1. 다음 환자에는 투여하지 말 것
1) 이 약의 주성분, 땅콩 또는 콩류, 또는 이 약의 구성성분에 과민반응이 있는 환자
2) 임부 및 수유부
3) 중등도(Child Pugh B) 및 중증(Child Pugh C)의 간장애 환자
2. 다음 환자에는 신중히 투여할 것
1) 설사, 구역, 구토 등의 위장장애 환자(용법◦용량 참조)
2) 출혈의 유전적 소인이 있는 환자나 항응고제를 최고 용량으로 투여 받고 있는 환자
3) 동맥혈전색전증 환자(일반적주의 참조)
4) 정맥혈전색전증 환자
5) 위장천공 환자 및 최근 복부 수술을 한 경험이 있는 환자
6) 수술 전후(이 약 투여 시 상처회복장애를 가져올 수 있다.)
7) 고혈압 환자(이 약 투여 시 혈압이 상승할 수 있다.)
8) QT 간격 지연 환자
3. 이상반응
이 약은 특발성페섬유증 환자 1,529명, 진행성 표현형을 나타내는 만성 섬유성 간질성폐질환 환자 663명과 전신경화증 연관 간질성폐질환 환자 576명을 대상으로 임상시험이 실시되었다. 아래 표에 기술된 안전성 정보는 이 약 150mg을 1일 2회 투여군과 위약 투여군을 52주간 관찰한 2개의 무작위배정, 이중눈가림, 위약대조 임상3상 시험(INPULSIS ‑1과 INPULSIS ‑2)에서의 특발성폐섬유증 환자 1,061명, 1개의 무작위배정, 이중눈가림, 위약대조 임상 3상시험(INBUILD)에서의 진행성 표현형을 나타내는 만성 섬유성 간질성폐질환 환자 663명과 1개의 무작위배정, 이중눈가림, 위약대조 임상3상 시험(SENSCIS)에서의 전신경화증 연관 간질성폐질환 환자 576명에 대하여 조사된 정보이다.
이 약 투여와 관련하여 임상시험에서 가장 빈번하게 보고된 이상반응은 설사, 구역 및 구토, 복통, 식욕감소, 체중감소 및 간효소 상승이었다.
이 약을 투여 받은 1,258명의 환자에서 보고된 약물이상반응은 다음과 같다. 이상반응의 발현 빈도는 다음과 같이 정의된다. 매우 흔하게( ≧1/10), 흔하게( ≧1/100, <1/10), 흔하지 않게( ≧1/1,000, <1/100), 드물게( ≧1/10,000, <1/1,000), 매우 드물게(<1/10,000), 알려지지 않음(현재 입수가능한 자료로서는 분석 불가)
표1. 약물이상반응 분류와 빈도
|
기관계 분류 및 이상반응 |
발생빈도 |
|
특발성폐섬유증 |
진행성 표현형을 나타내는 만성 섬유성 간질성폐질환 |
전신경화증 연관 간질성폐질환 |
|
각종 위장관 장애 |
|
설사 |
매우 흔하게 |
매우 흔하게 |
매우 흔하게 |
|
구토 |
흔하게 |
매우 흔하게 |
매우 흔하게 |
|
구역 |
매우 흔하게 |
매우 흔하게 |
매우 흔하게 |
|
복통 |
매우 흔하게 |
매우 흔하게 |
매우 흔하게 |
|
췌장염 |
흔하지 않게 |
흔하지 않게 |
알려지지 않음 |
|
간담도 장애 |
|
약물에 의한 간 손상 |
흔하지 않게 |
흔하게 |
흔하지 않게 |
|
간효소 상승 |
매우 흔하게 |
매우 흔하게 |
매우 흔하게 |
|
알라닌아미노기전이효소(ALT) 상승 |
흔하게 |
매우 흔하게 |
흔하게 |
|
아스파르트산아미노기전이효소(AST) 상승 |
흔하게 |
흔하게 |
흔하게 |
|
알칼리성인산분해효소(ALKP) 상승 |
흔하지 않게 |
흔하게 |
흔하게 |
|
감마글루타밀전이효소(GGT) 상승 |
흔하게 |
흔하게 |
흔하게 |
|
고빌리루빈혈증 |
흔하지 않게 |
흔하지 않게 |
알려지지 않음 |
|
각종 혈관 장애 |
|
고혈압 |
흔하지 않게 |
흔하게 |
흔하게 |
|
출혈 |
흔하게 |
흔하게 |
흔하게 |
|
혈액 및 림프계 장애 |
|
혈소판감소증 |
흔하지 않게 |
흔하지 않게 |
흔하지 않게 |
|
대사 및 영양 장애 |
|
식욕 감소 |
흔하게 |
매우 흔하게 |
흔하게 |
|
체중 감소 |
흔하게 |
흔하게 |
흔하게 |
|
피부 및 피하 조직 장애 |
|
탈모 |
흔하지 않게 |
흔하지 않게 |
알려지지 않음 |
|
각종 신경계 장애 |
|
두통 |
흔하게 |
흔하게 |
흔하게 |
|
신장 및 요로 장애 |
|
단백뇨 |
흔하지 않게 |
흔하지 않게 |
알려지지 않음 |
위 이상반응 외에 SENSCIS 임상시험에서 5% 이상 발생하고 위약 대비 더 흔하게 발생한 이상반응은 다음과 같다.
|
이상반응 |
이 약
n=288 |
위약
n=288 |
|
피부궤양 |
18% |
17% |
|
피로 |
11% |
7% |
|
발열 |
6% |
5% |
|
등 통증 |
6% |
4% |
|
어지러움 |
6% |
4% |
이 약의 시판 후 경험으로부터 보고된 이상반응은 다음과 같다.
