1. 경고
1) 골수이형성증후군(MDS)/급성골수성백혈병(AML)
이 약을 포함한 PARP(poly adenosine diphosphate ‑ribose polymerase)억제제를 투여받은 환자에서 골수이형성증후군/급성골수성백혈병(MDS/AML)이 보고되었다(3. 이상반응 참조). 임상시험 전반적으로 이 약을 투여받은 고형암 환자의 1% 미만에서 MDS/AML이 보고되었다. MDS/AML발생에 기여하는 잠재적 요인에는 백금포함 화학요법, 다른 DNA 손상 약물, 또는 방사선치료를 포함한다. 베이스라인에서 전혈구수가 확인되어야 하고, 투여기간 동안 매달 혈액학적 독성 징후가 모니터링되어야한다. MDS/AML이 확인되는 경우, 이 약은 중단해야 한다.
2) 가임여성에서 피임법
이 약은 사람 말초혈액 림프구의 in vitro 염색체이상시험 및 랫드의 in vivo 골수소핵시험에서 염색체이상을 유발했으나, 박테리아를 이용한 복귀돌연변이(Ames) 분석에서 돌연변이유발은 없었다(비임상자료 참조). 이 약을 임부에게 투여할 경우 태아에 위해할 수 있으므로, 임부에게 태아에 대한 잠재적 위해성을 알려야 한다(6. 임부, 수유부에 대한 투여 참조). 가임여성은 이 약을 투여받는 동안 임신해서는 안되며, 이 약 투여를 시작 시 임신한 상태가 아니어야 한다. 모든 가임여성은 이 약 투여전에 임신검사를 해야 한다.
여성환자들은 이 약 투여기간 중 및 투여종료 후 최소 7개월까지 매우 효과적인 피임법이 필요하다. 유방암 환자에게는 호르몬 피임법이 권장되지 않으므로, 비호르몬적 및 보완적 피임의 두 가지 방법을 사용해야 한다(6. 임부, 수유부에 대한 투여 참조). 남성환자는(정관수술을 했어도) 파트너가 가임여성이거나 임부인 경우, 이 약 투여 기간 중 및 마지막 투여 후 최소 4개월간 효과적인 피임법 사용이 권고된다.
2. 다음 환자에는 투여하지 말 것
1) 이 약의 주성분 또는 첨가제에 대한 과민증이 있는 환자
2) 수유부
3. 이상반응
1) 안전성 자료 요약
(1) 이 약 단독요법
이 약의 전반적인 안전성 프로파일은 고형암 임상시험에서 매일 이 약 1 mg을 투여한 494명 환자들의 통합자료에 기반한다. 이는 생식세포계열 BRCA ‑변이(gBRCAm) HER2 ‑음성인 국소 진행성 또는 전이성 유방암에 대한 무작위배정 3상 시험의 환자 286명과 생식세포계열 BRCA ‑변이 국소 진행성 또는 전이성 유방암에 대한 비무작위배정 2상 시험의 환자 83명을 포함한다.
이 임상시험들에서 이 약 투여 환자들에게 가장 흔한( ≧25%) 이상반응은 피로(57.1%), 빈혈(49.6%), 구역(44.3%), 호중구감소증(30.2%), 혈소판감소증 (29.6%), 두통(26.5%)이었다. 가장 흔한( ≧10%) 3등급이상의 이상반응은 빈혈(35.2%), 호중구감소증(17.4%), 혈소판감소증(16.8%)이었다.
이 약 투여 환자들 중 62.3%에서 이상반응으로 인한 용량조절(용량감소 또는 일시중단)이 있었다. 빈혈(33.0%), 호중구감소증(15.8%), 혈소판감소증(13.4%)이 용량조절이 필요했던 가장 흔한 이상반응이었다.
이 약 투여 환자의 3.6%가 이상반응으로 투여를 영구중단하였다. 노출기간의 중앙값은 5.4개월이었다(범위: 0.03 ‑61.1개월).
