1. 다음 환자에는 투여하지 말 것
1) 이 약의 주성분 또는 첨가제에 과민반응의 병력이 있는 환자
2) 이 약은 유당을 함유하고 있으므로, 갈락토오스 불내성(galactose intolerance), 총 유당분해효소결핍증 (total lactase deficiency), 또는 포도당‑갈락토오스 흡수장애 (glucose‑galactose malabsorption)와 같은 유전적 문제가 있는 환자에게는 투여해서는 안 된다.
2. 이상반응
1) 단독요법
(1) 안전성 프로파일의 요약
이 약의 안전성 프로파일은 409명의 진행성 신장세포암(renal cell carcinoma, RCC), 467 명의 진행성 간세포암(hepatocellular carcinoma, HCC) 및 170 명의 국소진행성 또는 전이성 분화갑상선암(differentiated thyroid cancer, DTC) 환자 및 227명의 신경 내분비 종양 환자(Neuroendocrine Tumours, NET)를 포함하는 1,273 명의 임상시험 환자의 결과를 근거로 한다.
진행성 신장세포암 및 진행성 간세포암환자에서, 이 약과 관련된 일반적인 중대한 약물이상반응은 폐렴, 위장관 천공, 루, 출혈, 혈전 색전증 등이다,
국소진행성 또는 전이성 분화갑상선암환자에서, 이 약과 관련된 일반적인 중대한 약물이상반응(발병률 1% 이상)은 설사, 흉막 삼출, 폐렴, 폐색전증, 빈혈, 심부정맥혈전증, 고혈압 및 저칼슘 혈증, 턱 골 괴사, 통증, 손바닥‑발바닥 홍반성 감각 이상 증후군, 구토, 신 기능 장애등이다.
신경 내분비 종양 환자에서 가장 일반적인 중대한 약물 이상반응(발병률 1% 이상)은 고혈압, 피로, 폐 색전증, 구토, 설사, 구역, 심정지, 색전증 및 저산소증이다.
RCC, HCC, DTC 및 NET 환자에서 모든 등급에서 가장 빈번한(25% 이상) 이상반응은 설사, 피로, 구역, 식욕 감소, 손바닥‑발바닥 홍반성 감각 이상 증후군 및 고혈압이다.
(2) 약물이상반응 표
약물이상반응은 MedDRA 시스템의 장기 분류 및 빈도 카테고리에 따라 [표 1]에 나열되었다. 빈도는 모든 등급을 기준으로 하여 다음과 같이 정의된다. 매우 흔함(≧1/10), 흔함(≧1/100~<1/10), 흔하지 않음(≧1/1000~<1/100), 알 수 없음(추정할 수 없음(Not known)). 빈도군 내에서 심각성이 감소하는 순서로 약물이상반응들이 제시되어 있다.
[표 1] 단독요법에서 임상시험 또는 시판 후 사용 후 보고된 약물이상반응
|
MedDRA 시스템
장기 등급 |
매우 흔함 |
흔함 |
흔하지 않음 |
알 수 없음 |
|
감염 및 기생충 감염 |
|
폐렴, 농양* |
|
|
|
혈액 및 림프계 장애 |
빈혈, 혈소판 감소증 |
중성구 감소증, 림프구 감소증 |
|
|
|
각종 내분비 장애 |
갑상선 저하증* |
|
|
|
|
대사 및 영양 장애 |
식욕 감소, 저마그네슘 혈증, 저칼륨 혈증, 저알부민 혈증, 저칼슘 혈증 |
탈수, 저인산 혈증, 저나트륨 혈증,
고칼륨 혈증, 고빌리루빈 혈증, 고혈당증, 저혈당증 |
|
|
|
각종 신경계 장애 |
미각이상, 두통, 어지러움 |
말초 신경 병증a |
경련, 뇌혈관 사고, 가역적 후뇌 병증 증후군* |
|
|
귀 및 미로 장애 |
|
이명 |
|
|
|
각종 심장 장애 |
|
|
급성 심근 경색 |
|
|
각종 혈관 장애 |
고혈압
출혈b* |
정맥 혈전증c, 저혈압d, 색전증d |
고혈압 위기,
동맥 혈전증**,
동맥 색전증 |
동맥류 및 동맥 박리, 동맥파열 |
|
호흡기, 흉곽 및 종격 장애 |
발성 장애, 호흡 곤란, 기침 |
폐색전증, 알레르기성 비염d |
기흉 |
|
|
각종 위장관 장애 |
설사*, 오심, 구토, 구내염, 변비, 복통, 소화 불량 |
위장관 천공*h, 췌장염, 루*, 위 식도 역류 질환, 치핵, 구강통증,
연하곤란,
입 건조, 고창d |
설통 |
|
|
간담도 장애 |
|
간성 뇌 병증* |
담즙 정체성 간염 |
|
|
피부 및 피하 조직 장애 |
손바닥-발바닥 홍반성 감각 이상 증후군, 발진g |
소양증, 탈모, 건성피부, 모발색 변화,
과다 각화증, 홍반 |
|
피부 혈관염 |
|
근 골격 및 결합 조직 장애 |
사지 통증, 등통, 관절통 |
근육 연축 |
턱 골 괴사* |
|
|
신장 및 요로 장애 |
|
단백뇨 |
|
|
|
전신 장애 및 투여 부위 병태 |
피로, 점막 염증, 무력증, 말초부종, 발열 |
|
|
|
|
임상 검사e |
체중감소, 혈청 ALT 증가, AST 증가, 혈액 알칼리 인산 분해 효소 증가 |
GGT 증가, 혈액 크레아티닌 증가, 아밀라아제 증가, 리파아제 증가, 혈액 콜레스테롤 증가, 백혈구 수 감소, 혈액 중성 지방 증가 |
|
|
|
손상, 중독 및 시술 합병증 |
|
|
상처 합병증f |
|
위 이상반응은 총 1,355명(신장세포암 환자 409명, 간세포암 환자 509명, 분화갑상선암 환자 210명(교차 투여 40명 포함) 및 신경 내분비 종양 환자 227명)에 대해 통합 분석하였음.
* 추가적인 특성을 위해 ‘2. 이상반응’ 내 설명을 참조한다.
** 대동맥 혈전증을 포함한 모든 동맥 혈전증
a 다발신경병증 포함;말초신경병증은 주로 감각임.
b 가장 흔히 보고되는 이상반응으로 비출혈을 포함함.
c 심부 정맥 혈전증을 포함한 모든 정맥 혈전증
d 신경 내분비 종양 연구(CABINET)를 기반으로 함.
e 보고된 이상반응을 기반으로 함.
f 치유 장애, 절개 부위 합병증 및 상처 벌어짐
g 발진은 피부염, 여드름양 피부염, 수포성 피부염, 탈락성 발진, 홍반성 발진, 모낭성 발진, 반상 발진, 반상‑구진 발진, 구진 발진, 소양성 발진 및 약물 발진을 포함하는 복합 용어임.
h 치명적 사례가 보고되었음.
2) 진행성 신장 세포암 환자에서 니볼루맙과 병용한 1차 치료 요법
(1) 안전성 프로파일의 요약
카보잔티닙과 니볼루맙을 병용투여하는 경우, 치료 시작 전에 니볼루맙 SmPC를 의 국내 허가사항에서 안전성 프로파일에 관한 상세 정보를 참조한다.
신장세포암 환자에서 2주 마다 투여된 니볼루맙 240mg과 1일 1회로 투여된 카보잔티닙 40mg을 병용한 데이터 세트에서(n=320), 최소 추적 기간이 16개월인 경우 가장 흔한 중대한 약물이상반응(발생률 ≧1%)은 설사, 폐염증, 폐 색전증, 폐렴, 저나트륨 혈증, 발열, 부신 부전, 구토, 탈수였다.
가장 빈번한 이상반응(≧25%)은 설사, 피로, 손바닥‑발바닥 홍반성 감각 이상 증후군, 구내염, 근골격 통증, 고혈압, 발진, 갑상선 저하증, 식욕 감소, 오심, 복통이었다. 대부분의 이상반응은 경증에서 중등증 (1등급 또는 2등급) 이었다.
(2) 약물이상반응 표
니볼루맙과 병용한 카보잔티닙의 임상시험에서 확인된 이상반응은 MedDRA 시스템 장기 분류 및 빈도 카테고리에 따라 [표 2]에 나열되었다. 빈도는 모든 등급을 기준으로 하여 다음과 같이 정의된다: 매우 흔함(≧1/10), 흔함(≧1/100~<1/10), 흔하지 않음(≧1/1000~<1/100), 알 수 없음(추정할 수 없음(Not known)). 빈도군 내에서 심각성이 감소하는 순서로 약물이상반응들이 제시되어 있다.
[표 2] 카보잔티닙과 니볼루맙의 병용요법에서 보고된 약물이상반응
|
MedDRA 시스템
장기 등급 |
매우 흔함 |
흔함 |
흔하지 않음 |
알 수 없음 |
|
감염 및 기생충 감염 |
상기도감염 |
폐렴 |
|
|
|
혈액 및 림프계 장애 |
|
호산구증 |
|
|
|
각종 면역계 장애 |
|
과민성 (아나필락시스 반응 포함) |
주입 관련 과민반응 |
|
|
각종 내분비 장애 |
갑상선 저하증, 갑상선 항진증 |
부신 부전 |
뇌하수체염, 갑상선염 |
|
|
대사 및 영양 장애 |
식욕 감소 |
탈수 |
|
|
|
각종 신경계 장애 |
미각 이상, 어지러움, 두통 |
말초 신경 병증 |
자가 면역 뇌염, 길랭-바레 증후군, 근육 무력 증후군 |
|
|
귀 및 미로 장애 |
|
이명 |
|
|
|
각종 눈 장애 |
|
눈 건조, 둔화된 시야 |
포도막염 |
|
|
각종 심장 장애 |
|
심박세동, 빈맥 |
심근염 |
|
|
각종 혈관 장애 |
고혈압 |
혈전증a |
동맥 색전증 |
|
|
호흡기, 흉곽 및 종격 장애 |
발성 장애, 호흡 곤란, 기침 |
폐염증, 폐 색전증, 비출혈, 흉막 삼출 |
기흉 |
|
|
각종 위장관 장애 |
설사, 구토, 오심, 변비, 구내염, 복통, 소화 불량 |
결장염, 위염, 구강 통증, 입 건조, 치핵 |
췌장염, 소장 천공b, 설통 |
|
|
간담도 장애 |
|
간염 |
|
담관 소실 증후군c |
|
피부 및 피하 조직 장애 |
손바닥-발바닥 홍반성 감각 이상 증후군, 발진d, 소양증 |
탈모, 건성 피부, 홍반, 모발색 변화 |
건선, 두드러기 |
피부 혈관염 |
|
근골격 및 결합 조직 장애 |
근골격 통증e, 관절통, 근육 연축 |
관절염 |
근병증, 턱 골 괴사, 루 |
|
|
신장 및 요로 장애 |
단백뇨 |
신부전, 급성 신 손상 |
신장염 |
|
|
전신 장애 및 투여 부위 병태 |
피로, 발열, 부종 |
통증, 흉통 |
|
|
|
임상 검사f |
ALT 증가, AST 증가, 저인산혈증, 저칼슘 혈증, 저마그네슘 혈증, 저나트륨 혈증, 고혈당증, 림프구 감소증, 알칼리 인산 분해 효소 증가, 리파아제 증가, 아밀라아제 증가, 혈소판 감소증, 크레아티닌 증가, 빈혈, 백혈구 감소증, 고칼륨 혈증, 중성구 감소증, 고칼슘 혈증, 저혈당증, 저칼륨 혈증, 총 빌리루빈 증가, 고마그네슘 혈증, 고나트륨 혈증, 체중 감소 |
혈액 콜레스테롤 증가, 고중성지방 혈증 |
|
|
위의 이상반응 빈도는 카보잔티닙 단독 기여가 아닐 수 있으며 기저질환 또는 병용으로 사용된 니볼루맙의 기여로 인한 것일 수 있다.