◦ 피부 및 피하 조직 장애: 발진, 가려움증
◦ 신장 및 요로 장애: 신부전
◦ 각종 혈관 장애: 빈도불명의 동맥류 및 동맥 박리
◦ 각종 신경계 장애: 빈도불명의 가역적 후뇌 병증 증후군
※ 재심사에 따른 국내 시판 후 조사 결과
국내에서 재심사를 위하여 6년 동안 65명을 대상으로 실시한 시판 후 조사 결과, 이상사례의 발현율은 인과관계와 상관없이 55.38%(36/65명, 총 76건)로 보고되었다. 이 중 인과관계를 배제할 수 없는 중대한 약물이상반응 및 인과관계를 배제할 수 없는 예상하지 못한 약물이상반응은 발현 빈도에 따라 아래 표에 나열하였다.
|
발현빈도 |
기관계 |
중대한 약물이상반응
1.54 % (1/65명, 1건) |
예상하지 못한 약물이상반응
12.31%(8/65명, 8건) |
|
흔하게
(1~10% 미만)
|
대사 및 영양 장애 |
체중 감소 |
- |
|
호흡기, 흉곽 및 종격 장애 |
- |
기침 |
|
감염 및 기생충 감염 |
- |
방광염 |
|
각종 위장관 장애 |
- |
과민성 장 증후군, 구내염, 소화 불량, 위장관 장애 |
|
전신 장애 및 투여 부위 병태 |
|
무력증 |
4. 일반적 주의
1) 임상시험에서 가장 빈번하게 보고된 위장관계 이상반응은 설사로서 대부분 경증에서 중등도의 증상이었고 투여 개시 후 첫 3개월 이내에 나타났다. 특발성폐섬유증 환자 대상의 INPULSIS 임상시험에서 이 약 및 위약 투여군에서 설사는 각각 62.4%와 18.4%로 보고되었고, 설사로 인하여 환자 10.7%가 이 약의 투여용량을 감량하였고 4.4%가 이 약의 투여를 중단하였다. 진행성 표현형을 나타내는 만성 섬유성 간질성폐질환 환자 대상의 INBUILD 임상시험에서 이 약 및 위약 투여군에서 설사는 각각 66.9% 와 23.9%로 보고되었고, 설사로 인하여 환자 16.0%가 이 약의 투여용량을 감량하였고 5.7%가 이 약의 투여를 중단하였다. 전신경화증 연관 간질성폐질환 환자 대상의 SENSCIS 임상시험에서 이 약 및 위약 투여군에서 설사는 각각 75.7%와 31.6%로 보고되었고, 설사로 인하여 환자 22.2%가 이 약의 투여용량을 감량하였고 6.9%가 이 약의 투여를 중단하였다(이상반응 참조).
탈수 및 전해질 장애로 이어지는 중대한 설사 사례가 시판 후에 보고되었다. 설사가 처음 나타났을 때 수분 보충과 함께 로페라마이드와 같은 적절한 지사제를 투여해야 하고 또한 감량 투여 또는 투여 일시중단이 필요할 수도 있다. 이 약의 치료는 감소된 용량(1회 100mg, 1일 2회) 또는 권장용량(1회 150mg, 1일 2회)으로 재개될 수 있다. 대증치료에도 불구하고 중증의 설사가 지속될 경우 이 약의 투여를 중지하여야 한다.
2) 빈번하게 보고된 이상반응은 구역 및 구토이며, 대부분 경증에서 중등도의 증상을 나타냈다. INPULSIS 임상시험에서 이 약 투여군의 2.0%가 구역으로 인하여 투여를 중단하였고 구토의 경우 0.8%가 투여를 중단하였다. INBUILD 임상시험에서 구역 및 구토로 인해 이 약의 투여를 중단한 빈도는 각각 0.3%, 0.9%였고, SENSCIS 임상시험에서 구역 및 구토로 인해 이 약의 투여를 중단한 빈도는 각각 2.1%, 1.4%였다.
적절한 보조요법(supportive care, 항구토제 포함)에도 불구하고 증상이 지속될 경우, 감량 투여 또는 투여 일시중단이 필요할 수 있다. 이 약의 투여는 감소된 용량(1회 100mg, 1일 2회) 또는 권장용량(1회 150mg, 1일 2회)으로 재개될 수 있다. 중증 증상이 지속될 경우 이 약의 투여를 중지하여야 한다.
3) 시판 후 경험에서, 치명적인 결과를 수반하는 중증의 간손상을 포함하여, 중대하지 않거나, 중대한 약물에 의한 간손상 사례가 보고되었다. 대부분의 간손상 사례는 치료 시작 첫 3개월 이내에 발생하였다. 따라서 이 약으로 치료를 시작하기 전과 치료 시작 후 첫 3개월 동안은 일정한 간격으로 간 아미노기전이효소 및 빌리루빈 수치를 검사하여야 하고, 이후에는 주기적으로(환자의 매 방문시 등) 또는 임상적으로 필요시 검사하여야 한다. 간효소(ALT, AST, ALKP, GGT)와 빌리루빈의 증가는 대부분의 경우에 이 약의 감량이나 일시 중단시 가역적이었다. 아미노기전이효소(AST 또는 ALT)가 정상상한기준치(upper limit of normal; ULN) 3배를 초과하여 측정되었을 경우, 이 약의 감량이나 치료를 일시 중단할 것이 권장되며 환자의 예후를 면밀히 지켜보아야 한다. 아미노기전이효소가 기저치로 회복되었을 경우, 감량한 환자는 이 약의 투여를 권장용량(1회 150mg, 1일 2회)으로 재개하거나, 치료를 일시 중단한 환자는 감소된 용량(1회 100mg, 1일 2회)으로 재개하고 이후 권장용량으로 증량할 수 있다. 간수치의 증가가 임상적 징후나 황달과 같은 간손상의 증상을 수반하는 경우에는 이 약의 투여를 영구적으로 중단하여야 한다. 간효소의 증가에 다른 원인이 있는지도 조사하여야 한다.