(2) 이 약을 엔잘루타마이드와 병용투여
이 약의 전반적인 안전성 프로파일은 전이성 거제저항성 전립선암 임상시험(TALAPRO ‑2)에서 매일 이 약 0.5 mg을 엔잘루타마이드 160 mg와 병용 투여한 398명 환자들의 안전성 평가 결과에 기반한다.(노출기간 중앙값 86주, 범위 0.29~186주)
이 임상시험에서 이 약과 엔잘루타마이드 병용 투여 환자들에게 가장 흔한( ≧20%) 이상반응은 빈혈(65.8%), 호중구 감소증(35.7%), 피로(33.7%), 혈소판 감소증(24.6%), 등 통증(22.1%), 백혈구 감소증(22.1%), 식욕 감소(21.6%), 오심(20.6%) 등이었다. 가장 흔한( ≧10%) 3등급이상의 이상반응은 빈혈(46.5%), 호중구감소증(18.3%) 등이었다.
이 약 투여 환자들 중 62.1%에서 이상반응으로 인한 용량조절(용량감소 또는 일시중단)이 있었다. 빈혈, 호중구감소증, 혈소판감소증 등이 용량조절이 필요했던 가장 흔한 이상반응이었다.
이 약 투여 환자의 18.8%가 이상반응으로 투여를 영구중단하였다.
2) 이상반응 표
(1) 이 약 단독요법
통합자료의 이상반응을 표 4에 기관계 및 빈도로 요약하였다. 빈도의 정의: 매우 흔하게( ≧ 1/10), 흔하게( ≧ 1/100 ‑< 1/10). 각 빈도내 이상반응은 중증도가 감소하는 순으로 기재하였다.
[표 4] 5개 임상시험 통합자료에서의 이상반응 (N=494)
|
기관계 분류 |
모든 등급* |
3등급 |
4등급 |
|
빈도 |
이상반응 |
n (%) |
n (%) |
n (%) |
|
혈액 및 림프계 |
|
|
|
|
매우 흔하게 |
혈소판감소증a |
146 (29.6) |
63 (12.8) |
20 (4.0) |
|
빈혈b |
245 (49.6) |
172 (34.8) |
2 (0.4) |
|
호중구감소증c |
149 (30.2) |
77 (15.6) |
9 (1.8) |
|
백혈구감소증d |
77 (15.6) |
24 (4.9) |
1 (0.2) |
|
흔하게 |
림프구감소증e |
30 (6.1) |
13 (2.6) |
0 (0.0) |
|
대사 및 영양 |
|
|
|
|
매우 흔하게 |
식욕감소 |
100 (20.2) |
2 (0.4) |
0 (0.0) |
|
신경계 |
|
|
|
|
매우 흔하게 |
어지러움 |
69 (14.0) |
1 (0.2) |
N/A |
|
두통 |
131 (26.5) |
5 (1.0) |
N/A |
|
흔하게 |
미각이상 |
42 (8.5) |
0 (0.0) |
0 (0.0) |
|
위장관 |
|
|
|
|
매우 흔하게 |
구토 |
110 (22.3) |
7 (1.4) |
0 (0.0) |
|
설사 |
112 (22.7) |
3 (0.6) |
0 (0.0) |
|
구역 |
219 (44.3) |
4 (0.8) |
N/A |
|
복통f |
105 (21.3) |
8 (1.6) |
N/A |
|
흔하게 |
구내염 |
32 (6.5) |
0 (0.0) |
0 (0.0) |
|
소화불량 |
41 (8.3) |
0 (0.0) |
N/A |
|
피부 및 피하조직 |
|
|
|
|
매우 흔하게 |
탈모g |
110 (22.3) |
N/A |
N/A |
|
전신 및 투여부위 |
|
|
|
|
매우 흔하게 |
피로h |
282 (57.1) |
17 (3.4) |
1 (0.2) |
n=환자수; N/A=해당없음
* 5등급 약물이상반응은 없었다.
a. 다음의 대표 용어를 포함: 혈소판감소증 및 혈소판수 감소
b. 다음의 대표 용어를 포함: 빈혈, 적혈구용적률 감소 및 헤모글로빈 감소
c. 다음의 대표 용어를 포함: 호중구감소증 및 호중구수 감소
d. 다음의 대표 용어를 포함: 백혈구감소증 및 백혈구수 감소
e. 다음의 대표 용어를 포함: 림프구수 감소 및 림프구감소증
f. 다음의 대표 용어를 포함: 복통, 상복부통증, 복부불쾌감 및 하복부통증
g. 이 약의 경우, 1등급은 21%이고, 2등급은 2%이다.
h. 피로 및 무력증 포함.
