[허가사항변경(안전성 정보처리), 의약품안전평가과-1126, 2016.03.07.]
1. 경고
1) 구연산실데니필 제제로 치료를 시작하기 전이나 치료 중 및 치료 후 모든 형태의 질산염 제제 또는 NO 공여제(니트로글리세린, 아밀나이트레이트, 질산이소소르비드)를 복용하는 경우 혈압강하작용이 증강되어 과도하게 혈압이 떨어질 수 있으므로 의사는 이 약을 처방하기 전에 환자가 질산염 제제 및 NO 공여제를 투여하지 않았는지 충분히 확인하여야 하며 이 약 투여 중 및 투여 후 질산염 제제 및 NO 공여제를 투여하지 않도록 주의시킨다.
2) 외국의 경우 시판 후 이상반응 모니터링 결과 심혈관계 이상반응으로 인한 사망 등의 이상 반응이 보고되었으므로 심혈관계 장애 유무를 충분히 확인하여야 한다.
3) 구연산실데나필 제제는 건강한 지원자에서 누운 자세 혈압의 일시적인 감소를 초래하는 전신 혈관확장의 특성(평균 최대감소: 8.4/5.5mmHg)을 가진다. 이는 정상의 환자에서는 중요하지 않을 수 있지만 이 약을 투여하기 전에 의사ㆍ약사는 심혈관계 기저질환을 가진 환자가 이러한 혈관확장효과에 의해 이상반응을 보일 가능성을 세심히 고려하여야한다.
4) 다음 환자에 대한 구연산실데나필 제제의 유효성이나 안전성에 대하여 확립된 임상시험자료는 없으므로, 이 약 투여 시 주의해야 한다.
- 지난 6개월 이내 생명을 위협하는 부정맥이 있었던 환자
- 심부전 환자 또는 불안정형 협심증을 유발하는 관상동맥질환자
- 저혈압환자(90/50 mmHg 미만) 또는 고혈압 환자 (170/100 mmHg 초과)
- 색소성 망막염환자
5) 좌심실유출폐색(예: 대동맥 협착증 및 특발성 비후성 대동맥판 하부 협착증)이 있거나 혈압 자동조절능력이 심각하게 손상된 환자는 PDE5 억제제를 포함한 혈관확장제의 작용에 민감할 수 있다.
6) Protease 억제제인 리토나버의 병용은 실데나필의 혈중 농도를 약 11배 상승 시키므로 리토나버를 복용하는 환자에게 이 약을 투여하는 경우 주의하여야 한다. 고농도의 실데나필에 노출된 환자로부터 얻은 자료는 한정되어 있다. 고농도의 실데나필에 노출된 경우 시각이상의 빈도가 좀더 높게 나타났다. 고용량의 실데나필(200-800mg)에 노출된 건강한 자원자 중 일부에게서 혈압 감소, 실신, 지속발기가 보고되었다. 리토나버를 복용하는 환자에서의 이상반응 발현 가능성을 감소시키기 위해서는 실데나필의 용량을 줄여서 복용하는 것이 권장된다.
7) 소아 폐동맥고혈압 환자를 대상으로 한 장기투여 시험에서 이 약의 투여량 증가에 따른 사망률의 증가가 관찰되었다. 약물 투여 후 약 1년 뒤에 사망이 처음 보고되었으며, 사망은 폐동맥고혈압 환자에서 일반적으로 발생하는 사례이다. 이 약은, 특히 장기간 사용의 경우 소아에는 투여가 권장되지 않는다(「8. 소아에 대한 투여」 참고).