체중이 65Kg 미만인 환자, 동양인 환자, 여성 환자의 경우 간효소 증가에 있어서 더 높은 위험성을 나타내었다. 닌테다닙의 노출은 환자의 연령에 따라 선형적으로 증가하였으며, 이는 간효소 증가 위험성을 높일 수 있다. 이러한 위험요소가 있는 환자들에 대한 면밀한 모니터링이 요구된다.
4) 신장애/신부전의 사례가 이 약의 사용 시 보고되었는데 이 중 몇몇은 치명적이었다. 이 약의 투여 기간 동안 환자는 주의 깊게 모니터링되어야 하며, 신장애/신부전의 위험 요소를 나타내는 경우 용량을 감량하거나 일시적으로 투여를 중단하는 것이 고려되어야 한다(‘용법 ▪용량의 <용량조절>’ 참조).
5) VEGFR 차단에 의하여 출혈의 위험성이 증가될 수 있다. 임상시험에서 출혈을 경험한 환자 빈도는 이 약 투여군(INPULSIS: 10.3%, INBUILD: 11.1%, SENSCIS: 11.1%)이 위약 투여군(INPULSIS: 7.8%, INBUILD: 12.7%, SENSCIS: 8.3%)보다 약간 높거나 유사하였다. 가장 빈번하게 보고된 출혈 사례는 중대하지 않은 비출혈(코피)이었다. 두 투여군 모두 중대한 출혈 반응의 빈도는 낮았다(INPULSIS: 이 약 1.3%, 위약 1.4%, INBUILD: 이 약 0.9%, 위약 1.5%, SENSCIS: 이 약 1.4%, 위약 0.7%).
출혈의 유전적 소인이 있는 환자나 항응고제를 최고 용량으로 투여받고 있는 환자는 임상시험에 포함되지 않았다. 중대하지 않거나 중대한 출혈 사례가 시판 후(항응고제 요법이나 출혈을 일으킬 수 있는 다른 약물을 복용하거나 복용하지 않은 환자 포함)에 보고되었으며, 이 중 몇몇은 치명적이었다. 그러므로 이러한 환자들에 대해서는 이 약의 투여가 잠재적인 위험성을 상회할 경우에만 투여되어야 한다.
6) 고혈압 유무와 상관없이 VEGF 경로 억제제를 사용하는 환자에게 동맥류 및 동맥박리가 나타날 수 있다. 고혈압 또는 동맥류 병력이 있는 환자에게 이 약으로 치료를 시작하기 전에, 동맥류 및 동맥박리의 위험을 주의 깊게 고려해야한다.
7) 최근에 심근경색이나 뇌졸중의 이력이 있는 환자는 임상시험에서 제외되었다. 임상시험에서 동맥성혈전색전증은 이 약 투여군(INPULSIS: 2.5%, INBUILD: 0.9%, SENSCIS: 0.7%)과 위약 투여군(INPULSIS: 0.7%, INBUILD: 0.9%, SENSCIS: 0.7%)에서 빈번하지 않게 보고되었다. INPULSIS 임상시험에서 허혈성 심장 질환과 관련된 이상반응은 이 약 및 위약 투여군에서 균형을 이룬 반면 위약 투여군(0.5%)에 대비하여 이 약 투여군(1.6%)에서 심근경색이 높은 비율로 나타났다. INBUILD와 SENSCIS 임상시험에서 심근경색은 이 약 투여군과 위약 투여군에서 다음의 빈도로 관찰되었다(이 약: INBUILD: 0.9%, SENSCIS: 0%, 위약: INBUILD: 0.9%, SENSCIS: 0.7%). 확진된 관상동맥질환을 포함한 심혈관 질환의 위험성이 높은 환자에게 이 약을 투여할 때 주의가 필요하다. 급성 심근허혈증의 징후나 증상이 나타났을 경우 일시적 치료 중단을 고려하여야 한다.
8) 임상시험에서 이 약을 투여한 환자군에서 정맥성혈전색전증의 위험성 증가가 관찰되지 않았다. 이 약의 작용기전을 고려하였을 때 혈전색전증 발생 위험성이 증가할 수 있다.
9) 임상시험에서 이 약을 투여한 환자군에서 위장관천공의 위험성 증가가 관찰되지 않았다. 이 약의 작용기전을 고려하였을 때 위장관천공 위험성이 증가할 수 있다. 시판 후에 위장관 천공 및 허혈성 대장염 사례들이 보고되었으며, 이 중 몇몇은 치명적이었다. 과거 복부 수술, 과거 소화성 궤양 이력, 게실 질환이 있는 환자 또는 코르티코스테로이드 혹은 NSAIDs를 병용하는 환자에게 투여시 특별한 주의를 기울여야 한다. 이 약은 최소 복부 수술 4주 이상 경과한 이후에 투여를 시작할 수 있다. 위장관천공 또는 허혈성 대장염이 나타날 경우 이 약의 투약을 영구히 중단하여야 한다. 예외적으로, 허혈성 대장염이 완전히 해소된 후에는 환자의 상태와 다른 위험 요인에 대한 면밀한 평가 후 이 약 투약을 재개할 수 있다.