(2) 이 약을 엔잘루타마이드와 병용투여 (전립선암)
TALAPRO ‑2 시험에서 보고된 이상반응을 표 5에 기관계 및 빈도로 요약하였다.
빈도의 정의: 매우 흔하게( ≧ 1/10), 흔하게( ≧ 1/100 ‑ 1/10). 각 빈도내 이상반응은 중증도가 감소하는 순으로 기재하였다.
[표 5] TALAPRO ‑2 시험에서 보고된 주요 이상반응(코호트 1, N=398)
a
|
기관계 분류 |
모든 등급 |
3등급 |
4등급 |
|
빈도 |
이상반응 |
n (%) |
n (%) |
n (%) |
|
양성, 악성 및 상세불명의 신생물(낭종 및 폴립 포함) |
|
|
|
|
흔하지 않게 |
골수이형성증후군 |
1 (0.1) |
1 (0.1) |
0 (0.0) |
|
혈액 및 림프계 |
|
|
|
|
매우 흔하게 |
빈혈b |
262 (65.8) |
172 (43.2) |
13 (3.3) |
|
호중구감소증c |
142 (35.7) |
68 (17.1) |
5 (1.3) |
|
혈소판감소증d |
99 (24.9) |
20 (5.0) |
9 (2.3) |
|
백혈구감소증e |
88 (22.1) |
25 (6.3) |
0 (0.0) |
|
흔하게 |
림프구감소증f |
45 (11.3) |
18 (4.5) |
2 (0.5) |
|
대사 및 영양 |
|
|
|
|
매우 흔하게 |
식욕감소 |
86 (21.6) |
5 (1.3) |
0 (0.0) |
|
신경계 |
|
|
|
|
매우 흔하게 |
어지러움 |
48 (12.1) |
3 (0.8) |
1 (0.3) |
|
두통 |
36 (9.0) |
1 (0.3) |
0 (0.0) |
|
흔하게 |
미각이상 |
27 (6.8) |
0 (0.0) |
0 (0.0) |
|
위장관 |
|
|
|
|
매우 흔하게 |
구역 |
82 (20.6) |
2 (0.5) |
0 (0.0) |
|
흔하게 |
변비 |
72 (18.1) |
1 (0.3) |
0 (0.0) |
|
설사 |
57 (14.3) |
1 (0.3) |
0 (0.0) |
|
복통g |
35 (8.8) |
3 (0.8) |
0 (0.0) |
|
구토 |
29 (7.3) |
0 (0.0) |
0 (0.0) |
|
소화불량 |
17(4.3) |
0 (0.0) |
0 (0.0) |
|
구내염 |
13 (3.3) |
0 (0.0) |
0 (0.0) |
|
피부 및 피하조직 |
|
|
|
|
흔하게 |
탈모 |
33 (8.3) |
0 (0.0) |
0 (0.0) |
|
전신 및 투여부위 |
|
|
|
|
매우 흔하게 |
피로 |
134 (33.7) |
16 (4.0) |
0 (0.0) |
|
무력증 |
57 (14.3) |
11 (2.8) |
0 (0.0) |
|
심혈관계 |
|
|
|
|
흔하게 |
심방세동 |
8 (2.0) |
1 (0.3) |
0 (0.0) |
|
근골격계 |
|
|
|
|
매우 흔하게 |
등 통증 |
88 (22.1) |
10 (2.5) |
0 (0.0) |
|
관절통 |
58 (14.6) |
2( 0.5) |
0 (0.0) |
n=환자수
a. 5등급 약물이상반응은 없었다.