a 혈전증은 간문맥 혈전증, 폐정맥 혈전증, 폐 혈전증, 대동맥 혈전증, 동맥 혈전증, 심부 정맥 혈전증, 골반 정맥 혈전증, 대정맥 혈전증, 정맥 혈전증, 사지 정맥 혈전증을 포함하는 용어임
b 치명적인 사례가 보고됨
c 이전에 또는 동시에 면역 관문 억제제에 노출된 경우
d 발진은 피부염, 여드름양 피부염, 수포성 피부염, 탈락성 발진, 홍반성 발진, 모낭성 발진, 반상 발진, 반상‑구진 발진, 구진 발진, 소양성 발진, 약물 발진을 포함하는 용어임
e 근골격 통증은 등허리 통증, 골 통증, 근골격성 흉부 통증, 근골격 불편감, 근육통, 경부 통증, 사지 통증, 척추 통증을 포함하는 용어임
f 검사실 용어의 빈도는 체중 감소, 혈액 콜레스테롤 증가, 고중성지방 혈증을 제외하고, 측정 시 기저치에서 악화된 환자의 비율을 반영함
3) 선별된 약물이상반응에 대한 기술
다음 반응에 대한 자료는 VEGF 표적요법 치료를 받은 적이 있는 신장세포암(Renal cell carcinoma; RCC) 환자 및 전신요법 치료를 받은 적이 있는 간세포암(hepatocellular carcinoma, HCC) 환자 및 이전에 전신 요법 치료를 받는 동안 또는 이후에 진행된 방사성 요오드 요법(RAI)에 적합하지 않거나 불응한, 분화갑상선암(DTC) 환자 및 전신요법 치료를 받은 적이 있는 진행성 신경 내분비 종양 환자에 대한 치료적 확증 임상시험에서 이 약 60mg을 1 일 1회 단독요법으로 경구투여 받은 환자를 기준으로 하거나, 진행성 신장세포암 환자에서 니볼루맙과 병용한 1차 치료요법으로 이 약 40mg을 1일 1회 경구투여받은 환자를 기준으로 한다(10. 전문가를 위한 정보에서 1) 약력학적 특성 절 참조).
(1) 위장관(GI) 천공
신장세포암(RCC) 환자에 대한 임상시험(METEOR)에서, 위장관(GI) 천공은 이 약을 투여 받은 신장세포암(RCC) 환자의 0.9% (3/331) 에서 보고되었다. 약물이상반응은 2등급 또는 3등급이었다. 발병시기의 중간값(median time)은 10.0주였다.
HCC 환자에 대한 임상시험(CELESTIAL)에서, 위장관(GI) 천공은 이 약을 투여 받은 환자의 0.9%(4/467)에서 보고되었다. 약물이상반응은 3등급 또는 4등급이었다. 발병시기의 중간값은 5.9주였다.
DTC 환자에 대한 임상시험(COSMIC‑311)에서 이 약을 투여 받은 환자 중 1명(0.6%)에서 4등급 위장관 천공이 보고되었으며 투여 14주 후에 발생하였다.
NET 환자에 대한 임상시험(CABINET)에서 이 약을 투여받은 환자 중 1.3%(3/227)에서 위장관 천공이 보고되었으며, 약물이상반응은 3, 4 및 5등급이었다. 발병시기의 중간값은 21.6주였다.
진행성 신장세포암 환자에서 니볼루맙과 병용한 1차 치료 임상시험(CA2099ER)에서 위장관(GI) 천공 발생률은 치료 환자의 1.3%(4/320)에서 보고되었다. 약물이상반응은 3등급 1회, 4등급 2회, 5등급(치명적) 1회로 보고되었다. 이 약의 임상에서 치명적인 천공이 발생하였다.
(2) 루
RCC 환자에 대한 임상시험(METEOR)에서, 루는 이 약을 투여 받은 환자의 1.2% (4/331) 에서 보고되었으며, 0.6% (2/331)의 항문 루도 포함되었다. 하나의 약물이상반응은 3등급이었고, 나머지는 2등급의 약물이상반응이었다. 발병시기의 중간값은 30.3주였다.
HCC 환자에 대한 임상시험(CELESTIAL)에서, 루는 이 약을 투여 받은 HCC 환자의 1.5% (7/467)에서 보고되었다. 발병시기의 중간값은 14주였다.
DTC 환자에 대한 임상시험(COSMIC‑311)에서, 루(2개의 항문 및 1개의 인두 루)는 이 약을 투여 받은 환자의 1.8%(3/170)에서 보고되었다.
NET 환자에 대한 임상시험(CABINET)에서 이 약을 투여받은 환자 중 1.3%(3/227)에서 루(2개의 항문 루 및 1개의 담도루)가 보고되었다. 항문 루는 1등급 및 3등급이었으며, 담도루는 2등급이었다. 발병시기의 중간값은 19.3주였다.
진행성 신장세포암 환자에서 니볼루맙과 병용한 1차 치료 임상시험(CA2099ER)에서 루 발생률은 치료 환자의 0.9%(3/320)에서 보고되었으며, 중증도는 1등급이었다.
이 약의 임상에서 치명적인 루가 발생하였다.
(3) 출혈
RCC 환자에 대한 임상시험(METEOR)에서, 중증 출혈성 약물이상반응(3등급 이상) 발병률은 이 약을 투여 받은 신장세포암(RCC) 환자에서 2.1% (7/331)에서 보고되었다. 발병시기의 중간값은 20.9주였다.
HCC 환자에 대한 임상시험(CELESTIAL)에서, 중증 출혈성 약물이상반응(3등급 이상) 발병률은 이 약을 투여 받은 간세포암(HCC) 환자에서 7.3%(34/467)에서 보고되었다. 발병시기의 중간값은 9.1주였다.
DTC 환자에 대한 임상시험(COSMIC‑311)에서, 중증 출혈성 약물이상반응(3등급 이상) 발병률은 이 약을 투여 받은 분화갑상선암(DTC) 환자에서 2.4%(4/170)에서 보고되었다. 발병시기의 중간값은 11.5주였다.
NET 환자에 대한 임상시험(CABINET)에서, 중증 출혈성 약물이상반응(3등급 이상) 발병률은 이 약을 투여받은 환자 중 1.8%(4/227)에서 보고되었다. 발병시기의 중간값은 14.1주였다.
진행성 신장세포암 환자에서 니볼루맙과 병용한 1차 치료 임상시험(CA2099ER)에서 3등급 이상의 출혈은 치료 환자의 1.9% (6/320)에서 보고되었다.
이 약의 임상에서 치명적인 출혈이 발생하였다.
(4) 가역적 후뇌 병증 증후군(Posterior reversible encephalopathy syndrome ; PRES)
임상시험(METEOR, CABOSUN, CA2099ER 또는 CELESTIAL)에서 PRES는 보고되지 않았지만, DTC 환자에 대한 임상시험(COSMIC‑311) 및 NET 환자에 대한 임상시험(CABINET)에서 각 한 명의 환자에서 PRES가 보고되었으며, 다른 임상시험에서도 보고되었다(2/4872; 0.04%).
(5) 설사
신장세포암 환자에 대한 임상시험(METEOR)에서, 설사는 치료 환자의 74%(245/331)에서 보고되었다. 3~4등급 설사는 11%에서 보고되었으며, 발병시기의 중간값은 4.9주였다.
간세포암 환자에 대한 임상시험(CELESTIAL)에서, 설사는 치료 환자의 54%(251/467)에서 보고되었다. 3~4등급 설사는 9.9%에서 보고되었으며, 발병시기의 중간값은 4.1주였다. 설사로 인해 시험대상자의 84/467(18%), 69/467(15%), 5/467(1%)가 각각 투여용량 조절, 일시 중단, 영구중단으로 이어졌다.
DTC 환자에 대한 임상시험(COSMIC‑311)에서, 설사는 치료 환자의 62%(105/170)에서 보고되었다. 3~4등급 설사는 7.6%에서 보고되었으며, 설사로 인해 시험대상자의 24/170(14%), 36/170(21%)가 각각 투여용량 감소, 일시 중단으로 이어졌다.
NET 환자에 대한 임상시험(CABINET)에서 이 약을 투여받은 환자 중 63.4%(144/227)에서 설사가 보고되었다. 3등급 설사는 8.4%에서 보고되었고, 4등급은 보고되지 않았다. 3등급 발병시기의 중간값은 5.1주였다.
진행성 신장세포암 환자에서 니볼루맙과 병용한 1차 치료 임상시험(CA2099ER)에서 설사는 치료 환자의 64.7% (207/320)에서 보고되었으며, 3~4등급 설사는 8.4% (27/320)에서 보고되었다. 발병시기의 중간값은 12.9주였다. 설사 환자에서 투여 지연 또는 용량 감소는 26.3% (84/320), 용량 중단은 2.2% (7/320)에서 각각 발생하였다.
(6) 턱 골 괴사
턱 골 괴사(osteonecrosis of the jaw, ONJ)는 이 약으로 치료받은 환자의 1% 미만에서 발생하였다. 턱 골 괴사는 턱 통증, 골수염, 골염, 뼈 침식, 치아 또는 치주 감염, 치통, 잇몸 궤양 또는 침식, 영구적인 턱 통증 또는 치과 수술 후 입이나 턱의 느린 치유 등으로 나타날 수 있다. 이 약을 투여하기 전과 이 약의 투여 기간 중 정기적으로 구강 검사를 실시하도록 한다. 구강 위생 관리에 관하여 환자에게 권고한다. 가능한 예정된 치과 수술 또는 침습적 치과 치료에 앞서 적어도 28일 동안 이 약의 투여를 보류하도록 한다. 비스포스포네이트과 같은 ONJ 관련 제제를 투여받는 환자의 경우 주의해야 한다. 턱 골 괴사가 발생한 환자는 이 약을 중단하여야 한다.
(7) 농양
HCC 환자에 대한 임상시험(CELESTIAL)에서, 농양은 위약을 투여한 환자의 0.8%, 이 약을 투여한 환자의 3.9%에서 보고되었다. 이 약을 복용한 환자의 1.1%에서 복강 내 및 골반 농양이 보고되었으며, 위약을 복용한 환자는 0명이었다. 환자에서 농양의 징후 및 증상에 대하여 모니터링 하도록 한다.
(8) 간성 뇌 병증
HCC 환자에 대한 임상시험(CELESTIAL)에서, 간성 뇌 병증(간성 뇌 병증, 뇌 병증, 고암모니아 혈증 뇌 병증)이 이 약으로 치료된 환자의 5.6%(26/467)에서 보고되었다; 3‑4 등급 2.8%, 그리고 5 등급 1 건(0.2%). 발병시기의 중간값은 5.9주였다.
NET 환자에 대한 임상시험(CABINET)에서 이 약을 투여받은 환자 중 0.9%(2/227)에서 간성 뇌 병증이 보고되었다. 3등급 1건(0.4%)이 발생하였으며, 발병시기의 중간값은 14.3주였다.
RCC 환자에 대한 임상시험(METEOR, CABOSUN, CA2099ER) 및 DTC 환자에 대한 임상시험(COSMIC‑311)에서 간성 뇌 병증은 보고되지 않았다.
(9) 진행성 신장세포암 환자에서 카보잔티닙이 니볼루맙과 병용될 때 간 효소 상승
이전에 치료받지 않은 신장세포암 환자를 대상으로 니볼루맙과 카보잔티닙을 병용한 임상시험(CA2099ER)에서 3‑4등급의 ALT 증가(10.1%) 및 AST 증가(8.2%)가 진행성 신장세포암 환자의 카보잔티닙 단독요법에 비해 높은 비율로 관찰되었다. VEGF 표적요법 치료를 받은 적이 있는 RCC 환자에 대한 임상시험(METEOR)에서 ALT는 3.6%, AST는 3.3%가 증가했다. 2등급 이상의ALT 또는 AST 증가가 관찰되기까지 걸린 기간의 중간값은 10.1주 (2주 ~ 106.6주 범위, n=85)였다. 2등급 이상의 ALT 또는 AST 증가 환자의 91%가 0등급~1등급으로 개선되었으며, 개선 기간의 중간값은 2.3주 (0.4주 ~ 108.1주 범위)였다.