10) 시판 후 조사에서 신증후군 범주 단백뇨에 대한 보고가 있었다. 개별 사례에 대한 조직학적 소견으로는 신장혈전을 동반하거나 동반하지 않는 사구체 미세혈관 병증과 일치했다. 이 약의 투여를 중단한 후에는 증상이 관찰되지 않았다. 신증후군의 징후나 증상을 보이는 환자에게는 이 약의 투여를 중단하는 것을 고려해야 한다.
VEGF 경로 억제제는 닌테다닙에 대한 극소수의 사례를 포함하여 혈전성 미세혈관병증(TMA)과 관련되어 있다. 닌테다닙으로 치료 받은 환자에게 TMA와 관련된 실험실적 또는 임상적 결과가 나타나는 경우 닌테다닙의 치료를 중단해야 하고 TMA에 대한 철저한 평가를 완료해야 한다.
11) 가역적 후뇌 병증 증후군: 시판 후 가역적 후뇌 병증 증후군 (posterior reversible encephalopathy syndrome, PRES)의 일부 사례가 보고되었다. PRES는 (자기공명영상(magnetic resonance imaging, MRI)으로 확인되는) 신경학적 장애로 두통, 고혈압, 시각 장애, 발작, 무기력, 혼돈 및 기타 시각 및 신경학적 장애가 나타날 수 있으며, 치명적일 수 있다. PRES가 의심되는 경우, 이 약의 치료를 중단해야 한다. 이전에 PRES를 경험한 환자에게서 이 약의 치료를 재개하는 것은 알려져 있지 않으며, 의사의 권고에 따라야 한다.
12) INPULSIS 임상시험에서 상처회복장애에 대한 보고가 증가되지 않았다. 이 약의 작용기전을 고려하였을 때 이 약은 상처회복에 장애를 가져올 수 있다. 상처회복에 대한 이 약의 영향을 평가하는 별도의 임상시험은 수행되지 않았다. 그러므로 상처회복에 대한 적절한 임상적 판단에 근거해서만 이 약의 투여를 개시하거나 재개(수술 전후 일시적으로 투여를 중단하였을 경우) 하여야 한다.
13) 이 약을 투여하였을 때 혈압이 상승할 수 있으므로, 주기적으로 혈압을 측정하고, 임상적인 소견이 있을 때에도 측정해야 한다.
14) 이 약과 관련한 임상시험에서 이 약이 QT 간격을 지연시키는 증거는 관찰되지 않았다. 일부 다른 티로신 인산화 효소는 QT에 영향을 준다고 알려져 있으므로, 이 약을 투여하는 환자가 QTc 지연을 나타낼 경우 주의하여야 한다.
15) 콩류에 대한 알러지가 있는 사람이 콩류를 섭취하였을 때 중증의 아낙필라시 반응을 포함한 알러지 반응을 일으킬 수 있는 것으로 알려져 있다. 땅콩 단백질에 대한 알러지가 있는 것으로 알려진 환자는 콩류 제품에 대한 중증 반응을 증가 시킬 위험이 있다.
16) 운전 및 기계 조작 능력에 미치는 영향은 연구되지 않았다. 이 약을 투여하고 있는 환자는 운전이나 기계조작 시 주의하도록 하여야 한다.
5. 상호작용
1) P ‑glycoprotein(P ‑gp)
이 약은 P ‑gp의 기질이다. 별도의 약물상호작용 시험에서 강력한 P ‑gp 억제제인 케토코나졸과 병용투여 하였을 경우 이 약의 AUC는 1.61배, C<SUB>max</SUB>는 1.83배 증가하였다.
강력한 P ‑gp 유도제인 리팜피신에 대한 약물상호작용 시험에서 이 약을 단독투여 하였을 때에 비하여 AUC는 50.3%, Cmax는 60.3% 감소하였다.
이 약을 강력한 P ‑gp 억제제들(케토코나졸, 에리스로마이신, 사이클로스포린 등)과 병용투여하였을 경우 이 약의 노출도를 증가시킬 수 있다. 이러할 경우 이 약에 대한 환자들의 내약성을 면밀히 관찰하여야 한다. 이상반응 관리를 위해 투여의 일시중단, 감량 투여 또는 투여 중단이 필요할 수도 있다.
이 약을 강력한 P ‑gp 유도체들(리팜피신, 카르바마제핀, 페니토인 및 St. John’s Wort 등)과 병용투여하였을 경우 이 약의 노출도를 감소시킬 수 있다. P ‑gp를 유도하지 않거나 최소한으로 유도하는 다른 약물과의 병용투여를 고려하여야 한다.
2) Cytochrome 효소
투여된 이 약의 매우 적은 부분만이 CYP경로로 생체전환된다. 비임상시험에서 이 약 및 그 대사체인 유리산 형태의 BIBF 1202와 BIBF 1202 글루쿠로니드는 CYP효소를 억제하거나 유도하지 않았다. 그러므로 CYP 대사에 의한 이 약의 약물상호작용 가능성은 매우 낮을 것으로 고려된다.
3) 기타 약물과의 병용투여
보센탄과의 병용투여는 이 약의 약동학을 변화시키지 않는다.
경구용 호르몬 피임제와의 병용투여는 경구용 호르몬 피임제의 약동학을 유의한 수준까지 변화시키지 않는다.
4) 음식
이 약은 식사 후 즉시 투여가 권장된다. 이 약은 식이 형태와 상관없이 식사 후 투여 시 공복 보다 노출도(약동학 결과)가 20% 증가(90% 신뢰구간: 95.3~152.5%)했고, 흡수는 약 2시간 지연(tmax 중앙값: 공복 2시간, 식후 3.98시간)되었다.