b 다음의 대표 용어를 포함: 빈혈, 적혈구용적률 감소 및 헤모글로빈 감소 및 적혈구 감소
c. 다음의 대표 용어를 포함: 호중구감소증 및 호중구수 감소
d. 다음의 대표 용어를 포함: 혈소판감소증 및 혈소판수 감소
e. 다음의 대표 용어를 포함: 백혈구감소증 및 백혈구수 감소
f. 다음의 대표 용어를 포함: 림프구수 감소 및 림프구감소증
g. 다음의 대표 용어를 포함: 복통, 상복부통증, 복부불쾌감 및 하복부통증
3) 특정 이상반응 ‑ 골수억제
빈혈, 호중구감소증 및 혈소판감소증과 같은 골수억제 관련 이상반응은 이 약 투여 환자들에게서 매우 흔하게 보고되었다. 3등급 및 4등급의 골수억제 관련 사례는 빈혈 37.8%와 1.5%, 호중구감소증 15.0%와 1.6%, 혈소판감소증 8.1%와 3.0%에서 보고되었다. 골수억제 관련 이상반응으로 인한 사망은 보고되지 않았다. 단독요법 시험(1 mg/day 모집단)에서, 용량조절이 필요했던 가장 흔한 골수억제 관련 이상반응은 이 약 1 mg/day 투여 환자의 약 30%까지 보고된 빈혈(33.5%), 호중구감소증(11.7%), 혈소판감소증(9.9%)이었고, 시험약 영구중단이 필요했던 사례는 환자의 0.6% 미만에서 보고된 빈혈이었다.
엔잘루타마이드와 이 약을 병용투여한 mCRPC 환자의 44.0%가 빈혈로 인해 투여를 일시중단했고, 13.6%에서 호중구수 감소, 7.8%에서 혈소판수 감소로 인해 투여를 일시중단했다. 빈혈, 호중구감소증, 혈소판감소증으로 인한 투여중단은 각각 8.3%, 3.3%, 0.5%에서 발생했다.
4. 일반적 주의
1) 이 약의 투여는 항암제 사용 경험이 있는 전문의에 의해 시작되고 감독 하에 실시되어야 한다.
2) 백금계 항암화학요법을 받던 중 질병이 진행한 환자에서 이 약의 임상적 경험은 없다.
3) 전이성 호르몬 수용체 양성 유방암 환자에서 이 약을 투여받고자 하는 경우, 호르몬 기반치료를 받는 것이 적절하지 않아야 한다.
4) 골수억제
이 약 투여 환자들에서 빈혈, 백혈구감소증/호중구감소증, 및/또는 혈소판감소증 등의 골수억제가 보고되었다. 이전의 투여로 인한 혈액학적 독성이 회복될때까지(1등급 이하) 이 약 투여를 시작해서는 안된다.
이 약을 투여받는 환자는 빈혈, 백혈구감소증/호중구감소증, 및/또는 혈소판감소증과 연관된 혈액학적 지표와 증상 및 징후를 주기적으로 모니터링해야 한다. 만약 이러한 사례가 발생하는 경우, 용량조절(감량 또는 중단)이 권장된다. 혈액 및/또는 혈소판 수혈 및/또는 집락자극인자 투여와 관계없이 지지요법이 적절하게 사용될 수 있다.
5) 운전 및 기계사용 능력에 미치는 영향
이 약은 운전 및 기계사용 능력에 미미한 영향을 줄 수 있다. 이 약 투여 후 피로/무력증 또는 어지러움이 발생할 수 있다.
엔잘루타마이드와 이 약을 병용투여하는 경우, 엔잘루타마이드가 운전 및 기계 사용 능력에 미치는 영향에 대해서는 엔잘루타마이드의 허가사항을 참고한다.
6) 상동 재조합 복구(Homologous Recombination Repair, HRR) 유전자 변이 검사
상동 재조합 복구(HRR) 변이 양성인 전이성 거세 저항성 전립선암 환자 치료제로서 이 약의 사용을 고려하였을 때, 이 약 치료를 받을 환자를 선택하기 위해서는 상동 재조합 복구와 연관된 유전자(ATM, ATR, BRCA1, BRCA2, CDK12, CHEK2, FANCA, MLH1, MRE11A, NBN, PALB2, or RAD51C) 변이 양성 진단이 필요하다. 임상시험(TALAPRO ‑2)에서는 HRR 유전자 변이 양성 전이성 거세저항성 전립선암을 진단하기 위해, Foundation Medicine 사의 FoundationOne® CDx 및 FoundationIOne® Liquid CDx를 이용하였다.