2등급 이상의 ALT 또는 AST 증가가 관찰되어 투약을 중단하고 재개한 환자 45명(카보잔티닙 단독투여(n=10), 니볼루맙 단독투여(n=10), 카보잔티닙 및 니볼루맙 병용투여(n=25)) 중 카보잔티닙 단독투여 4명, 니볼루맙 단독투여 3명, 카보잔티닙 및 니볼루맙 병용투여 8명에서 2등급 이상의 ALT 또는 AST 증가가 재발하였다.
(10) 갑상선 저하증
신장세포암 환자에 대한 임상시험(METEOR)에서 갑상선 저하증의 발병률은 21%(68/331)로 보고되었다.
간세포암 환자에 대한 임상시험(CELESTIAL)에서 갑상선 저하증의 발병률은 이 약을 투여받은 환자 8.1%(38/467)에서 보고되었고, 3등급 이상반응은 0.4%(2/647)에서 보고되었다.
DTC 환자에 대한 임상시험(COSMIC‑311)에서 갑상선 저하증의 발병률은 2.4%(4/170)이며, 이상반응은 모두 1‑2 등급으로 보고되었고, 치료의 조절이 요구되지 않았다.
NET 환자에 대한 임상시험(CABINET)에서 갑상선 저하증의 발병률은 이 약을 투여받은 환자 26%(59/227)에서 보고되었으며, 모두 1~2등급이었다.
진행성 신장세포암 환자에서 니볼루맙과 병용한 1차 치료(CA2099ER)에서 갑상선 저하증의 발병률은 이 약을 투여받은 환자 35.6%(114/320)에서 보고되었다.
4) 재심사에 따른 국내 시판 후 조사결과
단독요법에 대한 시판 후 조사 결과
국내에서 재심사를 위하여 6년 동안 228명을 대상으로 실시한 시판 후 조사 결과, 이상사례의 발현율은 인과관계와 상관없이 75.4%(172/228명, 총 689건)로 보고되었다. 이 중 인과관계를 배제할 수 없는 중대한 약물이상반응 및 인과관계를 배제할 수 없는 예상하지 못한 약물이상반응은 발현 빈도에 따라 아래 표에 나열하였다.
|
발현빈도 |
기관계 |
중대한 약물이상반응
10.5%(24/228명, 26건) |
예상하지 못한 약물이상반응
27.2%(62/228명, 89건) |
|
흔하게
(1~10% 미만) |
각종 위장관 장애 |
설사 |
상복부 통증 |
|
전신 장애 및 투여 부위 병태 |
- |
부종, 전신 부종 |
|
임상 검사 |
- |
중성구 수 감소 |
|
흔하지 않게
(0.1~1% 미만) |
각종 위장관 장애 |
위염, 장폐색증, 흑색변 |
위염, 복부 불편감, 입 궤양 형성, 항문 염증, 결장염, 상복부의 불편감, 잇몸 통증, 혈변 배설, 장폐색증, 흑색변 |
|
감염 및 기생충 감염 |
폐렴, 복막염, 충수염, 위장염, 농포성 발진 |
폐렴, 위장염, 대상 포진, 복막염, 방광염, 충수염, 비인두염, 손발톱 주위염, 농포성 발진 |
|
전신 장애 및 투여 부위 병태 |
무력증, 발열 |
안면 부종 |
|
각종 신경계 장애 |
뇌경색, 색전성 뇌경색 |
뇌경색, 지각 이상, 간성 혼수, 색전성 뇌경색 |
|
호흡기, 흉곽 및 종격 장애 |
폐 색전증, 객혈 |
구인두 통증, 객혈, 딸꾹질 |
|
근골격 및 결합 조직 장애 |
- |
사지 통증, 서혜부 통증, 근육통, 골 통증, 옆구리 통증 |
|
피부 및 피하 조직 장애 |
- |
수포, 습진, 홍반, 다한증, 피부 미란, 피부 탈락 |
|
임상 검사 |
- |
혈액 갑상선 자극 호르몬 증가, C-반응 단백질 증가 |
|
혈액 및 림프계 장애 |
혈소판 감소증 |
- |
|
각종 심장 장애 |
심근 경색 |
좌심실 기능 이상 |
|
악성 및 상세 불명의 신생물(낭종 및 용종 포함) |
- |
양성 갑상선 신생물 |
|
각종 정신 장애 |
- |
우울증 |
|
대사 및 영양 장애 |
- |
당뇨병, 섭식 저하 |
|
각종 내분비 장애 |
- |
갑상선 항진증, 갑상선 장애 |
|
생식계 및 유방 장애 |
- |
양성 전립선 과형성 |
|
각종 눈 장애 |
- |
눈 부종 |
|
손상, 중독 및 시술 합병증 |
고관절 골절 |
고관절 골절 |
|
신장 및 요로 장애 |
급성 신 손상 |
혈뇨, 급성 신 손상, 만성 신장병 |
|
혈액 및 림프계 장애 |
- |
중성구 감소증 |
3. 일반적 주의
이 약에 대한 대부분의 약물이상반응은 치료의 과정에서 조기 발생할 수 있기 때문에, 전문가는 용량 조정의 필요를 결정하기 위해 치료의 첫 8주 동안 환자를 면밀히 평가해야 한다. 일반적으로 조기 발병하는 증상에는 저칼슘 혈증, 저칼륨 혈증, 혈소판 감소증, 고혈압, 손바닥‑발바닥 홍반성 감각 이상 증후군(PPES), 단백뇨, 위장관(GI) 증상(복통, 점막 염증, 변비, 설사, 구토)이 포함된다.
의심되는 이상반응의 관리를 위해 카보잔티닙의 일시적 투약 중단 또는 투여량 감량이 필요할 수 있다.
신장세포암(METEOR, CABOSUN), 간세포암(CELESTIAL), 분화갑상선암(COSMIC‑311) 및 신경 내분비 암종(CABINET)의 중추 단독 요법 임상 시험에서 카보잔티닙을 투여한 환자의 각각 46‑67%와 70‑84%에서 이상반응(AE)으로 인한 투여량 감량 및 투약 중단이 발생하였다. 환자의 9.4‑33%에서 투여량 감량이 두 번 요구되었다. 첫 번째 투여량 감량까지 시간 중간값은 38‑106일이었고, 첫 번째 투약 중단까지 시간 중간값은 28‑68일이었다.
카보잔티닙을 1차 진행성 신장세포암 환자에서 니볼루맙과 병용 투여할 경우, 임상 시험(CA2099ER)에서 이상반응로 인한 카보잔티닙의 투여량 감량 및 투약 중단은 환자의 54.1%와 73.4%에서 발생하였다. 환자의 9.4%에서 투여량 감량이 두 번 요구되었다. 첫 번째 투여량 감량까지 시간 중간값은 106일이었고, 첫 번째 투약 중단까지 시간 중간값은 68일이었다.
1) 간독성
간 기능 시험에서 이상(알라닌아미노전이효소[ALT], 아스파테이트아미노전이효소[AST] 및 빌리루빈 증가)은 이 약으로 치료받은 환자에서 흔하게 관찰되었다. 이 약의 치료 시작 전 간 기능 시험(ALT, AST 및 빌리루빈)을 진행하고 치료 중 밀접하게 모니터링하는 것이 권고된다. 이 약의 치료와 관련되어 간 기능 시험에서 악화로 여겨지는 환자의 경우(즉, 다른 명백한 이유가 없는 경우), 용법 ◦용량의 표의 용량조절 권장을 따라야 한다(용법 ◦용량 참조).
진행성 신장세포암 환자에서 카보잔티닙과 니볼루맙을 병용 투여하였을 때 카보잔티닙 단독요법에 비해 3등급과 4등급 ALT 및 AST 상승의 빈도가 더 높았다(2. 이상반응 참조). 간 효소는 치료 시작 전과 치료 중 주기적으로 모니터링해야 하며, 두 가지 의약품에 대한 의료 관리 가이드라인을 따라야 한다(용법 ◦용량, 니볼루맙 허가사항 참조).
담관 소실 증후군이 드물게 보고되었다. 모든 사례는 카보잔티닙 투여 전 또는 동시에 면역관문억제제를 투여받은 환자에게서 발생하였다.
이 약은 주로 간 경로를 통해 제거된다. 경증 또는 중등증의 간 장애 환자의 경우 전반적인 안전성을 면밀히 모니터링하는 것이 권고된다(용법 ◦용량 및 10. 전문가를 위한 정보 2) 약동학적 특성 참조). 이 약의 치료로 중등증 간 장애(Child‑Pugh B) 환자에서 상대적으로 높은 비율의 간성뇌증이 발생하였다. 이 약은 중증 간 장애(Child‑Pugh C) 환자에게 권장되지 않는다. 이 약은 중증 간 장애 환자에서 연구되지 않았으며 이러한 환자들에게서 이 약의 노출이 증가할 수 있다(용법 ◦용량 참조).
2) 간성 뇌 병증
HCC 환자에 대한 임상시험(CELESTIAL)에서, 간성 뇌 병증은 위약과 대비하여 이 약에서 더 빈번하게 보고되었다. 이 약은 설사, 구토, 식욕감소 및 전해질 이상과 관련이 있다. 간이 손상된 HCC 환자에서, 이러한 비‑간질 영향은 간성 뇌 병증의 발병 요인이 될 수 있다. 환자는 간성 뇌 병증의 징후와 증상을 모니터링하여야 한다.
3) 천공 및 루
치명적이고 심각한 위장관(GI) 천공 및 루는 이 약의 치료에서 관찰되었다. 염증성 장 질환이 있거나(예: 크론병, 궤양성대장염, 복막염, 게실염 또는 충수염), 위장관에서 종양 침윤 또는 위장수술에 의한 합병증(지연 또는 불완전한 치유)을 가진 환자들은 이 약의 투약을 시작하기 전, 환자 상태를 확인해야 하며, 농양 및 패혈증을 포함한 천공 및 루 증상에 대해 모니터링 되어야 한다. 치료하는 동안 지속적이고 반복적인 설사는 항문 루 발생의 요인이 될 수 있다. 위장관 천공 또는 적절히 관리될 수 없는 루를 겪은 환자는 이 약의 치료를 중단해야 한다.
4) 위장관(GI) 장애
가장 흔하게 보고된 위장관 이상반응 중 일부는 설사, 오심/구토, 식욕감소, 및 구내염/구강통증이다(2. 이상반응 참조). 탈수, 전해질 불균형 및 체중 감소를 방지하기 위하여 항구토제, 지사제, 또는 제산제의 보조 치료를 포함한 신속한 의학적 관리가 마련되어야 한다. 지속적 또는 반복적인 중대한 위장관 이상반응의 경우, 이 약의 투여 중단 또는 용량 감소, 또는 영구 중단이 고려되어야 한다.
5) 혈전 색전증
폐 색전증을 포함한 정맥 혈전 색전증과 동맥 혈전 색전증의 약물이상반응이 이 약의 치료에서 관찰되었다. 이 약은 위 증상의 약물이상반응의 위험이 있거나 병력이 있는 환자의 경우에 주의하여 투여되어야 한다.
이 약은 급성 심근 경색이 나타난 환자 또는 다른 임상적으로 유의한 혈전 색전성 합병증이 나타난 환자의 경우 투여를 중단해야 한다.
CABINET 연구에서 카보잔티닙을 투여받은 참가자의 경우 관찰된 VTE 위험은 pNET 코호트(19%)에서 epNET 코호트(3.8%)보다 더 높았다.
6) 출혈
이 약의 치료에서 중증의 출혈(때때로 치명적)이 관찰되었다. 이 약의 치료 시작 전에 중증 출혈의 병력이 있는 환자는 상태를 주의 깊게 확인해야 한다. 중증 출혈을 보이거나 발생할 위험이 있는 환자에게 이 약을 투여해서는 안 된다.