5) 흡연
흡연은 이 약의 효과를 변화 시킬 수 있는 노출도 감소와 관련이 있다. 집단 약동학 분석 결과에서 흡연자는 금연자 및 비흡연자와 비교하였을 때 닌테다닙 노출도는 21% 더 낮았다. 흡연으로 인해 이 약의 용량 조절은 필요하지 않으나, 이 약의 치료 전에 금연하도록 안내하고, 이 약의 투여 시에는 흡연을 피하도록 한다.
6. 임부 및 수유부에 대한 투여
1) 수태능
비임상시험을 바탕으로 남성의 수태능 장애에 대한 증거는 없다. 아만성 및 만성독성 연구에서 사람 최대 권장용량(MRHD)인 150mg을 1일 2회 투여하였을 때와 동일한 전신 노출도에서 암컷 랫드의 수태능에 이상을 나타내지 않았다.
2) 피임
이 약의 비임상시험 및 작용기전에 근거하여 임부에게 투여 시 태아에게 유해할 수 있다. 이 약은 랫드, 토끼 모체에 각각 2.5, 15mg/kg/일(AUC 기준으로 성인 최대 권장용량 보다 랫드는 적게, 토끼는 약 5배 용량)을 경구투여했을 때, 배태자 사망과 기형발생이 나타났다. 가임기의 여성은 이 약을 투여하는 기간 중에 임신을 피하고 투여시작 시, 투여기간 및 마지막 투여 이후 최소 3개월 이상 고도로 효과적인 방법으로 피임을 하도록 주의를 주어야 한다. 닌테다닙은 에티닐에스트라디올 및 레보노르게스트렐의 혈장 노출에 유의한 영향을 미치지 않는다. 경구 호르몬 피임약의 유효성은 구토 그리고/또는 설사, 또는 흡수에 영향을 미칠 수 있는 기타 상태에 의해 저하될 수 있다. 이러한 상태를 경험하는 경구 호르몬 피임약을 복용하는 여성에게는 고도로 효과적인 대체 피임법을 사용하도록 주의를 주어야 한다.
3) 임부
이 약을 임부에게 투여한 경험은 없으나 동물에 대한 비임상시험에서 생식독성이 나타났다. 이 약은 인간에 대해서도 태아에 유해성을 나타낼 수 있으므로 임부에게 투여되어서는 안 되며 (다음 환자에는 투여하지 말 것 참조) 이 약을 투여하기 전과 투여하는 동안 적절하게 임신검사를 실시하여야 한다. 여성 환자들은 투여기간 중 임신하였을 경우 의사나 약사에게 알리도록 한다. 이 약 투여기간 중 임신이 되었을 경우 이 약의 투여를 중단해야 하고 태아에 대한 잠재적 위험성을 환자에게 알려주어야 한다.
4) 수유부
이 약이나 그 대사체들이 모유로 이행된다는 정보는 없다. 비임상시험에서 수유기의 랫드에서 소량의 이 약 및 그 대사체들(투여용량의 0.5% 이하)이 모유를 통해 분비되었다. 신생아/유아에 대한 위험성을 배제할 수 없으므로 이 약의 투여 시에는 수유를 중단하여야 한다.
7. 과량투여시의 처치
이 약 과량투여시 특별한 해독제나 치료법은 없다. 항암제 임상시험에서 2명의 환자에게 최고 600mg을 1일 2회, 최대 8일간 과량투여된 경우가 있었다. 관찰된 이상반응은 증가된 간효소나 위장관계 증상과 같이 이미 알려진 안전성 특징과 일치하였다. 두 환자 모두 이러한 이상반응으로부터 회복되었다. INPULSIS 임상시험에서 1명의 대상자가 부주의로 1일 600mg씩 총 21일 동안 노출되었었다. 중대하지 않은 이상반응(비인두염)이 잘못 투여하고 있던 기간 중에 발생하였다가 소실되었으며 다른 보고된 이상반응은 없었다. 과량투여시 투여를 일시중단하고 적절한 조치를 취해야 한다.
8. 보관 및 취급상의 주의사항
1) 어린이의 손이 닿지 않는 곳에 보관한다.
2) 다른 용기에 바꾸어 넣는 것은 사고원인이 되거나 품질 유지면에서 바람직하지 않으므로 이를 주의한다.
3) 캡슐을 열거나 분쇄하지 않아야 한다. 캡슐에 들어있는 성분에 접촉할 경우 즉시 깨끗하게 손을 씻어야 한다.
9. 전문가를 위한 정보
1) 약리작용
닌테다닙은 저분자로, 혈소판 유래 성장 인자 수용체(PDGFR α, β), 섬유아세포 성장 인자 수용체(FGFR 1 ‑3), 혈관 내피 성장 인자 수용체(VEGFR 1 ‑3) 등의 티로신 키나아제 억제제이며, 다른 키나아제(Lck, Lyn, Src, CSF1R)를 억제하기도 한다. 닌테다닙은 이 키나아제의 ATP 결합 포켓에 경쟁적으로 결합하여 세포내 신호전달 캐스캐이드를 차단하는데 이 과정은 간질성폐질환 섬유조직 리모델링 발병기전에 관련이 있는 것으로 밝혀져 있다.
2) 약동학적 정보
닌테다닙은 시간에 대해 선형적으로 판단될 수 있는 약동학적 특성을 보인다(즉, 단회투여자료를 반복투여자료로 외삽할 수 있다). 반복투여에 따른 축적은 Cmax의 1.04배 및 AUCT의 1.38배 였다.
이 약의 최저(trough) 농도는 1년 넘게 안정하게 유지되었다.