5. 상호작용
<이 약의 혈장농도에 영향을 줄 수 있는 약물>
1) P ‑gp 억제제
(1)엔잘루타마이드의 영향
엔잘루타마이드와 병용투여시 이 약의 노출이 약 2배 증가한다. 이 약 0.5 mg을 엔잘루타마이드와 병용투여할 경우, 매일 이 약 1.0 mg 투여에서 보고된 것과 동일한 항정상태 최저농도(Ctrough)가 달성된다. 엔잘루타마이드와 병용투여 시, 이 약의 시작용량은 0.5 mg이다. 엔잘루타마이드와 이 약을 병용투여 중 P ‑gp 억제제의 투여가 이 약의 노출에 미치는 영향은 연구되지 않았다. 엔잘루타마이드와 이 약의 병용투여 중 P ‑gp 억제제의 투여가 불가피한 경우, 잠재적인 이상반응이 증가하는지 환자를 모니터링해야 한다.
(2) 다른P ‑gp 억제제의 영향
진행성 고형암 환자의 약물 ‑약물 상호작용 연구에 따르면, P ‑gp 억제제1일 다회투여(이트라코나졸 1일 2회 100 mg)와 이 약 0.5 mg 단회투여의 병용은 이 약 0.5 mg 단독 단회투여와 비교하여 이 약의 총 노출(AUCinf) 및 최고농도(Cmax)를 각각 약 56% 및 40% 증가시켰다. 모집단 약동학 분석에서 강력한 P ‑gp 억제제의 병용투여는 이 약 단독투여와 비교하여 이 약의 노출을 45% 증가시켰다.
강력한 P ‑gp 억제제와의 병용투여는 피해야 한다(아미오다론, 카르베딜롤, 클래리트로마이신, 코비시스타트, 다루나비르, 드로네다론, 에리트로마이신, 인디나비르, 이트라코나졸, 케토코나졸, 라파티닙, 로피나비르, 프로파페논, 퀴니딘, 라놀라진, 리토나비르, 사퀴나비르, 텔라프레비르, 티프라나비르, 베라파밀 등을 포함). 강력한 P ‑gp 억제제와 병용투여가 불가피한 경우, 이 약의 용량을 줄여야한다.
집단약동학 분석 결과, 임상시험에서 상대적으로 약한 Pgp 억제제(아지스로마이신, 아토르바스타틴, 딜티아젬, 펠로디핀, 플루복사민 및 케르세틴 포함)와의 병용투여는 이 약의 노출에 유의미한 영향을 미치지 않은 것으로 나타났다.
2) P ‑gp 유도제
진행성 고형암 환자의 약물 ‑약물 상호작용 연구에 따르면, 이 약 1 mg 단회투여와 P ‑gp 유도제1일 다회투여의 병용(리팜핀 600 mg, 이 약을 투여하는날에는 투여 30분전 리팜핀 투여)은 이 약 1 mg 단독/단회투여와 비교하여 이 약의 Cmax를 약 37% 증가시키는 반면, AUCinf에는 영향이 없었다. 이는 약물 ‑약물 상호작용시험 조건 하에서 리팜핀에 의한 P ‑gp 유도 및 억제의 순효과로 여겨진다. 리팜핀과 병용시 이 약의 용량조절은 필요치 않다. 그러나, 이 약의 노출에 다른 P ‑gp 유도제들이 미치는 영향은 연구되지 않았다. 다른 P ‑gp 유도제(카르바마제핀, 페니토인, St. John's Wort 등)는 이 약의 노출을 감소시킬 수 있다.
