) |
2.1 (0.9) |
|
전년도 중증b 악화의 평균 횟수(± SD) |
0.3 (0.7) |
0.3 (0.6) |
|
무작위 배정 시 만성폐쇄성폐질환 배경 약물:
ICS/LAMA/LABA (%) |
97.6 |
98.8 |
|
기관지확장제 사용 후 평균 FEV1/FVC 비율 (± SD) |
0.49 (0.12) |
0.50 (0.12) |
|
기관지확장제 사용 전 평균 FEV1 (L) (± SD) |
1.30 (0.46) |
1.36 (0.50) |
|
기관지확장제 사용 후 평균 FEV1 (L) (± SD) |
1.40 (0.47) |
1.45 (0.49) |
|
기관지확장제 사용 후 예측 FEV1 평균 백분율 (%) (± SD) |
50.6 (13.1) |
50.1 (12.6) |
|
평균 SGRQ 총점 (± SD) |
48.4 (17.4) |
51.5 (17.0) |
|
평균 E-RS:COPD [점수] (± SD) |
12.9 (7.1) |
13.3 (7.0) |
|
평균 BODE 지수 점수 (± SD) |
4.1 (1.7) |
4.0 (1.6) |
|
평균 FeNO (ppb) (± SD) |
24.3 (22.4) |
24.6 (26.0) |
|
평균 베이스라인 혈중 호산구수 (cells/mcL) (± SD) |
401 (298) |
407 (336) |
ICS = 흡입형 코르티코스테로이드 (inhaled corticosteroid); LAMA = 지속성 무스카린 길항제 (long acting muscarinic antagonist); LABA = 지속성 베타 작용제 (long acting beta agonist), FEV1 = 1초 강제 호기량 (forced expiratory volume in 1 second); FVC = 강제 폐활량 (forced vital capacity); FeNO = 호기 산화질소 농도 (fraction of exhaled nitric oxide); BODE = 체질량 지수, 기류 폐색, 호흡곤란, 운동 능력 (body ‑mass index, airflow obstruction, dyspnea, exercise capacity)
a 전신 코르티코스테로이드 및/또는 항생제로 치료된 악화
b 응급실 또는 긴급 치료 시설에서 24시간 이상 입원 또는 관찰을 요하는 악화
악화
두 임상시험에서, 이 약은 배경 유지요법에 추가했을 때 위약과 비교하여 중등도 또는 중증의 만성폐쇄성폐질환 악화의 연간 발생률을 통계적으로 유의하게 감소시켰다(표 19 참조).
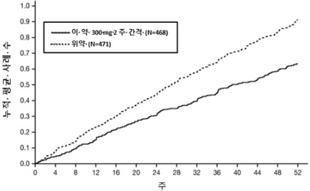
표 19. 만성폐쇄성폐질환 시험 1, 2에서 중등증a 또는 중증b 만성폐쇄성폐질환 악화의 연간 발생률
|
시험 |
투여군
(N) |
비율 (악화/년) |
위약 대비 비율
(95% CI) |
위약 대비 악화 비율의 감소 % |
|
일차 평가변수: 중등도a 또는 중증b의 만성폐쇄성폐질환의 악화 |
|
만성폐쇄성폐질환 시험 1 |
이 약 300 mg
2주 간격
(N=468) |
0.78 |
0.705
(0.581, 0.857)c |
30% |
|
위약
(N=471) |
1.10 |
|
|
|
만성폐쇄성폐질환 시험 2 |
이 약 300 mg
2주 간격
(N=470) |
0.86 |
0.664
(0.535, 0.823)d |
34% |
|
위약
(N=465) |
1.30 |
|
|
|
일차 평가변수의 통합 구성요소e: 중증의 만성폐쇄성폐질환의 악화 |
|
만성폐쇄성폐질환 시험 1, 2 |
이 약 300 mg
2주 간격
(N=938) |
0.08 |
0.674
(0.438 - 1.037) |
33% |
|
위약
(N=936) |
0.12 |
|
|
a 전신 코르티코스테로이드 및/또는 항생제로 치료된 악화
b 응급실 또는 긴급 치료 시설에서 24시간을 초과하는 입원 또는 관찰을 요하는 악화 또는 사망을 초래한 악화
c p value = 0.0005
d p value = 0.0002
e 일차 평가변수의 구성요소 분석은 다중도에 대해 보정되지 않았다.
두 임상시험에서, 52주 동안 관찰된 중등도 또는 중증 악화의 누적 평균 횟수는 위약에 비해 이 약을 투여받은 시험대상자에서 더 낮았다(그림 14, 15 참조).
그림 14. 만성폐쇄성폐질환 시험 1에서 52주 동안 중등증 또는 중증의 만성폐쇄성폐질환 악화의 누적 평균 횟수