2. 다음 환자에는 투여하지 말 것
1) 이 약의 성분에 과민반응을 보이는 환자
2) 어떠한 형태의 유기 질산염 제제 (니트로글리세린, 질산이소소르비드, 아밀나이트레이트, 니트로프루싯나트륨)라도 정기적으로 혹은 간헐적으로 복용하는 환자
3) 중증 간부전환자
4) 저혈압 (혈압 90/50mmHg 미만) 또는 조절되지 않는 고혈압 환자 (휴식시 수축기 혈압170mmHg 초과, 휴식기 이완기 혈압 100mmHg 초과)
5) 지난 6개월 이내 심근경색, 뇌졸중, 생명을 위협하는 부정맥 등이 있었던 환자
6) 색소성 망막염(retinitis pigmentosa) 환자 (이들 환자 중 일부는 망막 포스포디에스테라제의 유전성질환을 가짐)
7) 이전의 PDE5 저해제 복용 여부와 관계없이, 비동맥전방허혈성시신경증 (Non-arteritic anterior ischemic optic neuropathy, NAION)으로 인해 한쪽 눈의 시력이 손실된 환자
8) 이 약을 포함한 PDE5저해제와 GC 자극제(Guanylate Cyclase Stimulator)인 리오시구앗을 병용 투여 하는 경우, 리오시구앗의 혈압강하효과를 증가시킬 수 있으므로, 두 약물의 병용투여는 금기이다.
3. 다음 환자에는 신중히 투여할 것
1) 불안정형 협심증을 유발하는 관상동맥질환환자
2) 보센탄 치료를 받고 있는 환자
3) 출혈이상 또는 활동성 위궤양 환자 (니트로프루싯나트륨의 혈소판 응집억제 작용을 증강시키는 것으로 보고되었다. 출혈이상 또는 활동성 위궤양 환자에 대한 안전성이 확립되어 있지 않다.)
4) 65세 이상의 고령자 (고령자에서 혈중농도가 증가하는 것이 관찰되었다.)
5) 중증의 신부전(크레아티닌 청소율 30mL/min 이하)환자 (혈장농도가 증가하는 것이 관찰되었다.)
6) 간부전환자 (혈장농도가 증가하는 것이 관찰되었다.)
7) CYP450 3A4 저해제를 투여중인 환자 (혈장농도가 증가하는 것이 관찰되었다.)
8) 카르페리티드(carpetide)를 투여중인 환자
9) 당뇨병성 망막증 환자 (이 약의 당뇨병성 망막증 환자에 대한 안전성이 연구되지 않았으므로 유익성-유해성 평가를 신중하게 실시한 후 투여해야 한다.
10) 다발성 전신 위축증 (특발성 기립성 저혈압 상태 (Shy-Drager syndrome 등)이 있는 환자 (이 약의 혈관확장 작용은 환자의 기저 질환에 의해 야기된 저혈압 상태를 악화시킬 수 있다.)
4. 이상반응
폐동맥 고혈압 환자를 대상으로 12주 동안 진행된 위약 대조군 임상시험에서 총 207명의 환자에게 실데나필 20 ~ 80 mg을 1일 3회 투여하였으며, 70명에게 위약을 12주 동안 투약하였다. 또한 임상시험을 종료한 259명의 환자를 대상으로 장기간의 연장시험을 실시하였으며, 1일 3회, 1회 80 mg까지의 용량이 연구되었다(적어도 1년간 149명이 투여받았으며, 101명이 80 mg을 1일 3회 투여받음).
이 약의 권장용량인 20mg을 1일 3회 투여시, 약물투여 중단의 빈도는 낮았으며(2.9%) 위약 투여군(2.9%)과 비교하여 같게 나타났다.
폐동맥고혈압 환자를 대상으로 epoprostenol정맥 투여에 부가적으로 실데나필 및 위약을 투여한 위약대조 임상시험에서 134명이 16주 동안 epoprostenol과 20 ~ 80 mg의 실데나필을 1일 3회 투여받았으며, 131명이 epoprostenol과 위약을 투여받았다. 이상반응으로 인한 투여의 중단은 실데나필/epoprostenol 투여군에서 5.2%, 위약/epoprostenol투여군에서 10.7%였다.
이 약 투여시 위약 투여군과 비교하여 가장 흔하게 나타난 이상반응은(10%이상) 두통, 홍조, 소화불량, 요통, 설사 및 사지통이었다.
폐동맥고혈압에 대한 pivotal study 또는 두건의 임상시험의 통합데이터에서 이 약 20, 40, 80 mg을 1일 3회 투여한 군에서 3% 이상 보고된 이상반응과, 위약군에 비해 실데나필 투여군에서 더 빈번하게 나타난 이상 반응(1% 이상차이)은 [표 1]과 같다.