3) BCRP 억제제
이 약의 약동학에 BCRP 억제제가 미치는 영향은 in vivo에서 연구되지 않았다. 이 약과 BCRP억제제의 병용투여는 이 약의 노출을 증가시킬 수 있다. 강력한 BCRP 억제제(커큐민, 시클로스포린 등을 포함)의 병용투여는 피해야 한다. 강력한 BCRP 억제제와의 병용투여를 피할수 없는 경우, 환자들에서 이상반응이 증가할수 있으므로 모니터링해야한다.
4) 제산제(acid ‑reducing agent)의 영향
모집단 약동학분석에 따르면 프로톤펌프억제제, 히스타민수용체2길항제(H2RA) 또는 다른 제산제를 포함하는 제산제의 병용투여는 이 약의 흡수에 유의미한 영향을 미치지 않았다.
5) 전신 호르몬피임법
이 약과 경구피임제의 약물 ‑약물 상호작용은 연구되지 않았다.
6. 임부, 수유부에 대한 투여
1) 가임여성 및 남성, 여성의 피임
가임여성은 이 약을 투여받는 동안 임신해서는 안되며, 이 약 투여를 시작 시 임신한 상태가 아니어야 한다. 모든 가임여성은 이 약 투여 전에 임신여부를 검사해야 한다.
가임여성은 이 약 투여 전, 투여기간 중 및 투여종료 후 7개월동안 매우 효과적인 피임법을 사용해야한다. 유방암환자에서 호르몬피임법은 권장되지 않으므로, 비호르몬 및 보조피임의 두가지 피임법을 사용해야한다. 파트너가 가임여성이거나 임부인 남성 환자의 경우(정관수술을 했더라도), 이 약 투여기간 및 마지막용량 투여 후 최소 4개월동안 효과적인 피임법이 권고된다.
2) 임신
이 약의 임부에 대한 자료는 없다. 동물시험에서 배태자 독성을 보였다. 이 약을 임부에게 투여할 경우 태아에 위해할 수 있다. 이 약은 임부 또는 피임을 하지 않는 가임여성에게 권장되지 않는다.
3) 수유부
이 약의 모유 이행여부는 알려지지 않았다. 수유를 받는 소아에 대한 위해성을 배제할 수 없으므로, 이 약 투여기간 및 마지막 투여 후 최소 한 달동안 모유수유는 권장되지 않는다.
4) 수태능
환자의 수태능에 대한 정보는 없다. 고환(일부 가역적) 및 난소(가역적)에서의 비임상 결과에 따르면, 이 약은 남성의 수태능에 손상을 일으킬 수 있다.
7. 소아에 대한 투여
소아에서 이 약의 안전성 ◦유효성은 확립되지 않았다.
8. 고령자에 대한 투여
만 65세 이상의 고령자에서 용량조절은 필요치 않다.
9. 과량투여시의 처치
이 약 과량투여에 대한 경험은 제한적이다. 1일차에 실수로 이 약 1 mg 30캡슐을 자가복용한 1명의 환자(즉시 위세척을 받음)에서 이상반응은 보고되지 않았다. 과량투여시의 증상은 확립되어 있지 않다. 과량투여시 이 약 투여를 중단하고, 의사는 위세척을 고려해야 한다. 이후 증상에 따른 일반적인 지지요법 및 처치를 해야한다.
10. 보관 및 취급상의 주의사항
1) 어린이의 손이 닿지 않는 곳에 보관한다.
2) 의약품을 원래 용기에서 꺼내어 다른 용기에 보관하는 것은 의약품 오용에 의한 사고 발생이나 의약품 품질 저하의 원인이 될 수 있으므로 원래의 용기에 넣고 꼭 닫아 보관한다.