HCC 환자에 대한 임상시험(CELESTIAL)에서, 치명적인 출혈이 이 약의 투여군에서 위약보다 높은 발생률로 보고되었다. 진행성 간세포 암 집단에서 심각한 출혈에 대하여 예측되는 위험인자는 식도 정맥류, 문맥 고혈압 및 혈소판 감소증을 야기하는 주요 혈관의 종양 침윤과 근원적으로 존재하는 간의 경화를 포함한다. HCC 환자에 대한 임상시험(CELESTIAL)에서는 항응고 치료 또는 항혈소판제를 병용한 환자는 제외되었다. 또한, 치료되지 않았거나 불완전한 치료, 정맥류 출혈 또는 출혈 위험이 높은 환자도 이 임상시험에서 제외되었다.
진행성 신장세포암 환자에서 니볼루맙과 병용한 1차 치료 임상시험(CA2099ER)에서 항응고제를 투여받은 환자는 제외되었다.
7) 동맥류 및 동맥 박리
고혈압 유무와 상관없이 VEGF 경로 억제제를 사용하는 환자에게 동맥류 및 동맥 박리가 나타날 수 있다. 고혈압 또는 동맥류 병력과 같은 위험요인이 있는 환자에게 이 약으로 치료를 시작하기 전에, 이러한 위험을 주의 깊게 고려해야한다.
8) 혈소판 감소증
HCC 환자에 대한 임상시험(CELESTIAL), DTC 환자에 대한 임상시험(COSMIC‑311) 및 NET 환자에 대한 임상시험(CABINET)에서, 혈소판 감소증과 혈소판 감소가 보고되었다. 혈소판 수치는 이 약의 치료 중에 모니터링되어야 하고 혈소판 감소증의 중증도에 따라 용량이 조정되어야 한다(용법 ◦용량 참조).
9) 상처 합병증
이 약의 치료에서 상처 합병증이 관찰되었다. 가능하다면, 이 약의 치료는 치과 수술 또는 침습적 치과 처치를 포함하여, 예정된 수술의 최소 28일 전에 중단해야 한다. 수술 후 이 약의 치료 재개의 결정은 적절한 상처 치유에 대한 임상적 판단에 근거해야 한다. 의료적 치료를 필요로 하는 상처 치료 합병증을 가진 환자에게는 이 약의 투여를 중단해야 한다.
10) 고혈압
이 약의 치료에서 고혈압(고혈압 위기 포함)이 관찰되었다. 이 약의 치료 시작 전에 혈압이 관리되어야 한다. 이 약의 치료 시작 후, 혈압은 조기에 정기적으로 모니터링 되어야 하고, 필요에 따라 적절한 항고혈압 요법으로 치료해야 한다. 항고혈압제를 사용하였음에도 불구하고 고혈압이 지속되는 경우, 이 약의 투여는 혈압이 조절될 때까지 중단되어야 하며, 그 후 감소된 용량으로 이 약의 투여를 재시작 할 수 있다. 항고혈압 치료와 이 약의 투여량 감소에도 불구하고 고혈압이 중증으로 지속되는 경우, 투여를 중단해야 한다. 고혈압 위기의 경우, 이 약의 투여를 중단해야 한다.
11) 손바닥‑발바닥 홍반성 감각 이상 증후군(Palmar‑plantar Erythrodysaesthesia Syndrome; PPES)
이 약의 치료에서 손바닥‑발바닥 홍반성 감각 이상 증후군(PPES)이 관찰되었다. PPES이 중증이라면, 이 약의 치료 중단을 고려해야 한다. PPES가 1등급 수준으로 낮아지면, 낮은 용량으로 이 약의 투여를 재 시작해야 한다.
12) 단백뇨
이 약의 치료에서 단백뇨가 관찰되었다. 이 약으로 치료 중에는 소변 단백질을 정기적으로 모니터링 해야 한다. 신장 증후군이 있는 환자의 경우 이 약의 투여를 중단해야 한다.
13) 가역적 후뇌 병증 증후군(Posterior reversible encephalopathy syndrome;PRES)
이 약의 치료에서 가역적 후뇌 병증 증후군(Posterior Reversible Encephalopathy Syndrome; PRES)이 관찰되었다. 발작, 두통, 시각 장애, 혼돈 또는 정신기능의 변화를 포함하여 여러 증상을 보이는 모든 환자에서는 고려되어야 한다. PRES 환자의 경우 이 약의 투여를 중단해야 한다.
14) QT 간격의 연장
이 약은 QT 간격 연장의 병력이 있는 환자, 항부정맥제를 복용하는 환자, 기존 심장 질환, 서맥 및 전해질 장애가 있는 환자에게 주의하여 투여해야 한다. 이 약을 투여하는 경우, 치료 중 ECG 및 전해질(칼슘 혈청, 칼륨 및 마그네슘)의 정기적인 모니터링이 고려되어야 한다.
15) 갑상선 기능 장애
모든 환자에게 갑상선 기능의 검사실 측정을 권장한다. 기존의 갑상선 저하증 또는 갑상선 항진증이 있는 환자는 카보잔티닙 치료를 시작하기 전에 표준 의료 지침에 따라 치료하여야 한다. 모든 환자에서 카보잔티닙 치료 중 갑상선 기능 장애의 징후와 증상을 면밀히 관찰해야 한다. 카보잔티닙으로 치료하는 동안 갑상선 기능을 주기적으로 모니터링 하여야 한다. 갑상선 기능 장애가 있는 환자는 표준 의료 지침에 따라 치료하여야 한다.
16) 생화학적 검사실 시험 이상
이 약은 전해질 이상(저칼륨 및 고칼륨 혈증, 저마그네슘 혈증, 저칼슘 혈증 및 저나트륨 혈증)의 발병률 증가와 관련이 있다. 저칼슘 혈증은 다른 암 환자에 비해 분화 갑상선 암 환자에서 더 높은 빈도 및/또는 중증도 증가(3등급 및 4등급 포함)로 이 약에서 관찰 된다. 이 약의 치료 중 생화학적 매개변수를 모니터링하고 필요한 경우 적절한 대체 요법을 시행하는 것을 권장한다. HCC 환자에서 간성 뇌 병증의 경우 전해질 장애의 발병에 기인할 수 있다. 지속적이거나 반복적으로 중대한 이상이 있는 경우에는 이 약의 투여 중단 또는 감소, 또는 영구 중단이 고려되어야 한다. (용법 ◦용량 참조).
17) CYP3A4 유도제 및 저해제
이 약은 CYP3A4 기질이다. 강력한 CYP3A4 저해제인 케토코나졸과 이 약의 동시 투여는 이 약의 혈장 노출을 증가시켰다. 이 약과 강력한 CYP3A4 저해 약물을 동시에 투여하는 경우 주의가 필요하다. 이 약과 강력한 CYP3A4 유도제인 리팜피신을 동시에 투여하는 것은 이 약의 혈장 노출을 감소시키는 결과를 보였다. 따라서 강력한 CYP3A4 유도제와 함께 이 약의 장기 투여는 피해야 한다.(용법 ◦용량 및 ‘4. 상호작용’ 항 참조)
18) P‑당단백(P‑glycoprotein) 기질
이 약은 MDCK‑MDR1 세포를 사용하는 양방향 분석시스템에서 P‑당단백(P‑gp) 저해물질(IC<SUB>50</SUB> = 7.0μM)이였으나, 기질은 아니었다. 따라서 이 약은 P‑당단백(P‑gp)의 병용 투여된 기질의 혈장농도를 증가시킬 수 있는 잠재력을 가질 수 있다. 이 약을 투여 하는 동안 환자는 P‑당단백(P‑gp)(예: 펙소페나딘, 알리스키렌, 암브리센탄, 다비가트란에덱실레이트, 디곡신, 콜키신, 마라비록, 포사코나졸, 라놀라진, 삭사글립틴, 시타글립틴, 탈리놀롤, 톨밥탄)의 투여에 대하여 주의해야 한다(‘4. 상호작용’ 항 참조).
19) MRP2 저해제
MRP2 저해제를 투여하면 이 약의 치료에서 혈장농도가 증가할 수 있다. MRP2 저해제(예: 사이클로스포린, 에파비렌즈, 엠트리시타빈)의 병용 투여는 주의해야 한다.(‘4. 상호작용’ 항 참조)
20) 운전 및 기계사용 능력에 대한 영향
이 약은 기계의 운전 및 사용 능력에 미미한 영향을 미친다. 피로 및 무력감과 같은 약물이상반응은 이 약과 관련이 있다. 그러므로 기기를 운전하거나 조작할 때 주의를 해야 한다.
4. 상호작용
1) 카보잔티닙에 대한 다른 의약품의 영향
(1) CYP3A4 저해제 및 유도제
건강인에게 강력한 CYP3A4 저해제인 케토코나졸(400mg/일, 27일간) 투여로 이 약의 청소율이 감소(29%)하고, 단일 용량의 혈장노출(AUC)이 38% 증가했다. 그러므로 강력한 CYP3A4 저해제(예: 리토나비어, 이트라코나졸, 에리스로마이신, 클래리스로마이신, 자몽주스)와 이 약의 병용 투여는 주의를 기울여야 한다.
강력한 CYP3A4 효소유도제인 리팜피신(600mg/일, 31일간)의 병용 투여로 이 약의 청소율이 4.3배 증가하고, 단일 용량의 이 약의 혈장노출(AUC)이 77% 감소했다. 그러므로 강력한 CYP3A4 유도제(예: 페니토인, 카르바마제핀, 리팜피신, 페노바르비탈 또는 St. John's wort (Hypericum perforatum))와 이 약의 병용 투여는 피해야 한다.
(2) 위 pH 조절제(Gastric pH modifying agents)
건강인에게 양성자 펌프 억제제(Proton Pump Inhibitor)인 에스오메프라졸(40mg/일, 6일간)과 이 약 100㎎을 병용 투여한 결과, 혈장 카보잔티닙 노출(AUC)에 임상적으로 유의한 영향을 미치지 않았다. 위 pH 조절제(즉, PPIs, H2 수용체 길항제 및 제산제)를 이 약과 병용 투여 시 투여량 조정은 필요하지 않다.
(3) MRP2(Multidrug resistance‑associate protein 2) 억제제
생체 외 에서 이 약이 MRP2의 기질이라는 것이 입증되었다. 따라서 MRP2 억제제의 투여는 이 약의 혈장농도를 증가시키는 결과가 나타날 수 있다.
(4) 담즙산 격리제(봉쇄제)(Bile salt‑sequestering agents)
콜레스티라민과 콜레스타겔(cholestagel)과 같은 담즙산 격리제는 이 약과 상호작용할 수 있으며, 잠재적으로 노출량이 감소하는 결과를 가져오고 흡수(또는 재흡수)에 영향을 줄 수 있다(10. 전문가를 위한 정보 중 2) 약동학적 특성 항 참조). 이러한 잠재적인 상호작용의 임상적 유의성은 알려져 있지 않다.
2) 카보잔티닙이 다른 의약품에 미치는 영향
경구 피임제의 약동학에 대한 이 약의 효과는 조사되지 않았다. 따라서 피임 효과를 보장할 수 없으므로, 차단 피임법과 같은 추가적인 피임법을 권장한다.
와파린의 약동학에 대한 카보잔티닙의 효과는 조사되지 않았다. 와파린과 상호작용이 있을 수 있다. 이 약과 와파린의 병용투여 시 INR 값을 모니터링하여야 한다.
(1) P‑당단백 (P‑glycoprotein) 기질
이 약은 MDCK‑MDR1 세포를 사용하는 양방향 분석시스템에서 P‑당단백(P‑gp) 수송활동의 저해제 (IC50 = 7.0μM)이나, 기질은 아니었다. 따라서 이 약은 P‑당단백(P‑gp)의 병용 투여된 기질의 혈장농도를 증가시킬 가능성이 있다. 이 약의 치료를 받는 동안 시험대상자는 P‑당단백(P‑gp) 기질(예: 펙소페나딘, 알리스키렌, 암브리센탄, 다비가트란 에텍실레이트, 디곡신, 콜키신, 마라비록, 포사코나졸, 라놀라진, 삭사글립틴, 시타글립틴, 탈리놀롤, 톨밥탄)의 투여에 대하여 주의해야 한다.