[표 1] 폐동맥고혈압에 대한 pivotal study 또는 두건의 임상시험의 통합데이터에서 이 약 20, 40, 80 mg을 1일 3회 투여한 군에서 3% 이상 보고된 이상반응과, 위약군에 비해 실데나필 투여군에서 더 빈번하게 나타난 이상 반응(1% 이상차이)
| MedDRA 기관 분류 / 이상반응 | 위약 대조군 (201명) % | 레바티오 (341명) % |
| 감염 인플루엔자 | 2.5 | 3.8 |
| 정신계 불면 | 2.5 | 5 |
| 신경계 두통 | 35.3 | 50.1 |
| 안과계 시야 장애 NOS* 시야흐림 | 0 3 | 2.3 4.4 |
| 혈액계 홍조 | 10 | 14.7 |
| 호흡기계 기침* 비출혈 비울혈 | 8 4 2.5 | 7.6 7.6 4.7 |
| 위장관계 소화불량 설사 | 4 13.9 | 12.9 16.2 |
| 근골격계 사지통 근육통 요통 | 6 3 6 | 12.9 7.6 8.8 |
| 일반 증상 및 투여부위 발열* | 4 | 5 |
시야장애 NOS, 기침, 발열은 A1481140에서 명시된 기준에 적합하였고 비록 A1481140 및 A1481141의 통합데이터에서의 동일한 기준에 적합하지는 않았지만 임상적 판단에 근거하여 포함되었다.
5. 일반적 주의
1) 실데나필은 혈관을 확장하여 혈압을 경미하고 일시적으로 감소시킨다. 의사는 실데나필을 처방하기 전에 환자가 이 약의 혈관확장 효과로 인해 부적절한 영향을 받을 수 있는 기저 질환을 가지고 있는지 주의깊게 살펴보아야 한다(예, 휴식시 저혈압 환자(혈압 90/50 mmHg미만), 체액 상실, 중증의 좌심실 유출 폐색이거나 자율신경부전 환자). 심근경색증, 심장돌연사, 심실 부정맥, 뇌혈관계 출혈, 일시적인 허혈성 발작 등의 심각한 심혈관계 이상반응이 발기부전환자에 대한 실데나필의 사용과 관련하여 시판 후 일시적으로 보고되었다. 이환자 중 대부분은 심혈관계 위험인자를 갖고 있던 환자였으며, 이러한 이상반응 중 다수는 성행위 도중 또는 직후에 발생하였고 일부의 경우 성행위 없이 실데나필 사용 직후에 발생한 것으로 보고되었다. 이외의 경우 실데나필의 사용 및 성행위 이후 수시간에서 수일사이에 발생하였다. 이러한 이상반응들이 실데나필과 직접 관련이 있는지, 성행위와 관련이 있는지, 기저질환으로 갖고 있는 심혈관 질환과 관련이 있는지, 이러한 요인들이 복합되어 있는지 또는 다른 요인 때문인지는 밝혀지지 않았다.
2) 비동맥전방허혈성시신경증(Non-arteritic anterior ischemic optic neuropathy (NAION))으로 인해 시력이 감퇴하거나 손실되는 경우가 실데나필을 포함한 모든 PDE5 저해제의 시판 후 조사에서 드물게 보고되었다. 이들 환자의 대부분은 낮은 안구의 디스크 비율(low cup to disc ratio, crowded disk), 50세 이상의 연령, 당뇨병, 고혈압, 관상동맥질환, 고지혈증, 흡연과 같은 위험 인자를 가지고 있었다. PDE 5 저해제와 비동맥전방허혈성시신경증(NAION) 간의 인과관계는 밝혀진 바 없다. 의사는 비동맥전방허혈성시신경증(NAION)을 이미 경험한 환자에 이 약을 투여시 그 위험성이 증가할 수 있다는 것을 환자에게 알려야 한다. 환자들은 갑작스런 시력상실이 발생하는 경우 즉시 의학적 치료를 받을 수 있도록 의료진에게 알려야 한다.