흡수: 이 약은 음식 섭취 시 연질캡슐 형태로 경구 투여 후 약 2 ‑4시간 후 최고 혈장 농도에 도달했다(범위 0.5 ‑8시간). 건강한 자원자에 100 mg 투여 시 절대 생체이용률은 4.69%였다(90% CI: 3.615 ‑6.078). 공복에 비해 음식 섭취 후 이 약의 노출은 약 20%까지 상승했고(CI: 95.3 ‑152.5%) 흡수는 지연되었다(공복 시 tmax: 2.00 시간; 음식 섭취 후 tmax: 3.98 시간(중앙값)).
분포: 이 약은 최소 2상성 분포 동태를 따른다. 정맥 점적주입 후, 높은 분포 용적이 관찰되었다(Vss: 1050 L, 45.0% gCV). in vitro에서 사람 혈장에서 이 약의 단백결합은 결합률 97.8%로 높았다. 혈청 알부민이 주요 결합 단백질로 여겨진다.
생체전환: 이 약의 주요 대사 반응은 esterase에 의한 가수분해성 절단으로, 생성된 유리산 잔기 BIBF 1202는 이어서 UGT 1A1, UGT 1A7, UGT 1A8, UGT 1A10 등의 UGT 효소에 의해 BIBF 1202 glucuronide화 된다. 그 외 이 약의 생체전환의 일부는 CYP 경로로, CYP 3A4가 주요 관여 효소였다.
배설: 정맥 점적주입 후 총 혈장 청소율은 높았다(CL: 1,390 mL/min, 28.8% gCV). 방사성표지를 한 이 약([14C] 닌테다닙)의 경구 투여 후 주요 배설 경로는 대변/담즙배설이었다 (용량의 약 93.4%, 2.61% gCV). 이 약의 최종 반감기는 10 ‑15시간이다(gCV% 약 50%).
3) 임상시험 정보
특발성폐섬유증
이 약의 임상 효능은 특발성폐섬유증 환자 대상 이중눈가림, 무작위배정, 위약대조인 동일한 디자인의 3상 임상시험 2건(INPULSIS ‑1, INPULSIS ‑2)에서 연구되었다. 환자는 이 약 150 mg 1일 2회 또는 위약을 적어도 52주 간 투여하도록 3:2로 무작위배정되었다.
일차 평가변수는 52주 간 노력성폐활량(FVC) 연간 감소율[mL] 이었다. 주요 이차 평가변수는 52주 시점의 기저 대비 Saint George’s Respiratory Questionnaire(SGRQ) 총점 절대 변화량과 특발성폐섬유증 급성 악화까지 걸린 시간이었다.
52주 간 FVC 연간 감소율(mL) 은 위약 대비 이 약 투여군에서 유의하게 감소하였다. 치료 효과는 2건의 임상시험에서 일관되게 나타났다. 표 2에서 각각의 임상시험 및 통합 분석 결과가 표2와 같이 제시되었다.
표2. INPULSIS ‑1, INPULSIS ‑2 및 통합 분석에서의 노력성폐활량(FVC) 연간 감소율(mL)
|
|
INPULSIS-1 |
INPULSIS-2 |
통합 분석 |
|
위약 |
이 약 150 mg 1일 2회 |
위약 |
이 약 150 mg 1일 2회 |
위약 |
이 약 150 mg 1일 2회 |
|
분석 대상자 수 |
204 |
309 |
219 |
329 |
423 |
638 |
|
52주 간 감소율1
(SE) |
-239.9
(18.71) |
-114.7
(15.33) |
-207.3
(19.31) |
-113.6
(15.73) |
-223.5
(13.45) |
-113.6
(10.98) |
|
위약과 비교
차이1 |
125.3 |
93.7 |
109.9 |
|
95% 신뢰구간(CI) |
(77.7, 172.8) |
(44.8, 142.7) |
(75.9, 144.0) |
|
p 값 |
<0.0001 |
0.0002 |
<0.0001 |
1임의계수 회귀분석에 기반하여 예측
이 약이 FVC 연간 감소율을 감소시키는 효과의 완건성은 미리 정의된 모든 민감도 분석에 의해 확인되었다.
진행성 표현형을 나타내는 만성 섬유성 간질성폐질환
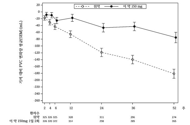
이 약의 임상 효능은 진행성 표현형을 나타내는 만성 섬유성 간질성 폐질환 환자(특발성폐섬유증 환자는 제외) 대상 이중눈가림, 무작위배정, 위약대조 3상 임상시험(INBUILD) 에서 연구되었다. 총 663명의 환자가 최소 52주 간 이 약 150 mg 1일 2회 또는 위약을 투여하도록 1:1로 무작위 배정되었다(이 약 노출: 17.4개월(중앙값), 15.6개월(평균)). 무작위 배정은 중앙 판독자가 평가한 고해상도 컴퓨터단층촬영(HCRT) 상 섬유성 양상에 따라 층화되어, 통상간질성 폐렴(Usual Interstitial Pneumonia; UIP)과 유사한 HRCT 양상을 나타내는 환자 412명과 기타 HRCT 상 섬유성 양상을 나타내는 환자 251명이 무작위 배정되었다. 이 시험에서 분석을 위해 2개의 1차 평가 집단이 정의되었는데, 모든 환자(전체 집단)과 HRCT상 UIP유사 섬유성 양상이 있는 환자로 나누어 평가하였다.
일차 평가변수는 52주 간 노력성폐활량(FVC) 연간 감소율(mL) 이었다. 주요 2차 평가변수는 52주 시점의 기저 대비 King's Brief Interstitial Lung Disease Questionnaire(K ‑BILD) 총점의 절대 변화량, 52주 간 최초 간질성폐질환 급성 악화 또는 사망까지 걸린 시간 및 52주 간 사망까지 걸린 시간이었다.