그림 15. 만성폐쇄성폐질환 시험 2에서 52주 동안 중등증 또는 중증의 만성폐쇄성폐질환 악화의 누적 평균 횟수

만성폐쇄성폐질환 시험 1, 2에서 최초 중등도 또는 중증의 만성폐쇄성폐질환 악화까지의 시간은 위약에 비해 이 약을 투여받은 환자에서 더 길었다 (만성폐쇄성폐질환 시험 1 ‑ HR: 0.80, 95% CI: 0.66, 0.98, 만성폐쇄성폐질환 시험 2 ‑ HR: 0.71, 95% CI: 0.57, 0.889).
만성폐쇄성폐질환 시험 1에서 베이스라인 FeNO가 더 높은( ≧ 20 ppb) 환자의 하위군(N=383) 분석에서, 이 약의 투여는 위약에 비해 중등도 또는 중증 만성폐쇄성폐질환 악화의 연간 발생률을 통계적으로 유의하게 감소시켰다(발생 비율: 0.625; 95% CI: 0.45, 0.869; p=0.005). 만성폐쇄성폐질환 시험 2에서, 이 약의 투여는 위약에 비해 베이스라인 FeNO가 더 높은( ≧20 ppb) 환자의 하위군(N=355)에서 중등도 또는 중증 만성폐쇄성폐질환 악화의 연간 발생률에서 명목상 유의한 감소를 보였다(발생 비율: 0.47; 95% CI: 0.33, 0.68).
연령, 성별, 인종, 흡연 상태, 혈중 호산구 수, 전년도 악화 횟수( ≦2, 3, ≧4), 베이스라인에서의 고용량 ICS 사용, 기관지확장제 사용 후 베이스라인 FEV1 정상예측치 백분율(<50%, ≧50%)을 포함한 모든 사전 정의된 하위군에서 중등도 또는 중증 악화의 연간 발생률 감소가 관찰되었다 (나열된 하위군 상호작용에 대한 p ‑값 ≧ 0.0720). 폐기종 환자에서, 중등도 또는 중증 악화의 연간 발생률 감소는 전체 모집단과 일치했다.
폐 기능
두 임상시험에서, 이 약은 배경 유지요법에 추가했을 때 위약과 비교하여 12주차 및 52주차에 기관지확장제 사용 전 FEV1의 통계적으로 유의한 개선을 보였다(표 20 참조). 빠르면 2주차(만성폐쇄성폐질환 시험 1)(첫 번째 평가) 및 4주차(만성폐쇄성폐질환 시험 2)에 위약에 비해 이 약을 투여한 환자에서 폐 기능의 더 큰 개선(기관지확장제 사용 전 FEV1의 베이스라인 대비 LS 평균 변화)이 관찰되었으며 52주차에 지속되었다(그림 16 및 17 참조).
만성폐쇄성폐질환 시험 1에서, 이 약 투여 시 위약과 비교하여 기관지확장제 사용 후 FEV1, 기관지확장제 사용 후 FEV1/FVC 비율, 기관지확장제 사용 전 FVC의 급속한 개선이 빠르면 2주차(첫 번째 평가)에 관찰되었으며, 52주차까지 유지되었다. 만성폐쇄성폐질환 시험 2에서, 이 약 투여 시 위약과 비교하여 기관지확장제 사용 후 FEV1 및 기관지확장제 사용 후 FEV1/FVC 비율의 급속한 개선이 빠르면 8주차 및 2주차에 관찰되었으며, 52주차까지 유지되었다.
표 20. 만성폐쇄성폐질환 시험 1, 2에서 폐 기능 평가변수의 베이스라인 대비 평균 변화
| |
만성폐쇄성폐질환 시험 1 |
만성폐쇄성폐질환 시험 2 |
|
이 약
(N=468) |
위약
(N=471) |
위약 대비 이 약 차이
(95% CI) |
이 약
(N=470) |
위약
(N=465) |
위약 대비 이 약 차이
(95% CI) |
|
12주차에 기관지확장제 사용 전 FEV1의 베이스라인 대비 변화, LS 평균(SE) |
0.160 (0.018) |
0.077 (0.018) |
0.083 (0.042 - 0.125)a |
0.139 (0.017) |
0.057 (0.017) |
0.082 (0.040 - 0.124)f |
|
52주차에 기관지확장제 사용 전 FEV1의 베이스라인 대비 변화, LS 평균(SE)k |
0.153 (0.019) |
0.070 (0.019) |
0.083 (0.038 - 0.128)b |
0.115 (0.021) |
0.054 (0.020) |
0.062 (0.011 - 0.113)g |
|
12주차에 기관지확장제 사용 후 FEV1의 베이스라인 대비 변화, LS 평균(SE) |
0.156 (0.018) |
0.084 (0.018) |
0.072 (0.030 - 0.115)c |
0.136 (0.020) |
0.064 (0.020) |
0.072 (0.023 - 0.121)h |
|
12주차에 기관지확장제 사용 후 FEV1/FVC 비의 베이스라인 대비 변화, LS 평균(SE) |
0.037 (0.004) |
0.023 (0.004) |
0.014 (0.005 - 0.023)d |
0.030 (0.004) |
0.013 (0.004) |
0.017 (0.006 - 0.028)i |
|
12주차에 기관지확장제 사용 전 FVC의 베이스라인 대비 변화, LS 평균(SE) |
0.098 (0.022) |
0.029
(0.022) |
0.069
(0.016 - 0.121)e |
0.083 (0.024) |
0.018 (0.024) |
0.066 (0.005 - 0.126)j |
LS = 최소 제곱, SE = 표준 오차, FEV1 = 1초 강제 호기량, FVC = 강제 폐활량
a p ‑값 < 0.0001, b p ‑값 = 0.0003(다중성에 대한 보정으로 위약 대비 모두 통계적으로 유의함), c 명목 p값 = 0.0010, d 명목 p값 = 0.0016, e 명목 p값 = 0.0103, f p ‑값=0.0001, g p ‑값=0.0182 (다중성에 대한 보정으로 위약 대비 모두 통계적으로 유의함), h 명목 p ‑값=0.0042, i 명목 p ‑값=0.0020, j 명목 p ‑값=0.0327, k 52주차에 기관지확장제 사용 전 FEV1의 베이스라인 대비 평균 변화에 대한 유효성 결과는 52주 투여 기간을 완료했거나 자료 분석 시점에 시험을 중단한 935명의 환자 중 721명에 대해 제시되어 있다.
그림 16. 만성폐쇄성폐질환 시험 1에서 시간 경과에 따른 기관지확장제 사용 전 FEV1(L)의 베이스라인 대비 평균 변화