11. 전문가를 위한 정보
1) 약력학적 특성
(1) 작용기전
이 약은 PARP 효소인 PARP1(IC<SUB>50</SUB> = 0.7 nM) 및 PARP2(IC<SUB>50</SUB> = 0.3 nM)의 억제제이다. PARP 효소는 DNA 복구, 유전자 전사, 세포사 등의 세포 DNA 손상반응 신호경로에 관여한다. PARP 억제제(PARPi)는 두가지 기전, PARP 촉매 활성의 억제 및 PARP 포착(trapping)에 의해 암세포에 세포독성 효과를 발휘한다. 즉, PARPi에 결합된 PARP 단백질이 DNA 병변과 쉽게 분리되지 않아, DNA 복구, 복제 및 전사를 방지하여, 세포자멸 및/또는 세포사를 초래한다. 이 약 단일제제를 DNA 복구 유전자에 결함이 있는 암세포계에 처치 시, 이중가닥 DNA 손상의 표지인 ϒH2AX 수준이 증가하여 세포증식을 감소시키고 세포자멸을 증가시킨다. 이 약의 항종양 활성은 이전에 백금계 요법을 투여받은 환자로부터 환자유래 이종이식(PDX)된 BRCA ‑변이 유방암 모델 및 안드로겐 수용체(AR) 양성 전립선암 이종이식 모델에서도 관찰되었다. 이 PDX 모델에서 이 약은 종양증식을 감소시키고, 종양 내 ϒH2AX 수준과 세포자멸을 증가시켰다.
PARP와 AR 활성의 복합 억제로 인한 항암효과는 다음의 기전에 의한다. AR신호전달 억제는 BRCA1을 비롯한 동종 재조합복구(HRR) 유전자의 발현을 억제하여 PARP억제에 대한 민감성을 초래한다. PARP1활동은 최대 AR기능에 필요한 것으로 나타났으며, 따라서 PARP를 억제하면 AR신호전달이 감소하고 AR신호전달 억제제에 대한 민감도가 증가할 수 있다. AR차단에 대한 임상적 내성은 때때로 RB1 및 BRCA2의 동시결실과 관련되며, 이는 결과적으로 PARP억제에 대한 민감성과 관련된다.
(2) 심장 전기생리학
이 약이 심장 재분극에 미치는 영향은, 진행성 고형암 환자 37명을 대상으로 베이스라인으로부터 심박수에 대해 보정한 QT간격(QTc)의 변화와, 이에 상응하는 이 약의 혈장 농도사이의 관계를 시간대별 심전도(ECG)를 이용하여 평가되었다. 이 약은 최대 임상 권장용량인 1일 1회 1 mg 단독요법에서 QTc 연장에 임상적으로 관련된 영향이 없었다.
2) 약동학적 특성
이 약의 노출은 일반적으로 1일 0.025 mg ‑ 2 mg 범위의 용량으로 다회투여 후 용량에 비례하여 증가했다. 유방암 환자에게 이 약 단독요법 1일 1 mg을 반복투여한 후, 항정상태에서 이 약의 AUC 및 C<SUB>max</SUB>의 기하평균(변동계수[CV%]) 범위는 각각 126(107) ‑208(37) ng ▪hr/mL 및 11(90) ‑19(27) ng/mL였다. mCRPC 환자에서 엔잘루타미드와 병용하여 이 약 1일 1회 0.5 mg을 경구투여 한후, 방문 전반에 걸친 기하평균(CV%) 항정상태 C<SUB>trough</SUB>의 범위는 3.29 ‑3.68 ng/mL(45 ‑ 48%)로, 이는 유방암 환자에게 이 약 단독요법으로 1일 1회 1 mg을 투여했을때 관찰된 값인 3.53(61%) ng/mL와 유사하다. 1일 투여량을 매일 반복해서 투여했을 때, 이 약의 혈장농도는 단독투여시 2 ‑3주 내에, 엔잘루타미드와 병용투여시 약 9주 이내에 항정상태에 도달했다. 단독요법으로 매일 1 mg을 반복 경구투여 시, 이 약의 축적비 중앙값은 2.3 ‑5.2 범위에 있었다. 이 약은 P ‑gp와 BCRP 수송체의 기질이다.
(1) 흡수
이 약의 경구 투여 후, C<SUB>max</SUB>까지 시간의 중앙값(T<SUB>max</SUB>)은 투여 후 1 ‑2 시간이었다. 사람에서 절대 생체이용률 시험은 실시되지 않았다. 그러나 소변 배출 자료에 따르면, 절대 생체이용률은 최소 41%이며, 흡수분율은 최소 69%이다(‘배설’항 참조). pH 1 ‑6.8 범위에서 이 약의 충분한 용해도를 고려하면, 제산제(acid ‑reducing agent)가 이 약의 노출에 미치는 유의미한 영향은 없을 것으로 예상된다. 핵심 임상시험 환자들의 28%가 주로 프로톤펌프억제제인 제산제를 복용했다.