만성 섬유성 간질성폐질환으로 임상질환을 받은 환자가 HRCT에서 10%를 넘는 섬유화를 보이는 관련 섬유증과 임상적인 진행 징후를 나타내는 경우에 선정되었다.
환자 연령의 평균(표준편차(SD), 최소 ‑최대)은 65.8 (9.8, 27 ‑87)세였고 평균 FVC 예측치는 69.0% (15.6, 42 ‑137)였다. 기저 간질성폐질환 임상 진단은 과민성폐염증 (26.1%), 자가면역간질성폐질환(25.6%), 특발성비특이간질성 폐렴(18.9%), 분류되지 않는 특발성간질성폐렴(17.2%)과 기타 간질성폐질환(12.2%) 으로 나타났다.
52주 간 FVC 연간 감소율(mL)은 위약 대비 이 약 투여군에서 107.0 mL 더 유의하게 감소하였고(표3) 이는 57.0%의 상대 치료 효과에 해당한다.
표3. 노력성폐활량(FVC) 연간 감소율(mL)
|
|
위약 |
이 약 150 mg 1일 2회 |
|
분석 대상자 수 |
331 |
332 |
|
52주 간 감소율1 (SE) |
-187.8 (14.8) |
-80.8 (15.1) |
|
위약과 비교 차이1 |
107.0 |
|
95% 신뢰구간(CI) |
(65.4, 148.5) |
|
p 값 |
< 0.0001 |
1 임의계수 회귀분석에 기반. HRCT 양상, 기저 FVC, 기저 ‑시간 FVC에 대해 보정
2번째 1차 평가 집단(HRCT 상 UIP 유사 섬유성 양상이 있는 환자 집단)에서도 유사한 결과가 관찰되었다. 52주 간 FVC 연간 감소율(mL)은 위약 투여군(n=206)에서 ‑211.1 mL/년, 이 약 투여군(n=206)에서 ‑82.9 mL/년으로 그 차이는 128.2 mL/년(95% CI: 70.8, 185.6; p<0.0001)이었다.
보조집단(기타 HRCT 상 섬유성 양상이 있는 환자)에서도 치료 효과는 유사하였다. 52주 간 FVC 연간 감소율(mL)은 위약 투여군(n=125)에서 ‑154.2 mL/년, 이 약 투여군(n=126)에서 ‑79.0 mL/년으로 그 차이는 75.2 mL/년(95% CI: 15.5, 135.0; nominal p=0.014)이었다.
그림1은 두 투여군의 시간에 따른 기저 대비 FVC 변화 양상을 나타낸 것이다.
그림1. 52주 간 기저 대비 FVC 변화량 평균(SEM) (mL)

52주 시점의 기저 대비 FVC 절대 변화량 예측치(%)의 보정 평균에서도 이 약의 긍정적인 효과가 관찰되었다. 52주 시점의 기저 대비 FVC 절대 변화량(%)의 보정 평균은 위약 투여군( ‑5.86%)보다 이 약 투여군( ‑2.62%)에서 더 적었다. 두 투여군 간 보정 평균 차이는 3.24(95% CI: 2.09, 4.40, nominal p<0.0001)였다.
52주 간 최초 간질성폐질환 급성 악화를 1회 이상 경험하거나 사망한 환자의 비율은 이 약 투여군에서 7.8%, 위약 투여군에서 9.7%였고 최초 급성 ILD 악화를 경험하거나 사망할 위험은 이 약 투여군에서 수치적으로 더 낮았으나, 통계적인 유의성을 보이지 않았다.(HR 0.80(95% CI: 0.48, 1.34; nominal p=0.3948). 전체 시험 기간 분석 시, 최초 급성 ILD 악화를 1회 이상 경험하거나 사망한 환자의 비율은 이 약 투여군에서 13.9%, 위약 투여군에서 19.6%였다. 위험비(HR)은 0.67(95% CI: 0.46, 0.98; nominal p=0.0387)였으며, 이는 이 약 투여군에서 최초 간질성폐질환 급성 악화 또는 사망의 위험이 위약 대비 33% 감소했음을 의미한다.
진행(FVC 절대 감소량 예측치가 10% 이상) 또는 사망의 위험은 이 약 투여군에서 감소하였다. 52주간 진행 또는 사망이 발생한 환자 비율은 이 약 투여군에서 25.6%, 위약 투여군에서 37.5%이었다(HR 0.65(95% CI: 0.49, 0.85; nominal p=0.0017). 전체 시험 기간 분석 시, 진행 또는 사망이 발생한 환자 비율은 이 약 투여군에서 40.4%, 위약 투여군에서 54.7%이었고(HR 0.66 (95% CI: 0.53, 0.83; nominal p= 0.0003), 이는 이 약 투여군에서 진행 또는 사망의 위험이 위약 대비 34% 감소했음을 의미한다.
전신경화증 연관 간질성폐질환
이 약의 임상 효능은 전신경화증 연관 간질성폐질환(Systemic Sclerosis associated Interstitial Lung Disease; SSc ‑ILD) 환자 대상 이중눈가림, 무작위배정, 위약대조 3상 임상시험(SENSCIS) 에서 연구되었다. 환자의 전신경화증 연관 간질성폐질환은 2013년 American College of Rheumatology/ European League Against Rheumatism 전신경화증 분류 기준과 직전 12개월 이내의 흉부 고해상도 컴퓨터단층촬영을 기반으로 진단되었다. 총 580명의 환자가 이 약 150 mg 1일 2회 또는 위약을 적어도 52주 간 투여하도록 1:1로 무작위배정되어 이 중 576 명이 투여를 받았다. 무작위배정은 항 국소이성화효소 항체 상태(ATA)에 따라 층화되었다. 개별 환자는 최대 100주까지 눈가림 투약을 받았다(이 약 노출: 15.4개월 (중앙값), 14.5개월(평균)).