그림 17. 만성폐쇄성폐질환 시험 2a에서 시간 경과에 따른 기관지확장제 사용 전 FEV1(L)의 베이스라인 대비 평균 변화

a 시간 경과에 따른 기관지확장제 사용 전 FEV1의 베이스라인 대비 평균 변화에 대한 유효성 결과는 52주 투여 기간을 완료했거나 자료 분석 시점에 시험을 중단한 시험대상자 935명 중 721명에 대해 제시되어 있다.
만성폐쇄성폐질환 시험 1에서 베이스라인 FeNO가 더 높은( ≧ 20 ppb) 환자의 하위군 분석(N=383)에서, 이 약의 투여는 위약과 비교하여 베이스라인 대비 12주차 및 52주차에 기관지확장제 사용 전 FEV1을 통계적으로 유의하게 개선시켰다(12주차 ‑ LS 평균 변화: 이 약 0.232 대 위약 0.108; LS 평균 차이: 0.124[95% CI: 0.045, 0.203]; p=0.002, 52주차 ‑ LS 평균 변화: 이 약 0.247 대 위약 0.120; LS 평균 차이: 0.127[95% CI: 0.042, 0.212]; p=0.003). 만성폐쇄성폐질환 시험 2에서, 베이스라인 FeNO가 더 높은( ≧20 ppb) 환자 하위군에서, 이 약의 투여는 위약과 비교하여 베이스라인 대비 12주차에 기관지확장제 사용 전 FEV1을 통계적으로 유의하게 개선시켰다(N=355; LS 평균 변화: 이 약 0.221 대 위약 0.081; LS 평균 차이: 0.141[95% CI: 0.058, 0.223]; p=0.001). 이 약의 투여는 만성폐쇄성폐질환 시험 2에서 위약과 비교해 베이스라인 FeNO가 더 높은( ≧20 ppb) 환자 하위군에서 52주차에 기관지확장제 사용 전 FEV1을 개선했으나(N=264; LS 평균 변화: 이 약 0.176 대 위약 0.095; LS 평균 차이: 0.081[95% CI: ‑0.019, 0.181]), 통계적 유의성은 충족하지 않았다.
기관지확장제 사용 전 FEV1로 측정한 폐 기능 개선은 연령, 성별, 인종, 흡연 상태, 혈중 호산구 수, 전년도 악화 횟수( ≦2, 3, ≧4), 베이스라인에서의 고용량 ICS 사용, 기관지확장제 사용 후 베이스라인 FEV1 정상예측치(<50%, ≧50%)을 포함한 모든 사전 정의된 하위군들에서 관찰되었다. 폐기종 환자에서 기관지확장제 사용 전 FEV1로 측정한 폐 기능 개선은 전체 모집단과 일치했다.
환자보고결과
두 임상시험에서 건강 관련 삶의 질은 25주차에 세인트 조지 호흡기 설문지(SGRQ) 총점으로 측정되었다. 만성폐쇄성폐질환 시험 1에서, 위약과 비교해 이 약 투여군에서 통계적으로 유의한 SGRQ 총점 개선이 관찰되었다(LS 평균 변화: 이 약 ‑9.73 대 위약 ‑6.37; LS 평균 차이: ‑3.36[95% CI: ‑5.46, ‑1.27]; p=0.002). 만성폐쇄성폐질환 시험 2에서, 이 약은 위약에 비해 52주차에 SGRQ 총점을 명목상 개선했다(LS 평균 변화: 이 약 ‑9.82 대 위약 ‑6.44; LS 평균 차이: ‑3.37[95% CI: ‑5.81, ‑0.93]; p=0.007). 