3) 알파 차단제를 투여하고 있는 환자에게 실데나필을 병용 투여하는 경우 일부 환자에서 증후성 저혈압이 일어날 수 있다. 이러한 기립성 저혈압의 발생 가능성을 최소화하기위해 환자는 실데나필의 투여를 시작하기 전에, 혈력학적으로 안정화되어야 한다. 의사는 기립성 저혈압의 증상이 나타나는 경우 어떻게 대처해야 하는 지를 환자에게 알려주어야 한다.
4) 폐동맥 혈관확장제는 폐정맥 폐색질환 환자의 심혈관 질환 상태를 유의하게 악화시킬 수 있다. 폐정맥 폐색질환 환자를 대상으로 진행된 실데나필의 임상자료는 없으므로, 이 약의 투여는 권장되지 않는다.
5) 색소성 망막염(이들 환자 중 일부는 망막 포스포디에스테라제의 유전성 질환을 가짐)과 같은 유전성 퇴행성 망막질환을 가진 환자들에 대한 안전성 연구는 이루어지지 않았다.
6) 사람 혈소판에 대한 연구는 실데나필이 in vitro에서 니트로프루싯 나트륨의 항응고 작용을 증강시킨다는 것을 보여준다. 출혈성 질환 혹은 활동성 위궤양 환자에 대한 실데나필의 안전성 자료는 없다.
7) 비출혈 발현율은 원발성 폐동맥 고혈압 환자(실데나필 투여군 3.0%, 위약 대조군 2.4%)보다 결합조직 질환과 관련된 이차성 폐동맥 고혈압 환자(실데나필 투여군 12.9%, 위약 대조군 0%)에서 더 높게 나타났으며, 경구용 비타민 K 길항제를 병용한 실데나필 투여에서 더 높게 나타났다(병용 투여군 8.8%, 병용 투여하지 않은 투여군 1.7%)
8) 시판후 갑작스런 청력감퇴 또는 난청이 드물게 보고되었고 이는 이 약을 포함한 PDE5 저해제와 잠정적인 상관성이 있는 것으로 나타났습니다. 일부 사례에서 질환상태와 다른 요인들이 청력과 관련된 이상반응과 연관이 있을 것이라는 보고가 있었으나, 대부분의 사례에서 이러한 연관성을 알 수 있는 의학적 추적조사 정보들이 확인되지 않았습니다. 이러한 이상반응이 이 약의 투여와 직접적인 연관이 있는지, 환자의 내재적인 난청 위험인자에 의한 것인지, 이들의 조합에 의한 것인지 또는 그 밖의 다른 인자에 의한 것인지는 밝혀지지 않았습니다.
갑작스런 청력감퇴 또는 난청(이명과 현기증이 동반될 수 있음)이 발생하는 경우, 의사는 이 약을 포함한 PDE5 저해제의 사용을 중지할 것을 환자에게 권고하고 즉시 의학적인 주의를 기울여야 한다.
6. 약물 상호작용
● 다른 약물들이 실데나필에 미치는 영향
In vitro:
1) 실데나필은 주로 CYP P450 동종효소 3A4 (주경로) 및 2C9 (부경로)을 매개로 하여 대사된다. 따라서, 이들 효소 저해제는 실데나필의 청소율을 감소시킬 수 있으며, 이들 효소 유도제는 청소율을 증가시킬 수 있다.
In vivo:
1) 임상시험 모집단의 약동학 분석 결과, CYP 3A4 기질과 CYP 3A4 기질/베타-차단제 복합제와 병용 투여시 실데나필 청소율의 감소 및/또는 생체이용률의 증가가 나타났다. 이는 폐동맥 고혈압 환자에서 실데나필의 약동학에 통계적으로 유의한 영향을 미치는 유일한 요인이었다. CYP 3A4 기질과 CYP 3A4 기질/베타차단제 병용 투여시 실데나필의 노출(exposure)은 이들 약물을 투여받지 않은 환자와 비교하여 각각 43% 및 66% 더 높게 나타났다. 실데나필의 노출(exposure)은 80 mg 용량을 1일 3회 투여한 군에서, 20 mg을 1일 3회 투여한 군과 비교 하여 5배 더 높게 나타났다. 사퀴나비어 및 에리스로마이신과 같은 CYP 3A4 저해제와의 약물 상호작용 시험에서 나타난 실데나필의 노출 증가도 실데나필의 이러한 범위안에 있었다(케토코나졸, 이트라코나졸, 리토나비어와 같은 더 강력한 CYP 3A4 저해제는 제외).