일차 평가변수는 52주 간 노력성폐활량(FVC) 연간 감소율[mL] 이었다. 주요 이차 평가변수는 52주 시점의 기저 대비 modified Rodnan Skin Score(mRSS) 절대 변화량과 52주 시점의 기저 대비 Saint George’s Respiratory Questionnaire(SGRQ) 총점 절대 변화량이었다. 전체 집단에서 75.2%의 환자가 여성이었고, 연령의 평균(표준편차(SD), 최소 ‑최대)은 54.0 (12.2, 20 ‑79) 세였다. 전반적으로 환자의 51.9%가 광범위 피부 전신경화증, 48.1%가 제한성 피부 전신경화증이었다. 최초로 레이노현상 외 다른 증상이 발현한 이래의 평균 시간 (SD)은 3.49 (1.7) 년이었다. 환자의 49.0%가 기저에서 미코페놀레이트를 안정적으로 사용하고 있었다.
52주 간 FVC 연간 감소율(mL) 은 위약 대비 이 약 투여군에서 41.0mL 더 유의하게 감소하였고(표4. 참조) 이는 43.8%의 상대 치료 효과에 해당한다.
표4. 52주 간 FVC 연간 감소율(mL)
|
|
위약 |
이 약 150 mg 1일 2회 |
|
분석 대상자 수 |
288 |
287 |
|
52주 간 감소율1 (SE) |
-93.3 (13.5) |
-52.4 (13.8) |
|
위약과 비교 차이1 |
41.0 |
|
95% 신뢰구간(CI) |
(2.9, 79.0) |
|
p 값 |
<0.05 |
1 임의계수 회귀분석에 기반. 성별, 신장, 연령, ATA상태, 기저 FVC, 기저 ‑시간 FVC에 대해 보정
4) 독성시험 정보
일반독성: 랫드와 마우스를 대상으로 수행한 단독투여독성시험에서 급성 독성 가능성은 낮았다. 랫드를 대상으로 수행한 반복투여독성시험에서 나타난 성장판 비후와 앞니 병변과 같은 영향이 작용기전(VEGFR ‑2 억제)과 대부분 관련이 있었다. 이 변화는 다른 VEGFR ‑2 억제제로부터 알려졌으며 계열 효과로 간주될 수 있다.
비설치류를 대상으로 수행한 독성시험에서 먹이 소비 감소, 체중 감소와 함께 나타난 설사와 구토가 관찰되었다.
랫드, 개, 원숭이(Cynomolgus monkey)에서 간 효소 증가의 근거는 없었다. 설사와 같이 중대한 영향이 원인이 아닌 경증의 간 효소 상승이 원숭이(Rhesus monkey)에서 관찰되었다.
생식독성: 마우스와 랫드를 대상으로 2년 간 수행한 발암성시험에서 종양유발성에 대한 근거는 없었다. 이 약은 마우스와 랫드에서 각각 10mg/kg/일 및 30mg/kg/일 용량까지 투여되었고, 이는 혈장 AUC 기준 사람의 최대 권장용량의 4배였다. 이 약은 복귀 돌연변이시험, 전진 돌연변이시험, 마우스 소핵 유발 시험에서 유전독성에 대해 음성이었다.
랫드에서 이 약은 사람의 최대 권장용량의 약 3배 노출량(100mg/kg/일 경구 투여 시 AUC 기준)에서 암컷 수태능을 감소시켰는데, 초기 유산과 착상 후 배자 사망률은 증가하였고 수태율은 감소하였다. 랫드와 마우스를 대상으로 한 만성 독성 시험에서 난소 내 황체의 숫자와 크기가 감소하는 것이 관찰되었다. 초기 유산을 한 암컷 개체수 증가는 사람의 최대 권장용량 수준의 노출량(20mg/kg/일 경구 투여 시 AUC 기준)에서만 관찰되었다. 이 약은 사람의 최대 권장용량의 약 3배 노출량(100mg/kg/일 경구 투여 시 AUC 기준)에서 수컷 생식기관과 수태능에 대한 영향이 나타나지 않았다.
생식독성시험에서 이 약은 랫드와 토끼에서 기관 형성 시기 동안 노출되었을 때 배태자사망과 최기형성을 보였다(랫드 노출량: 사람의 최대 권장용량 미만, 토끼 노출량: 사람의 최대 권장용량의 5배, 각각 경구 투여 시 혈장 AUC 기준 2.5 및 15 mg/kg/일). 기형은 혈관계, 비뇨생식기계, 골격계 이상을 포함했다. 혈관계 이상으로는 주요 혈관의 결손 또는 추가발생이었고, 골격계 이상은 흉부, 요추, 꼬리뼈(편측척추, 결손, 비대칭적 골화), 늑골(이분, 유합), 척수(유합, 이분, or 일방적 골화) 이상이 있었다. 일부 태자에서 비뇨생식기계 기관의 결손을 보였다. 사람의 최대 권장용량의 약 15배 노출량(경구 투여 시 혈장 AUC 기준 60mg/kg/일)에서 토끼 태자 성비의 현저한 차이가 관찰되었다(암컷:수컷 비율 약 71%:29%). 이 약은 어미가 사람의 최대 권장용량 미만(경구 투여 시 혈장 AUC 기준 10mg/kg/일)으로 노출되었을 때 랫드의 출생 후 최초 4일 동안의 출생 후 생존률을 감소시켰다.
랫드의 모유와 혈장에 닌테다닙과 그 대사체가 유사한 농도로 함유되었다.