5. 임부 및 수유부에 대한 투여
1) 가임기 여성/남성과 여성의 피임
임신 가능성이 있는 여성은 이 약을 투여 받는 동안 임신을 피해야 하고, 이 약을 투여 중인 남성 환자의 여성 파트너 또한 임신을 피해야 한다. 효과적인 피임법은 남성 및 여성 환자와 파트너는 투여 중 또는 투약 종료 후 적어도 4개월 동안 사용하도록 조언하여야 한다. 경구 피임약은 “효과적인 피임법”으로 간주되지 않을 수 있기 때문에, 차단 피임법과 같은 다른 방법과 함께 사용되어야 한다(‘4. 상호작용’ 항 참조).
2) 임부
임신 여성에서 이 약의 사용에 대한 자료는 없다. 동물 실험에서 배아독성, 태아독성 및 기형유발 영향이 나타났다(10. 전문가를 위한 정보 중 3) 특수 환자군에서의 약동학 항 참조). 사람에 대한 잠재적 위험은 알려진 바가 없다. 임신 여성의 임상적 상태가 이 약의 치료를 필요로 하지 않는 한, 이 약은 임신 여성에게 투여되어서는 안 된다.
3) 수유부
카보잔티닙 및/또는 그 대사체가 모유로 배출되는지 여부는 알려진 바 없다. 영아에 대한 잠재적 위험으로 인해 수유부는 이 약의 투여 중 또는 완전히 투약을 종료한 후 적어도 4개월 동안은 모유 수유를 해서는 안 된다.
4) 생식능력
사람을 대상으로 한 생식능력에 관한 자료는 없다. 비임상 안전성 결과에 근거하여, 남성과 여성의 생식능력은 이 약의 투여로 인해 생식능력이 손상될 수 있다.(‘10. 전문가를 위한 정보’ 중 ‘3) 특수 환자군에서의 약동학’ 항 참조). 남성과 여성 모두 치료 전 생식능력 보전을 고려하고 조언을 구할 것이 권고되어진다.
6. 소아에 대한 투여
18세 미만의 소아에 대한 이 약의 안전성 및 유효성이 확립되지 않았다. 현재 이용 가능한 자료가 사용상의 주의사항 ‘10. 전문가를 위한 정보’ 참조에 설명되어 있지만, 제안 가능한 구체적인 권장용량은 없다.
7. 고령자에 대한 투여
65세 이상 고령자에서 이 약의 사용을 위한 구체적인 용량 조절은 필요하지 않다.
8. 과량 투여 시의 처치
이 약의 과량 투여에 대한 특별한 치료법은 없으며, 과량 투여로 발생할 수 있는 증상은 입증되지 않았다.
과량 투여 시, 이 약의 투약을 보류하고 보조적 치료를 실시해야 한다. 신진대사 임상실험 변수는 적어도 매주 또는 가능한 변화 추세를 평가하기 위해, 임상적으로 적절하다고 판단되는 경우 모니터링 해야 한다. 과량 투여 시, 약물이상반응은 증상에 따라 치료를 실시해야 한다.
9. 보관 및 취급상의 주의사항
1) 이 의약품은 특별한 보관 조건을 필요로 하지 않는다.
2) 어린이의 손에 닿지 않는 곳에 보관한다.
3) 다른 용기에 바꾸어 넣는 것은 사고원인이 되거나 품질유지 면에서 바람직하지 않으므로 주의한다.
10. 전문가를 위한 정보
1) 약력학적 특성
(1) 작용기전
카보잔티닙은 종양의 성장과 혈관 형성, 병리학적 골 재형성, 약물 내성 및 암의 전이성 진행에 관여하는 다중 수용체 티로신 키나제(RTKs)를 저해하는 저분자이다. 카보잔티닙은 다양한 키나아제를 저해하는 것으로 평가되며, 간세포 증식 인자 수용체(Hepatocyte growth factor receptor protein: MET) 및 혈관 내피 증식 인자(Vascular Endothelial Growth Factor: VEGF) 수용체의 저해제로 확인되었다. 또한 카보잔티닙은 GAS6 수용체(AXL), RET, ROS1, TYRO3, MER, 줄기 세포 인자 수용체(KIT), TRKB, Fms‑유사 티로신 키나제‑3(FLT3) 및 TIE‑2와 같은 티로신 키나제를 저해한다.
(2) 약력학적 효과
카보잔티닙은 광범위한 전임상 종양 모델에서 용량과 관련된 종양 성장억제, 종양 퇴행 또는 전이를 억제하는 것을 확인하였다.
(3) 심장 전기생리학
갑상선수질암 환자의 임상시험에서 이 약을 투여(140mg 1일 1회 용량) 후, 29일째(그러나 1일째는 아닌)에 10‑15ms의 Frindericia에 의해 수정된 QT 간격(QTcF)의 기준선으로부터 증가가 관찰되었다. 이 효과는 심장 파형의 형태 또는 새로운 리듬의 변화와 관련이 없었다. 이 시험에서 이 약을 투여 받은 환자 중 QTcF가 500ms를 초과하는 환자는 없었으며, 신장세포암(RCC), 간세포암(HCC) 및 신경 내분비 종양(NET) 시험에서 이 약을 투여 받은 환자(60mg의 용량)에서도 확인되지 않았다.
(4) 임상적 유효성 및 안전성
신장세포암
VEGF(vascular endothelial growth factor) 표적요법의 치료를 받은 적이 있는 신장세포암 환자에 대한 이 약의 안전성과 유효성은 무작위 배정, 공개, 다기관 제 3상 시험에서 평가되었다(METEOR).
이전에 적어도 1개의 기존 VEGFR TKI(VEGF 수용체 티로신 키나제 저해제)를 투여 받았던 투명 세포를 가진 진행성 신장세포암(RCC)의 환자(N=658)를 무작위(1:1) 배정하여 이 약(N=330) 또는 에베로리무스(N=328)를 투여하였다. 환자는 사이토카인 및 VEGF 표적요법 항체, 세포 사멸 수용체‑1(PD‑1) 또는 그것의 리간드를 포함하는 다른 선행 치료를 받을 수 있었다. 치료된 뇌전이 환자는 허용되었다. 무진행 생존율(PFS)은 눈가림된 방사선 검토 독립위원회(independent radiology review committee)에 의해 평가되었으며, 일차 분석은 무작위 배정된 첫 375명의 환자 중에서 실시되었다. 이차 유효성 평가 변수(secondary efficacy endpoints)는 객관적 반응률(ORR)과 전체 생존율(OS)이었다. 종양 평가는 처음 12개월 동안은 8주마다, 그 후에는 12주마다 실시되었다.
베이스라인 인구통계학적 특성과 질병 특성은 이 약과 에베로리무스 군에서 유사했다. 환자의 대다수는 남성(75%)이었고, 평균 나이는 62세였다. 71%는 이전에 VEGFR TKI를 한번만 투여받았고, 환자의 41%는 유일하게 이전에 VEGFR TKI 로서 수니티닙을 투여받았다. 메모리얼 슬로언 케터링 암 센터(Memorial Sloan Kettering Cancer Center)의 전조 위험 범주에 대한 기준에 따르면 46%가 양호(0 위험인자), 42%가 중간(1 위험인자), 13%가 부실(극도)(2 또는 3 위험인자)이었다. 환자의 54%가 폐(63%), 림프절(62%), 간(29%), 골(22%) 등 3군데 또는 그 이상의 장기에 전이성 질환이 있었다. 치료기간의 중간값(median duration)은 이 약을 투약한 환자들의 경우 7.6개월(0.3~20.5 범위), 에베로리무스를 투약한 환자의 경우에는 4.4개월(0.21~18.9 범위)이었다.
이 약의 PFS에서 통계적으로 유의한 개선은 에베로리무스와 비교하여 입증되었다(그림 1 및 표 3). OS의 계획된 중간 분석은 PFS 분석 시 수행되었으며, 통계적 유의성을 가지는 중간 경계치에 도달하지 못했다(HR = 0.68 [0.51, 0.90], p = 0.006). 차후의 계획되지 않은 OS 중간 분석에서 에베로리무스와 비교하여, 이 약에 무작위 배정 된 환자에서 통계적으로 유의한 개선이 입증되었다(중간기간 21.4개월 vs. 16.5개월; HR=0.66 [0.53, 0.83], p=0.0003; 그림 2). 430 사례의 추적관찰 분석으로 OS에 대한 유사한 결과가 관찰되었다.
ITT 집단의 PFS와 OS에 대한 탐색적 분석은 연령에 따른(<65 vs. ≧65, 성별, MSKCC 위험군(양호, 중간, 부실(극도)), 다른 하위 그룹에 걸쳐 에베로리무스와 비교하여 ECOG 상태(0 vs. 1), 진단에서 무작위 배정까지의 시간(<1년 vs. ≧1년), 종양 MET 상태(높음 vs. 낮음 vs. 알수없음), 골 전이(부재 vs. 존재), 내장전이(부재 vs. 존재), 내장 및 골전이(부재 vs. 존재), 이전 VEGFR‑TKIs의 수(1 vs. ≧2), 첫 VEGFR‑TKI의 지속기간(≦6개월 vs. >6개월)에서 이 약에 유리한 일관된 결과를 보였다.
객관적인 반응율 결과는 [표 4]에 요약되었다.
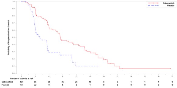
[그림 1] 방사선 검토 독립 위원회에 의한 무진행 생존(progression‑free survival)의 카플란마이어 곡선 (첫 무작위 배정된 375명)(Kaplan‑Meier curve)

[표 3] 방사선 검토 독립위원회에 의한 PFS 결과 요약(METEOR)
|
|
1차 PFS 분석군 |
|
평가변수 |
이 약 |
에베로리무스 |
|
|
N = 187 |
N = 188 |
|
중간값 PFS (95% CI),개월 |
7.4 (5.6, 9.1) |
3.8 (3.7, 5.4) |
|
HR (95% CI), p-값¹ |
0.58 (0.45, 0.74), p<0.0001 |
1 층화된 로그순위 검정(stratified log‑rank test)
[그림 2] 전체 생존의 카플란마이어 곡선(Kaplan‑Meier curve)(METEOR)

[표 4] 방사선 검토 독립위원회 검토 및 조사자 검토 당 ORR 결과 요약(METEOR)
|
|
일차 분석 ORR
배정된 대로 분석 대상군 (IRC) |
|
평가변수 |
카보메틱스 |
에베로리무스 |
|
|
N =330 |
N = 328 |
|
ORR (부분 반응만) (95% CI) |
17% (13%, 22%) |
3% (2%, 6%) |
|
p-값¹ |
p<0.0001 |
|
부분 반응 |
17% |
3% |
1 카이제곱검정(chi‑squared test)
카보잔티닙과 니볼루맙의 병용투여 대 수니티닙의 단일투여에 대한 무작위 배정 제 3상 임상시험 (CA2099ER)
진행성/전이성 신장세포암의 1차 치료를 위해 2주 마다 정맥투여되는 니볼루맙 240mg과 매일 경구 투여되는 카보잔티닙 40mg을 병용할 때 안전성 및 유효성은 무작위배정, 공개, 제 3상 임상시험 (CA2099ER)에서 평가되었다. 이 임상시험에는 Karnofsky Performance Status(KPS)가 70%를 초과하고, RECIST v1.1에 따라 측정 가능한 진행성 또는 전이성 신장 투명세포암 환자(18세 이상)가 PD‑L1 상태 또는 IMDC 위험 그룹과 관계없이 포함되었다. 이 임상시험에서 자가면역 질환 또는 전신면역 억제를 필요로 하는 기타 의학적 상태를 가진 환자, 항 PD‑1,항 PD‑L1, 항 PD‑L2, 항‑CD137 또는 항‑CTLA‑4 항체로 이전에 치료를 받은 환자, 항고혈압 치료 시에도 적절하게 조절되지 않는 고혈압 환자, 활동성 뇌 전이 환자 및 조절되지 않는 부신 기능 부전 환자를 제외했다. 환자는 IMDC 예후 점수, PD‑L1 종양 발현 및 지역별로 층화되었다.