이 약 투여군에서 SGRQ 총점의 보다 큰 개선이 만성폐쇄성폐질환 시험 1(첫 번째 평가)에서 빠르면 4주차, 만성폐쇄성폐질환 시험 2에서 12주차에 관찰되었으며, 52주차까지 유지되었다(그림 18과 19 참조). 반응자 비율은 만성폐쇄성폐질환 시험 1에서 위약(43%)과 비교해 이 약 투여군(51%)에서 유의하게 더 높았다(오즈비: 1.44; 95% CI: 1.10, 1.89). 만성폐쇄성폐질환 시험 2에서, 반응자 비율은 위약(47%)과 비교해 이 약 투여군(51%)에서 수치적으로 더 컸으나, 통계적 유의성을 충족시키지 못했다(오즈비: 1.16; 95% CI: 0.86, 1.58). 위약과 비교하여 이 약 투여군에서 증상, 활성 및 영향의 모든 개별 영역에서 개선이 관찰되었다.
그림 18. 만성폐쇄성폐질환 시험 1에서 시간 경과에 따른 SGRQ 총점의 베이스라인 대비 평균 변화

그림 19. 만성폐쇄성폐질환 시험 2에서 시간 경과에 따른 SGRQ 총점의 베이스라인 대비 평균 변화

만성폐쇄성폐질환 시험 1에서, 52주차에 E ‑RS:COPD 총점의 베이스라인 대비 LS 평균 변화(LS 평균 변화: 이 약 ‑2.69 대 위약 ‑1.56; LS 평균 차이: ‑1.14[95% CI: ‑1.82, ‑0.45]; p=0.001)로 측정했을 때 이 약은 위약과 비교해 전체 호흡기 증상을 유의하게 개선했다. E ‑RS:COPD 총점의 베이스라인 대비 평균 주간 변화로 측정했을 때, 위약과 비교해 이 약 투여군에서 전체 호흡기 증상의 보다 큰 개선이 빠르면 1주차에 관찰되었으며, 52주차까지 유지되었다(그림 20 참조). 모든 개별 E ‑RS: COPD 영역(기침 및 가래, 숨이 참, 흉부 관련 증상)에서 일관된 개선이 관찰되었다.
만성폐쇄성폐질환 시험 2에서, 52주차에 E ‑RS:COPD 총점의 베이스라인 대비 LS 평균 변화(LS 평균 변화: 이 약 ‑2.39 대 위약 ‑1.77, LS 평균 차이: ‑0.62[95% CI: ‑1.43, 0.19])로 측정했을 때 이 약은 위약과 비교해 전체 호흡기 증상을 개선했으며, 이는 통계적으로 유의하지 않았다(그림 21 참조).
그림 20. 만성폐쇄성폐질환 시험 1에서 시간 경과에 따른 E ‑RS:COPD 총점의 베이스라인 대비 평균 변화

그림 21. 만성폐쇄성폐질환 시험 2에서 시간 경과에 따른 E ‑RS:COPD 총점의 베이스라인 대비 평균 변화

4) 비임상 정보
두필루맙의 발암 또는 돌연변이 가능성을 평가하기 위한 동물 시험은 실시되지 않았다.
IL ‑4Rα에 대한 동종 항체를 최대 200 mg/kg/주 용량으로 피하 투여한 성적으로 성숙한 마우스에서 생식기, 생리주기 길이 또는 정자 분석과 같은 수태능 파라미터에 미치는 영향은 관찰되지 않았다.