2) 건강한 남성 지원자에 대한 엔도텔린 길항제인 보센탄과의 병용 투여 시험에서, 중등도의 CYP 3A4, CYP 2C9 및 CYP 2C19의 유도제인 보센탄(125 mg을 1일 2회 투여)의 항정상태와 실데나필(80 mg을 1일 3회 투여)의 항정상태에서 실데나필의 전신 약물노출(AUC)과 최고 혈중농도(Cmax)는 각각 62.6%, 55.4% 감소되었다. 두 약물의 병용 투여시 임상적으로 유의한 혈압변화(누운 자세 및 선 자세 모두에서)를 유발하지 않았으며, 내약성이 좋았다.
3) 매우 강력한 CYP 3A4 저해제인 HIV 단백분해효소 억제제 리토나비어 (500 mg을 1일 2회 투여)와의 병용 투여시, 항정상태에서의 실데나필(100 mg을단회 투여)의 최고 혈중농도는 300% (4배) 증가하였으며 실데나필의 혈중 전신약물 노출(AUC)은 1000%(11배) 증가하였다. 또한, 투여 24시간 후 실데나필의 혈중 농도는 여전히 200 ng/ml이었다(실데나필 단독 투여시 혈중 농도가 5 ng/ml). 이는 리토나비어의 cytochrome P450 기질에 대한 광범위하고 현저한 영향 때문이다. 이러한 약동학 결과를 토대로 실데나필과 리토나비어의 병용 투여는 권장되지 않는다.
4) CYP 3A4 저해제인 HIV 단백분해효소 억제제인 사퀴나비어(1200 mg 1일 3회 투여)와의 병용 투여시 항정상태에서의 실데나필(100 mg 단회 투여)의 최고 혈중농도는 140%, AUC는 210% 증가하였다. 실데나필은 사퀴나비어의 약동학에 영향을 미치지 않는다. 실데나필과 사퀴나비어의 병용 투여시 용량 조절은 필요치 않다. 강력한 CYP 3A4 저해제인 케토코나졸과 이트라코나졸은 더 큰 영향을 미칠 것으로 예상된다.
5) CYP 3A4 의 특이적 저해제인 에리스로마이신(5일간 500 mg을 1일 2회 투여)과 실데나필 100 mg의 단회 투여시 실데나필의 전신 약물노출(AUC)이 182%증가하였다. 실데나필과 에리스로마이신을 병용 투여하는 경우 용량 조절은 필요치 않다.
6) 건강한 남성 지원자에서 아지스로마이신(3일간 500 mg을 1일1회 투여)과 병용 투여시 실데나필의 전신약물노출(AUC), 최고 혈중농도, 최고 혈중농도 도달 시간, 소실속도 상수, 다음(subsequent) 반감기, 주요 순환 대사물에 대한 영향을 나타내지 않았다.
7) 건강한 지원자에 CYP P450 저해제이며, 비특이적 cytochrome P3A4 저해제인 시메티딘(800 mg)과 실데나필(50 mg)을 병용 투여시 실데나필의 혈중농도가 56% 증가하였다.
8) 제산제의 단회 투여(수산화 마그네슘/수산화 알루미늄)는 실데나필의 생체이용률에 영향을 미치지 않는다.
9) 경구용 피임제와 병용 투여시 (에칠 에스트라디올 30 μg 및 레보노게스트렐 150 μg) 실데나필의 약동학에 영향을 미치지 않는다.
10) 리팜핀과 같은 CYP3A4유도제와 병용투여할 경우 실데나필의 혈장농도의 감소를 예견할 수 있다.
● 실데나필이 다른 약물들에 미치는 영향
In vitro:
1) 실데나필은 CYP P450 동종효소 1A2, 2C9, 2C19, 2D6, 2E1 및3A4 (IC50 >150 microM)의 약한 저해제이다.