총 651명의 환자를 무작위 배정하여 카보잔티닙 40mg(1일 1회 경구투여)과 니볼루맙 240mg(2주 마다 정맥투여)을 병용투여(n=323) 하거나 수니티닙 50mg(1일 1회 4주간 경구투여 후 2주간 휴약)을 단일투여(n=328)하였다. 치료는 최대 24개월 까지 니볼루맙 투여를 통해 질병이 진행되거나 허용할 수 없는 독성이 발생할 때까지 계속하였다. 연구자의 결정에 따라, 환자가 임상적 이익이 있고 시험약을 견딜 수 있는 경우, 초기 연구자가 평가한 RECIST v1.1로 정의된 진행 이상의 치료가 허용되었다. 기저치 이후 첫 번째 종양평가는 무작위배정 후 12주 (±7일) 에 수행했다. 후속 종양평가는 60주까지 6주 (±7일)마다, 그 다음 방사선 촬영까지 12주 (±7일)마다 수행했으며 독립 검토 위원회 (BICR)에서 확인되었다. 1차 유효성 결과는 BICR에 의해 결정된 PFS로 측정하였고, 추가 유효성 결과는 주요 2차 평가변수로 OS와 ORR이 포함되었다.
일반적으로 두 그룹간 기저치 특성은 유사했다. 평균 나이는 61세(28~90 범위)이며, 65세 이상이 38.4%, 75세 이상이 9.5%였다. 대부분의 환자는 남성(73.9%)이었고, 백인(81.9%)이었다. 아시아인은 환자의 8%였으며, 기저치 KPS가 70~80%, 90~100%인 환자의 비율은 각각 23.2%, 76.5%였다. IMDC 위험 카테고리 별로 환자의 22.6%가 양호, 57.6%가 중간, 19.7%가 부실로 분포되었다. 종양 PD‑L1 발현의 경우, PD‑L1 발현이 1% 미만이거나 불확실한 환자가 72.5%, PD‑L1 발현이 1% 이상인 환자가 24.9%였다. 육종 모양의 종양을 가진 환자는 11.5%였다. 치료기간의 중간값은 카보잔티닙과 니볼루맙을 병용투여한 경우 14.26개월 (0.2~27.3개월 범위) 이었고, 수니티닙 단일투여의 경우 9.23개월 (0.8~27.6개월 범위) 이었다.
수니티닙 단일투여와 비교하여 니볼루맙을 카보잔티닙과 병용하였을 때 무작위배정된 환자의 PFS, OS, ORR에서 통계적으로 유의한 이익이 관찰되었다. 1차 분석(최소 추적기간 10.6개월, 추적기간 중앙값 18.1개월)의 유효성 결과는 [표 5]에 요약되었다.
[표 5] 유효성 결과 (CA2099ER)
|
|
니볼루맙 + 카보잔티닙 (n=323) |
수니티닙 (n=328) |
|
BICR 당 무진행 생존(PFS) |
|
|
|
사례 |
144 (44.6%) |
191 (58.2%) |
|
위험비a |
0.51 |
|
95% CI |
(0.41, 0.64) |
|
p-값b, c |
< 0.0001 |
|
중간값 (95% CI)d |
16.59 (12.45, 24.94) |
8.31 (6.97, 9.69) |
|
전체 생존(OS) |
|
|
|
사례 |
67 (20.7%) |
99 (30.2%) |
|
위험비a |
0.60 |
|
98.89% CI |
(0.40, 0.89) |
|
p-값b, c, e |
0.0010 |
|
중간값 (95% CI) |
N.E. |
N.E. (22.6, N.E.) |
|
비율 (95% CI) |
|
|
|
6개월 시점 |
93.1 (89.7, 95.4) |
86.2 (81.9, 89.5) |
|
BICR 당 객관적 반응률(ORR)
(CR + PR) |
180 (55.7%) |
89 (27.1%) |
|
(95% CI)f |
(50.1, 61.2) |
(22.4, 32.3) |
|
ORR의 차이 (95% CI)g |
28.6 (21.7, 35.6) |
|
p-값h |
< 0.0001 |
|
완전 반응(Complete responses, CR) |
26 (8.0%) |
15 (4.6%) |
|
부분 반응(Partial responses, PR) |
154 (47.7%) |
74 (22.6%) |
|
안정 병변(Stable disease, SD) |
104 (32.2%) |
138 (42.1%) |
|
반응지속기간 중간값d |
|
|
|
개월(범위) |
20.17 (17.31, N.E.) |
11.47 (8.31, 18.43) |
|
반응까지의 시간 중간값 |
|
|
|
개월(범위) |
2.83 (1.0-19.4) |
4.17 (1.7-12.3) |
a 층화된 Cox 비례 위험 모델(Cox proportional hazard model). 위험률은 수니티닙 대비 니볼루맙과 카보잔티닙임
b 층화된 정규 로그‑순위 검정의 양측 p‑값
c IRT에 입력된 IMDC 예후 위험 점수(0, 1‑2, 3‑6), PD‑L1 종양 발현(≧1% 대 <1% 또는 불명확) 및 지역(미국/캐나다/서유럽/북유럽, 기타 지역)으로 층화된 로그‑순위 검정
d 카플란마이어(Kaplan‑Meier) 추정치 기준임
e 통계적 유의성 p‑값 <0.0111의 경계
f Clopper 및 Pearson 방법을 기반으로 한 CI
g DerSimonian 및 Laird를 기반으로 객관적 반응률(니볼루맙 + 카보잔티닙 – 수니티닙)의 조정된 차이
h CHM 검정의 양측 p‑값
NE = 추정 불가능
PFS의 1차 분석에는 후속 항암요법에 대한 민감도 분석이 포함되었다(표 5). 새로운 항암치료를 위한 검열 유무에 관계없이 PFS에서 일관된 결과를 보였다.
종양 PD‑L1 발현과 관계 없이 카보잔티닙과 니볼루맙의 병용투여군에서 수니티닙 단일투여군에 비해 PFS 이익이 관찰되었다. 종양 PD‑L1 발현이 1% 이상인 경우 PFS의 중간값은 카보잔티닙‑니볼루맙 병용투여군에서 13.08개월, 수니티닙 단일투여 군에서 4.67개월 이었다(HR=0.45; 95% CI: 0.29, 0.68). 종양 PD‑L1 발현이 1% 미만인 경우 PFS의 중간값은 카보잔티닙‑니볼루맙 병용투여군에서 19.84개월, 수니티닙 단일투여군에서 9.26개월 이었다(HR=0.50; 95% CI: 0.38, 0.65).
(IMDC) 위험 카테고리와 관계없이 카보잔티닙과 니볼루맙의 병용투여군에서 수니티닙 단일투여군에 비해 PFS 이익이 관찰되었다. 양호 위험그룹에서 PFS의 중간값은 카보잔티닙‑니볼루맙 병용투여군에서는 도달하지 않았고, 수니티닙 단일투여군에서 12.81개월 이었다(HR=0.60; 95% CI: 0.37, 0.98). 중간 위험그룹에서 PFS의 중간값은 카보잔티닙‑니볼루맙 병용투여군에서 17.71개월, 수니티닙 단일투여군에서 8.38개월 이었다(HR=0.54; 95% CI: 0.41, 0.73). 부실 위험그룹에서 카보잔티닙‑PFS 중간값은 니볼루맙 병용투여군에서 12.29개월, 수니티닙 단일투여군에서 4.21개월 이었다(HR=0.36; 95% CI: 0.23, 0.58).
업데이트 된 PFS와 OS 분석은 모든 환자의 최소 추적기간 16개월, 중간 추적기간 23.5개월인 시점에 수행되었다(그림 3 및 그림 4). PFS 위험비는 0.52 (95% CI: 0.43, 0.64)이며, OS 위험비는 0.66 (95% CI: 0.50, 0.87)이었다. IMDC 위험 카테고리 및 PD‑L1 발현 수준에 따라 업데이트 된 하위그룹 유효성 데이터(PFS, OS)로 기존의 결과를 확인했다. 업데이트 된 분석을 통해 양호 위험그룹에서 PFS 중간값에 도달했다.
[그림 3] PFS의 카플란마이어 곡선(Kaplan‑Meier) (CA2099ER)

[그림 4] OS의 카플란마이어 곡선(Kaplan‑Meier) (CA2099ER)

간세포암에서의 임상자료
이 약의 안전성과 유효성은 무작위 배정, 이중눈가림, 위약‑대조 제3상 시험(CELESTIAL)에서 평가되었다. 이전에 소라페닙 및 Child Pugh A 를 투여 받았던 진행성 간세포암(HCC) 환자(N=707)를 무작위(2:1) 배정하여 이 약(N=470) 또는 위약(N=237)를 투여하였다. 환자는 하나의 다른 선행 전신요법을 받을 수 있었다. 일차 유효성 평가변수는 전체 생존율(OS)이었다. 이차 유효성 평가변수는 고형 종양의 반응 평가 기준(Response Evaluation Criteria in Solid Tumours, RECIST 1.1.)을 사용하여 시험자가 평가한 무진행 생존율(PFS)과 객관적 반응률(ORR)이었다. 종양 평가는 8주마다 실시되었다.
베이스라인 인구통계학적 특성과 질병 특성은 이 약과 위약 군에서 유사했다. 환자의 대다수는 남성(82%)이었고, 평균 나이는 64세였다. 환자의 대다수(56%)는 백인이었고 34%는 아시아인 이었다. 환자의 53%는 ECOG 활동 상태 0 이었고, 47%는 ECOG 활동 상태 1 이었다. 거의 모든 환자(99%)는 Child Pugh A 이었고, 1%는 Child Pugh B였다. HCC의 원인은 B형 간염 바이러스(HBV) 38%, C형 간염 바이러스(HCV) 21%, 기타(HBV 또는 HCV가 아닌) 40% 였다. 환자의 78 %에서 거대 혈관 침윤 또는 간 종양 전이가 나타났으며, 환자의 41 %에서 알파태아단백(alfa‑fetoprotein, AFP) 400‑㎍/L 이상을 나타내었다. 환자의 44%는 국소부위 경동맥 색전술 또는 화학요법으로 치료받았으며, 37%는 카보잔티닙 치료 전에 방사선 치료를 받았다. 소라페닙 치료기간의 중간값은 5.32개월 이었다. 환자의 72 %가 이전의 전신 요법 1회를 받았으며, 27%는 2회를 받았다. 이 약은 위약과 비교하여 OS에서 통계적으로 유의한 개선이 입증되었다(표 6 및 그림 5).
무진행 생존율 및 객관적 반응율의 결과는 [표 6]에 나타내었다.
[표 6] 간세포암(HCC) 임상시험에서의 유효성 결과(ITT(Intent‑To‑Treat) 집단, CELESTIAL)
|
|
카보메틱스
(N=470) |
위약
(N=237) |
|
전체 생존(OS) |
|
OS 기간(개월)의 중간값 (95% 신뢰구간) |
10.2 (9.1, 12.0) |
8.0 (6.8, 9.4) |
|
위험률 (95% 신뢰구간)1,2 |
0.76 (0.63, 0.92) |
|
p-값1 |
p=0.0049 |
|
무진행 생존(PFS)3 |
|
PFS 기간(개월)의 중간값 (95% 신뢰구간) |
5.2 (4.0, 5.5) |
1.9 (1.9, 1.9) |
|
위험률 (95% 신뢰구간)1 |
0.44 (0.36, 0.52) |
|
p-값1 |
p<0.0001 |
|
객관적 반응률(Objective Response Rate, ORR) n (%)3 |
|
완전 반응(Complete responses, CR) |
0 |
0 |
|
부분 반응(Partial responses, PR) |
18 (4) |
1 (0.4) |
|
객관적 반응률 (CR +PR) |
18 (4) |
1 (0.4) |
|
p-값1,4 |
p=0.0086 |
|
안정 병변(Stable disease) |
282 (60) |
78 (33) |
|
진행 병변(Progressive Disease) |
98 (21) |
131 (55) |
1 층화 인자(IVRS 데이터 별)인 간외 전이(확산) 및/또는 거대 혈관 침윤의 존재(예, 아니오) 및 병인 또는 지리적 영역으로 층화된 로그‑순위 검정
2 Cox 비례‑위험 모형(Cox proportional‑hazard model) 추정
3 RECIST 1.1에 따라 시험자 평가
4 층화된 코크란‑멘텔‑헨젤(Cochran‑Mantel‑Haenszel, CMH) 검정
[그림 5] 간세포암 임상시험(CELESTIAL)에서, 전체 생존의 카플란마이어 곡선(Kaplan‑Meier curve)

[그림 6] 간세포암 임상시험(CELESTIAL)에서, 무진행 생존의 카플란마이어 곡선(Kaplan‑Meier curve)

분화갑상선암에서(DTC)의 임상자료
이전에 전신 요법 치료를 받은 적이 있고 방사성 요오드 요법(RAI)에 적합하지 않거나 또는 불응한 성인 환자를 대상으로 한 위약대조 시험(COSMIC‑311)
이전에 최대 2가지 VEGFR 표적 요법(렌바티닙 또는 소라페닙을 포함하되 이에 국한되지 않음)후에 진행되었으며, 방사성 요오드 요법에 적합하지 않거나 불응한, 국소 진행성 또는 전이성 분화갑상선암 성인 환자를 대상으로 카보잔티닙의 안전성과 유효성은 무작위(2:1) 배정, 이중눈가림, 위약대조, 다기관 임상 시험(COSMIC‑311)에서 평가되었다.
VEGFR 표적 TKI로 치료하는 동안 또는 이후에 RECIST 1.1에 따라 측정 가능한 질병 및 문서화된 방사선학적 진행이 있는 환자가 무작위 배정(N=258)되었고, 이 약 60 mg(N=170) 또는 위약(N=88)을 1일 1회 경구 투여하였다.
무작위 배정은 이전에 렌바티닙 치료여부 및 연령(65세 이상 vs 65세 미만)으로 층화하였다. 위약으로 무작위 배정받은 환자는 눈가림된 독립적인 방사선 검토 독립위원회(independent radiology review committee, BIRC)에 의해 진행성 질환이 확인된 경우, 카보잔티닙으로 교차가 허용되었다.
치료는 환자들이 임상적 이익이 있거나 허용할 수 없는 독성이 발생할 때까지 계속되었다. 일차 유효성 평가변수는 RECIST 1.1에 따라 BIRC에 의해 평가된 ITT 집단의 무진행 생존률(PFS) 및 무작위 배정된 첫 100명 환자의 객관적 반응률(ORR)이었다. 종양 평가는 처음 12개월 동안은 무작위 배정 후 8주마다, 그 후로는 12주마다 수행되었으며, 추가 평가변수는 전체 생존율(OS) 이었다.
무진행 생존률(PFS)의 1차 분석에는 무작위 배정된 환자 187명(카보잔티닙 투여 125명, 위약 투여 62명)이 포함되었다, 베이스라인 인구 통계학적 특성과 및 질병 특성은 일반적으로 두 그룹 모두 유사했다 . 중위 연령(median age)은 66세(32~85 범위)였으며, 51%가 65세 이상, 13%가 75세 이상이였다. 대부분의 환자는 백인(70%)이었으며 환자의 18%는 아시아인, 55%는 여성이었다. 조직학적으로 55%는 갑상선 유두암 진단을 받았으며, 48%는 여포성 갑상선암이었으며 이 중 17%는 휘틀세포 갑상선암환자였다. 환자의 95%에서 전이가 있었다.(폐 68%, 림프절 67%, 뼈 29%, 흉막 18%, 간 15%) 5명의 환자가 부적격으로 인해 이전에 RAI 치료를 받지 못했으며, 환자의 63%는 이전에 렌바티닙 투여받았고, 환자의 60%는 이전에 소라페닙을 투여받았으며, 환자의 23%는 이전에 소라페닙과 렌바티닙을 모두 투여받았다.. 베이스라인 ECOG 활동 상태는 0 (48 %) 또는 1(52%)이었다. 치료기간의 중간값(median duration)은 카보잔티닙 투여군에서 4.4개월, 위약투여군에서 2.3개월이었다.
일차 분석 결과(컷 오프 데이트 2020년 8월 19일 및 PFS에 대한 추적기간 중앙값 6.2개월)와 업데이트 된 분석(컷 오프 데이트 2021년 2월 8일 및 PFS에 대한 추적기간 중앙값 10.1개월)은 [표 7]에 나타내었다. 위약 투여(n=33) 와 비교하여 카보잔티닙 단일투여(n=67)로 무작위 배정된 환자의 ORR에서 통계적으로 유의한 개선을 입증하지 못하였다. (15% vs 0%). 위약 투여(n=62)와 비교하여 카보잔티닙 단일투여(n=125)로 무작위 배정된 환자의 PFS(추적기간 중앙값 6.2개월)에서 통계적으로 유의한 개선이 입증되었다..
PFS와 OS의 업데이트된 분석(추적기간 중앙값 10.1개월)은 무작위 배정된 환자 258명(카보잔티닙 투여 170명, 위약 투여 88명)을 포함하여 수행되었다. 질병 진행이 확인된 위약 치료 환자는 카보잔티닙으로 교차가 허용되었기 때문에 전체 생존률 분석은 교란되었다.
[표 7]: 분화갑상선암 임상시험(COSMIC‑311) 유효성 결과
|
|
일차 분석1 (ITT) |
업데이트 된 분석2 (Full ITT) |
|
|
카보메틱스정
(n=125) |
위약
(n=62) |
카보메틱스정
(n=170) |
위약
(n=88) |
|
무진행 생존률(PFS)* |
|
사례(%) |
31 (25) |
43 (69) |
62 (36) |
69 (78) |
|
진행성 질환 |
25 (20) |
41 (66) |
50 (29) |
65 (74) |
|
사망 |
6 (4.8) |
2 (3.2) |
12 (7.1) |
4 (4.5) |
|
월별 중간값 PFS
(96% CI) |
NE (5.7, NE) |
1.9 (1.8, 3.6) |
11.0 (7.4, 13.8) |
1.9 (1.9, 3.7) |
|
위험비 (96% CI)3 |
0.22 (0.13, 0.36) |
0.22 (0.15, 0.32) |
|
p-값4 |
< 0.0001 |
|
|
전체 생존(OS) |
|
사례 n(%) |
17 (14) |
14 (23) |
37 (22) |
21 (24) |
|
위험비 (95% CI)3 |
0.54 (0.27, 1.11) |
0.76 (0.45, 1.31) |
|
|
일차 분석1 |
|
객관적 반응률(ORR)5 |
|
|
카보메틱스정
(n=67) |
위약
(n=33) |
|
전체 반응 (%) |
10 (15) |
0 (0) |
|
완전 반응 |
0 |
0 |
|
부분 반응 |
10 (15) |
0 |
|
안정 병변 |
46 (69) |
14 (42) |
|
진행성 질환 |
4 (6) |
18 (55) |
* PFS의 1차 분석에는 새로운 항암치료를 위한 검열이 포함되었다. 새로운 항암치료를 위한 검열 유무에 관계없이 PFS에서 일관된 결과를 보였다.
CI, 신뢰구간 ; NE, 평가 불가능
1 일차 분석 컷 오프 데이트는 2020년 8월 19일이다..
2 이차 분석 컷 오프 데이트는 2021년 2월 8일.
3 콕스 비례‑위험 모형(Cox proportional‑hazard model) 추정치 기준임.
4 이전에 렌바티닙 처방(receipt) (예 vs 아니요)및 연령(65세 이하 vs 65 세 초과)으로 층화(IxRS 데이터에 따라)된 로그 순위 검정
5 추적기간 중앙값 8.9개월 연구에 포함된 첫 100명(CABOMETYX 투여 환자 67명, 위약 투여 환자 33명)환자를 기준으로 한다. ORR에서 통계적으로 유의한 개선은 관찰되지 않았다.
[그림 7]: PFS의 카플란마이어 곡선 (Kaplan‑Meier) (업데이트된 분석 [컷 오프 데이트 : 2021 2월 8일], 환자수(N) = 258) (COSMIC‑311)

신경 내분비 암종(NETs)
이전에 치료를 받은 후 진행된 국소 진행성 또는 전이성 pNET 및 epNET 성인 환자에 대한 위약 대조 연구(CABINET)
이 약의 안전성 및 유효성은 이전에 승인된 치료를 받은 후 진행된 국소 진행성 또는 분화된 전이성 pNET(카보잔티닙: N=64; 위 약: N=31) 및 epNET(카보잔티닙: N=134; 위 약: N=69) 성인 환자에 대한 다기관, 무작위 배정(2:1), 이중 눈가림, 위약 대조 제 3상 시험(CABINET)에서 평가되었다.
epNET 및 pNET 환자는 무작위로 배정되어 독립적으로 분석된 두 개의 별도 코호트로 배정되었다.
환자는 질병 진행, 허용할 수 없는 독성 또는 동의 철회가 있을 때까지 눈가림 연구 치료를 계속하였다. 위약으로 무작위 배정된 적격 환자는 실시간 중앙 검토를 통해 진행성 질병이 확인되면 공개 라벨 카보잔티닙으로 교차할 수 있었다. 1차 유효성 결과 측정은 BIRC가 고형 종양의 반응 평가 기준(RECIST) 1.1을 사용하여 평가한 ITT 집단의 무진행 생존율(PFS)이었고, 무작위 배정 시 층화 인자는 다음과 같다.
▪ epNET: 병용 소마토스타틴 유사체(SSA) 및 원발 종양 부위(중장 GI/알려지지 않은 vs. 비중장 GI/폐/기타)
▪ pNET: 병용 소마토스타틴 유사체(SSA) 및 이전 수니티닙
종양 평가는 연구 치료 시작 후 12주마다 질병이 진행될 때까지 실시하였다. 전체 생존율(OS)은 2차 평가변수였다.
epNET 코호트:
대부분의 환자, 51.7%는 여성이었으며, 중위 연령은 66세였다. 대부분의 환자, 83.7%는 백인이었다. 또한, 환자의 39.9%는 ECOG 수행 능력 상태가 0인 반면 59.1%는 수행 능력 상태가 1이었다. 원발 종양 부위는 가장 흔하게 소장(32.5%)이었고, 그 다음으로 폐(19.2%), 기타(17.2%), 알려지지 않은 부위(11.8%)였다. 대부분의 환자인 53.7%에서 비‑기능성 종양을 가지고 있었으며, 32.5%에서 기능성 종양을 가지고 있었다. 환자의 13.8%는 기능적 상태를 알 수 없었다. 가장 흔한 종양 등급은 2등급으로 환자의 66%에서 관찰되었고 1등급은 환자의 25.6%에서 관찰되었다. 대부분의 환자 69%는 SSA를 동시에 사용하였고 92.6%는 이전에 SSA를 사용하였다. 환자의 45.3%는 이전에 단 한 번의 치료를 받았다. 조직학적 분화와 관련하여, 대부분의 종양 93.6%은 잘 분화되었고, 6.4%는 지정되지 않았으며, 어느 것도 잘 분화되지 않았다. 가장 흔한 전이 부위는 간으로 89.7%가 영향을 받았고, 림프절은 70%, 뼈는 49.3%, 기타 부위는 35%, 폐는 21.2%가 영향을 받았다.
[표 8] CABINET 연구의 epNET 코호트에서 유효성 결과
|
평가 변수 |
이 약
(N=134) |
위약
(N=69) |
|
무진행 생존률(PFS) |
|
사례 수, n(%) |
71(35) |
40(58) |
|
입증된 진행성, n(%) |
53(40) |
35(51) |
|
사망, n(%) |
18(13) |
5(7.2) |
|
월별 중간값 PFS1(95% CI) |
8.5(7.5, 12.5) |
4.0(3.0, 5.7) |
|
위험비2(95% CI) |
0.38(0.25, 0.58) |
|
p -값3 |
< 0.0001 |
두 군 모두 추적 관찰 기간의 중간값은 23개월이었다. 컷오프 일자 2023년 8월 24일에 BIRC의 진행 및 반응 평가이다.