In vivo:
1) NO /cGMP 경로에 대해 알려진 바와 같이 실데나필은 질산염의 혈압 강하 효과를 증가시키므로, 실데나필은 NO 공여제 또는 어떠한 형태의 질산염과의 병용 투여는 금기이다.
2) 세 가지 특이적 약물-약물 상호작용 시험에서, 알파차단제 독사조신(4 mg 및 8 mg과 실데나필(25 mg, 50 mg, 100 mg)을 독사조신 투여에 안정화된 양성전립선 비대증 환자에 동시에 투여하였다. 이들 시험 모집단에서 누운 자세의 수축기 혈압과 이완기 혈압이 각각 평균적으로 7/7 mmHg, 9/5 mmHg, 8/4 mmHg 추가적으로 감소하였으며, 선 자세에서의 혈압은 각각 평균적으로 6/6 mmHg, 11/4 mmHg, 4/5 mmHg 더 감소하였다. 독사조신 투여에 안정화된 환자에게 실데나필과 독사조신을 동시에 투여하는 경우, 증후성 기립성 저혈압을 경험한 환자의 예가 드물게 보고되었다. 이 보고에서 어지러움, 두부경중감(light headedness)은 보고되었으나, 실신은 보고되지 않았다. 몇몇 예민한 환자에서 알파차단제와 실데나필을 병용 투여시 증후성 저혈압이 나타날 수 있다.
3) 고혈압 환자에 실데나필(100 mg)과 암로디핀을 병용 투여한 약물 상호작용시험에서, 누운 자세의 수축기 혈압이 평균적으로 최대 8 mmHg 더 감소하였으며, 이완기 혈압은 7 mmHg까지 감소하였다. 이 추가적인 혈압감소는 건강한 지원자에 실데나필을 단독으로 투여한 경우와 유사하였다.
4) 실데나필(50 mg)과 CYP 2C9에 의해 대사되는 톨부터마이드(250 mg) 혹은 와파린(40 mg)을 병용 투여시 유의한 약물 상호작용은 나타나지 않았다.
5) 실데나필(50 mg)은 아스피린(150 mg)에 의해 유발된 출혈 시간의 연장을 증가시키지 않았다.
6) 평균 0.08%(80 mg/dL)의 최고 혈중 알코올 농도를 가진 건강한 지원자에서 실데나필(50 mg)은 알코올의 혈압 강하 효과를 증가시키지 않았다.
7) 건강한 자원자에서 항정상태의 실데나필(80 mg 용량을 1일 3회 투여)은 보센탄의(125 mg 용량을 1일 2회 투여) 약물 전신노출(AUC) 및 최고 혈중농도를 각각 49.8%와 42% 증가시켰다.
8) 실데나필(100 mg 단회 투여)은 CYP P3A4의 기질인 HIV 단백분해효소(프로테아제) 저해제인 사퀴나비어, 리토나비어의 항정상태 약동학에 영향을 주지 않는다.
9) 실데나필은 경구 피임제의 혈중 농도에 임상적으로 유의한 영향을 주지 않는다(에칠 에스트라디올 30 μg 및 레보노게스트렐 150 μg).
10) 이 약과 테오필린 또는 디피리다몰과 같은 비특이적 phosphodiesterase 억제제와의 약물 상호작용에 대한 정보는 없다.
11) 카르페리티드(carperitide)와 병용투여 시, 혈압강하작용이 증대될 수 있다.
7. 임부 및 수유부에 대한 투여
1) 임부에 대한 투여: 임부를 대상으로 한 임상시험 결과는 없다. 동물 시험에서 임신, 배·태자 발달, 분만 혹은 생후 발달에 대한 직·간접적인유해 영향은 나타나지 않았다. 임부에 대한 자료가 없으므로, 반드시 필요한 경우가 아닌 경우에는 임부에 투여하지 않을 것을 권장한다.
2) 수유부에 대한 투여: 실데나필의 모유로의 이행 여부에 대해서는 알려진 바 없다. 수유중인 여성에게 적절하게 잘 통제 된 연구는 없다. 한 사례의 보고의 제한된 데이터에서 모유에 실데나필과 그 활성 대사물질이 존재한다. 모유수유 유아에게 미치는 실데나필의 영향에 관한 정보가 불충분하며, 모유 생성에 미치는 실데나필의 영향에 대해서는 알려진 바 없다. 수유기 제한된 임상 데이터로 인해 수유기 영유아에 미치는 이 약의 위험성을 분명하게 확인할 수 없다. 수유중인 여성에게 투여하지 않을 것을 권장한다.