1 카플란‑마이어 추정치에 따름
2 Cox 비례‑위험 모델을 사용하여 추정
3 병용 소마토스타틴 유사체 사용(예 vs. 아니오) 및 원발 종양 부위(중장 GI/알려지지 않은 vs. 비‑중장 GI/폐/기타)에 따라 계층화된 로그 순위 검정
[그림 8] epNET; BIRC에 의한 PFS의 카플란마이어(Kaplan‑Meier) 곡선 (컷 오프 데이트 : 2023년 8월 24일, 환자수(N) = 203)

2024년 9월 데이터 마감 시점으로 기준으로 탐색적 OS 분석 결과, 126건의 OS 사건이 발생하여, 카보잔티닙군의 중앙 OS는 21.95개월, 위약군의 중앙 OS는 22.47개월이었고, 위험 비율(HR)은 1.04(95% CI: 0.71, 1.52)였다. 분석 시점에 위약에서 카보잔티닙으로 교차투여한 환자는 28명(41%)였다.
pNET 코호트:
대부분의 환자, 57.9%는 남성이었으며, 카보잔티닙군의 중위 연령은 59.5세였고 위약군의 중위 연령은 64세였다. 대부분의 환자, 83.2%는 백인이었다. 또한 환자의 52.6%는 ECOG 수행 능력 상태가 0이었고 46.3%는 수행 능력 상태가 1이었다.
대부분의 환자, 73.7%는 비‑기능성 종양을 가지고 있었으며, 16.8%는 기능성 종양을 가지고 있었다. 환자의 9.5%는 기능적 상태를 알 수 없었다. 가장 흔한 종양 등급은 2등급으로 환자의 61.1%에서 관찰되었고, 1등급은 환자의 22.1%에서 관찰되었고, 3등급은 환자의 11.6%에서 관찰되었으며, 환자의 5.3%에서는 알 수 없었다. 대부분의 환자 54.7%는 SSA를 동시에 사용하였고, 97.9%는 이전에 SSA를 사용하였다. 환자의 28.4%는 이전에 단 한 번의 치료를 받았다. 조직학적 분화와 관련하여 대부분의 종양 97.9%는 잘 분화되었고, 2.1%는 지정되지 않았으며 어느 것도 제대로 분화되지 않았다. 가장 흔한 전이 부위는 간으로, 96.8%가 영향을 받았고, 림프절은 48.4%, 뼈는 27.4%, 기타 부위는 13.7%에서 영향을 받았다.
[표 9] CABINET 연구의 pNET 코호트에서 유효성 결과
|
평가 변수 |
이 약
(N=64) |
위약
(N=31) |
|
무진행 생존률(PFS) |
|
사례 수, n(%) |
32(50) |
25(81) |
|
입증된 진행성, n(%) |
25(39) |
21(68) |
|
사망, n(%) |
7(11) |
4(13) |
|
월별 중간값 PFS1(95% CI) |
13.8(8.9, 17.0) |
4.5(3.0, 5.8) |
|
위험비2(95% CI) |
0.23(0.12, 0.42) |
|
p -값3 |
< 0.0001 |
추적 관찰 기간의 중간값은 카보잔티닙군 23개월 및 위약군 25개월이었다. 컷오프 일자 2023년 8월 24일에 BIRC의 진행 및 반응 평가이다.
1 카플란‑마이어 추정치에 따름
2 Cox 비례‑위험 모델을 사용하여 추정
3 병용 소마토스타틴 유사체 사용(예 vs. 아니오) 및 원발 종양 부위(중장 GI/알려지지 않은 vs. 비‑중장 GI/폐/기타)에 따라 계층화된 로그 순위 검정
[그림 9] pNET; BIRC에 의한 PFS의 카플란마이어(Kaplan‑Meier) 곡선 (컷 오프 데이트 : 2023년 8월 24일, 환자수(N) = 95)

2024년 9월 데이터 마감 시점을 기준으로 탐색적 OS 분석 결과, 46건의 OS 사건이 발생하여 OS의 카플란‑마이어 추정치 중간값은 카보잔티닙군에서 40.08개월, 위약군에서 31.11개월이었고, 위험 비율(HR)은 1.11(0.59, 2.09)였다. 분석 시점에 위약에서 카보잔티닙으로 교차투여한 환자는 14명(45%)였다.
2) 약동학적 특성
(1) 흡수
이 약의 경구 투여 후, 카보잔티닙의 혈장농도는 투여 후 3~4시간 후에 최고에 도달한다. 혈장‑농도 시간 프로파일은 투여 후 약 24시간 후에 두 번째 최고 혈장농도를 나타내며, 이는 카보잔티닙이 장간 재순환(enterohepatic recirculation)을 거칠 수 있음을 암시한다.카보잔티닙 140mg을 19일간 반복 투여한 결과, 단회 투여에 비교하여 평균 약 4~5배의 카보잔티닙(AUC 기준)이 축적되었고, 정상 상태는 약 15일째에 도달한다.
고지방 식사는 경구용 카보잔티닙 140mg을 단일 투여한 건강인의 공복 상태와 비교하여 Cmax와 AUC값(각각 41%와 57%)을 증가시켰다. 이 약의 투여 1시간 후에 정확한 음식 섭취의 효과에 대한 정보는 없다.
(2) 분포
카보잔티닙은 생체외 시험(in vitro)에서 사람 혈장 단백질에 높은 결합력(≧99.7%)을 보였다. 집단‑약동학(population pharmacokinetic; PK) 모델에 근거하여, 분포용적(Vz)은 약 319L(SE: ±2.7%)이다. 경증 또는 중등도의 신장애나 간장애를 가진 환자는 단백질 결합력이 변경되지 않았다.
(3) 생체 내 변화
카보잔티닙은 체내에서 대사된다. 4 개 대사체는 모체의 10% 이상의 노출(AUC)로 혈장에 존재한다;XL184‑N‑옥사이드, XL184 아미드 분해산물, XL184 모노하이드록시 설페이트(monohydroxy sulfate) 및 6‑데스메틸 아미드 분해산물. 모체 카보잔티닙의 표적인 키나아제 저해효능이 1% 미만인 2개의 비결합 대사체(XL184‑N‑옥사이드 및 XL184 아미드 분해산물)는 총 혈장 노출의 10% 미만이다.
카보잔티닙은 생체외 시험(in vitro)에서 CYP3A4 대사 기질이며, CYP3A4에 대한 중화 항체로서, NADPH에 의해 촉매 반응된 사람의 간 마이크로솜(HLM) 배양기에서 대사체인 XL184 N‑옥사이드의 형성을 80% 이상 저해했다; 대조적으로, CYP1A2, CYP2A6, CYP2B6, CYP2C8, CYP2C19, CYP2D6, CYP2E1에 대한 중화항체는 이 약의 대사체 형성에 영향을 미치지 않았다. CYP2C9에 대한 중화 항체는 이 약의 대사체 형성에 최소한의 영향을 나타냈다(즉, <20% 감소).
(4) 소실
60mg, 40mg, 20mg를 경구 투여 후에, 신장세포암(RCC) 환자 318명과 건강인 63명으로부터 수집된 자료를 사용한 카보잔티닙의 모집단 PK분석에서, 이 약의 혈장 최종 반감기(terminal half‑life)는 약 99시간이었다. 정상 상태에서의 평균 청소율(CL/F)은 2.2L/hr로 추정되었다. 건강한 시험대상자에게 14C‑카보잔티닙의 단일 투여 후 48일간의 수집기간 동안, 투여된 총 방사능량의 약 81%가 회수되었고, 대변에서 54% 및 소변에서 27%가 회수되었다.
3) 특수 환자군에서의 약동학
(1) 신장애
신장애 환자를 대상으로 한 시험 결과, 정상 신장기능을 가진 사람과 비교하여 총 혈장 카보잔티닙에 대한 기하학적 LS 평균 비율은 경증 신장애 환자에서 Cmax 및 AUC0‑inf가 19% 및 30% 더 높았으며(Cmax 91.60%의 90%CI에서 155.51%; AUC0‑inf 98.79%에서 171.26%), 중등도의 신장애 시험대상자의 경우 2%와 6‑7% 더 높았다(Cmax78.64%의 90%CI에서 133.52%; AUC0‑inf 79.61%에서 140.11%). 정상 신장기능을 가진 사람과 비교하여 결합되지 않은 혈장 카보잔티닙에 대한 기하학적 LS 평균 비율은 경증 신장애 환자에서 AUC0‑inf가 0.2% 더 높았으며(90% CI 55.9~180%), 중등증의 신장애 환자에서 17% 더 높았다(90% CI 65.1~209.7%). 중증의 신장애 환자는 아직 연구되지 않았다.
(2) 간장애
건강인과 암 환자(간세포암 포함)의 통합 집단에서 카보잔티닙 약동학 분석 결과, NCI‑ODWG (National Cancer Institute – Organ Dysfunction working Group) 기준에 따른 정상 간 기능을 가진 대상자(n=1425)와 경증(n=558) 및 중등증(n=15) 간장애 환자에서의 카보잔티닙 평균 혈장 노출은 임상적으로 유의한 차이를 보이지 않았다. 중증 간장애 환자들에서 카보잔티닙의 약동학은 평가하지 않았다.
(3) 소아
다양한 유형의 악성 종양을 가진 성인 환자뿐만 아니라 건강인을 대상으로 개발된 집단 약동학 모델로 수행한 시뮬레이션에서 얻은 데이터는 12세 이상의 청소년 환자에서, 40kg 미만의 환자에게 이 약 40mg 을 1일 1회 투여하거나 40kg 이상의 환자에게 이 약 60mg을 1일 1회 투여하였을 때, 이 약 60mg을 1일 1회 투여한 성인과 유사한 혈장 노출을 초래하였다.(용법∙용량 참조).
4) 비임상 안전성 자료
임상시험에서는 관찰되지 않았으나 임상 노출 수준과 유사하고 임상적 사용과의 관련성이 있는 노출 수준에서 동물에서 관찰된 이상 반응은 다음과 같았다.
랫드 및 개에서 실시한 6 개월 반복투여 독성시험에서 표적 장기는 위장관, 골수, 림프 조직, 신장, 부신 및 생식관 조직이었다. 이 결과에 대한 무독성용량(NOAEL, No Observed Adverse Effect Level)은 의도된 치료 용량의 임상 노출 수준보다 낮았다.
카보잔티닙은 표준 유전독성시험에서 돌연변이 또는 염색체이상은 확인되지 않았다. rasH2 마우스에서 의도된 치료 용량의 임상 노출 수준보다 약간 더 높은 노출에서 발암성은 없었다.
랫드의 생식능력 연구 결과 수컷과 암컷에서 생식능력의 감소를 나타냈다. 또한, 수컷 개의 연구 결과 의도된 치료 용량의 임상 노출 수준 이하의 노출 수준에서 정자형성저하증 (hypospermatogenesis)이 관찰되었다.
배아‑태아의 발육 연구는 랫드와 토끼에서 수행되었다. 랫드에서, 카보잔티닙은 이식 후 손실, 태아 부종(foetal oedema), 구개열/구순열(cleft palate/lip), 피부 무형성(dermal aplasia), 비틀린 또는 미성숙한 꼬리를 유발하였다. 토끼에서는 이 약이 태아의 연조직 변화(비장 크기 감소, 중간 폐엽이 작거나 결손) 및 총 기형의 태아 발병 증가를 보였다. 배아독성, 태아독성 및 기형유발 결과에 대한 NOAEL은 의도된 치료 용량의 임상 노출 수준보다 낮았다.
카보잔티닙을 투여 한 어린 랫드(2세 이상 소아군과 비교)는 WBC 증가, 조혈감소, 사춘기/미성숙한(pubescent/immature) 여성 생식계(질개구 발달 지연 없음), 치아이상, 골 무기질 및 골밀도 감소, 간 색소침착 및 림프절 림프 증식증을 보였다. 자궁/난소에서의 결과 및 조혈감소가 일시적으로 보였으나 골 매개변수(parameter) 및 간 색소침착에 대한 영향은 지속되었다. 어린 랫드(2세 이하 소아군과 관련이 있는)는 수컷 생식 기관의 추가 소견(고환 내 정세관의 퇴화 및/또는 위축, 부고환의 내강 정자 감소)과 함께 유사한 치료 관련 결과를 보였으며, 유사한 투여량 수준에서 이 약과 관련된 독성에 더 민감한 것으로 나타났다.