8. 소아에 대한 투여
시판후 임상연구에서, 1~17세, 체중 8kg 이상인 폐동맥고혈압 환자 234명을 무작위 배정한 뒤 체중에 따라 이 약 또는 위약을 16주간 투여하였다. 대부분의 환자는 베이스라인으로부터 경증 내지 중등증의 증상을 나타내었다 : WHO 기능분류 I(32%), II(51%), III(15%), IV(0.4%). 대상환자의 1/3은 일차성 폐동맥고혈압 환자였으며 2/3은 이차성 폐동맥고혈압 환자(체폐단락술을 받은 환자 36%, 수술 후 회복중인 환자 30%)였다. 환자의 62%는 여성이었으며, 이 약 또는 위약은 1일 3회 투여하였다.
이 연구의 일차 목표는 시험이 가능한 정도로 발육한 소아 환자에서 운동부하심폐기능을 측정하여 운동능력에 대한 이 약의 효과를 평가하는 것이었다(n=115). 이 약의 투여에 의해 운동능력이 통계적으로 유의성있게 향상되지는 않았다. 16주간의 연구에서 사망은 발생하지 않았다.
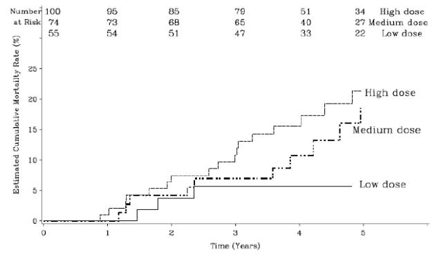
16주간의 연구 완료 후에, 이 약을 투여받도록 배정되었던 환자는 그 용량을 유지하였으며, 위약으로 배정되었던 환자는 이 약을 용량별로 투여받도록 다시 무작위 배정되었다. 16주간의 추적관찰 후 모든 환자들에 대한 맹검이 해제되었으며, 용법ㆍ용량에 따라 투여량을 조정하였다. 환자들은 중앙값 4세(범위 0.3~7.0세)였다. 연구기간 동안 투여받던 용량에서의 사망률은 다음과 같다.
※ 용량별 사망률에 대한 Kaplan-Meier plot

이 약의 투여량이 증가함에 따라 사망률의 증가가 관찰되었다. 저용량에 대한 고용량에서의 위험률(hazard ratio)은 3.5(p=0.015)였다. 사망은 폐동맥고혈압 환자에서 일반적으로 발생하는 사례이다. 이 약은, 특히 장기간 사용의 경우 소아에는 투여가 권장되지 않는다.
9. 고령자에 대한 투여
고령자에 대한 투여용량은 간기능, 신기능, 심장기능, 기저질환 및 병용약물 들을 고려하여 결정되어야 한다.
10. 운전 및 기계 조작에 대한 영향
운전 및 기계 조작 시 실데나필의 영향에 대한 시험은 이루어지지 않았다.
11.과량 투여시의 처치
건강한 지원자에 실데나필을 800 mg까지 단회투여한 시험에서 나타난 이상반응은 낮은 용량에서 나타난 것과 유사하였으나, 발현율 및 그 정도는 증가하였다. 과량 투여한 경우 필요시 표준적인 대증 요법을시행하여야 한다. 실데나필은 혈장단백 결합률이 높고 뇨로 배설되지 않으므로, 신장투석으로 청소율을 증가시키지 못한다.
12. 전임상시험에서의 안전성
안전성-약리 시험, 반복 독성, 유전 독성, 발암성, 생식독성 시험의 전임상시험 결과 인체에 대해 특별한 위해 영향은 없는 것으로 보여진다.
13. 보관 및 취급상의 주의사항
1) 어린이의 손이 닿지 않는 곳에 보관한다.
2) 다른 용기에 바꾸어 넣는 것은 사고원인이 되거나 품질유지면에서 바람직하지 않으므로 이를 주의한다.