음식물 섭취는 이 약의 흡수 속도를 감소시켰으나, 흡수량을 감소시키지는 않았다. 고지방, 고칼로리 음식(약 827칼로리, 지방 57%)과 이 약을 단회 경구투여 후 이 약의 평균 C<SUB>max</SUB>는 약 46% 감소하였고, T<SUB>max</SUB> 중앙값은 1시간에서 4시간으로 지연되었지만, AUC<SUB>inf</SUB>에 대한 영향은 없었다. 따라서, 이 약은 음식물과 상관없이 복용할 수 있다.
(2) 분포
이 약의 모집단 평균 겉보기 분포용적(V<SUB>ss</SUB>/F)은 420 L이었다. In vitro에서 이 약은 0.01 ‑1 μM 농도 범위에서 농도 의존성 없이 혈장단백질에 약 74% 결합한다. 신기능 또는 간기능 악화와 사람 생체내 혈장에서 이 약의 결합되지 않은 약물(f<SUB>u</SUB>)의 평균분율 사이의 관계는 명확하지 않으므로, 신기능 또는 간기능은 이 약의 단백결합에 영향을 미치지 않는 것으로 보인다.
(3) 대사
이 약은 사람에서 최소의 간대사를 거친다. [
14C]탈라조파립 1 mg을 사람에게 경구투여한 후, 혈장에서 주요 순환대사체가 확인되지 않았고, 약물에서 유래된 유일한 순환체는 탈라조파립이었다. 개별 투여된 용량의 10%이상에 해당하는 대사산물은 소변이나 대변에서 회수되지 않았다.
In vitro에서 이 약은 임상적으로 관련된 농도에서 CYP1A2, CYP2B6, CYP2C8, CYP2C9, CYP2C19, CYP2D6, CYP3A4/5의 억제제 또는 CYP1A2, CYP2B6, CYP3A4의 유도제가 아니었다.
In vitro에서 이 약은 임상적으로 관련된 농도에서 주요 장내, 간 또는 신장의 막수송체(P ‑gp, BCRP, 유기음이온수송폴리펩티드[OATP]1B1, OATP1B3, 유기양이온수송체[OCT]1, OCT2, 유기음이온수송체[OAT]1, OAT3, 담즙산염배출 펌프[BSEP], 다약제 및 독소유출[MATE]1 및 MATE2 ‑K)을 억제하지 않았다.
In vitro에서 이 약은 임상적으로 관련된 농도에서 주요 이인산우리딘 글루쿠론산전이효소(UGT) 아형(1A1, 1A4, 1A6, 1A9, 2B7, and 2B15)을 억제하지 않았다.
(4) 배설
미변화체 약물의 신장배설(수동여과 및 능동분비)은 이 약 배설의 주요 경로이다. P ‑gp는 이 약의 능동 신장분비에 관여할 가능성이 높다. 암환자에서 이 약의 평균 혈장 반감기는 90시간(표준편차: ±58)시간이었고, 모집단 평균 겉보기 경구 청소율(CL/F)은 6.5 L/h(개체간 변동성 31%)였다. [
14C]탈라조파립을 단회 경구투여한 6명의 여성환자에서 총 방사선량의 평균 69%(표준편차: ±8.6%) 및 20%(±5.5%)가 각각 소변 및 대변에서 회수되었다. 소변에서 미변화 탈라조파립의 배설은 투여량의 55% 정도를 차지하는 주요 배설경로였으며, 반면 대변에서 회수된 미변화 탈라조파립은 14%를 차지했다.
(5) 특수집단
<연령, 성별 및 체중>
이 약의 약동학에 미치는 영향을 평가하기 위해, 이 약 단독요법으로 1 mg을 매일 투여받은 490명의 암 환자(연령(만 18 ‑88세), 성별(남성 53명, 여성 437명), 체중(35.7 ‑162 kg))의 자료를 이용한 모집단 약동학 분석이 시행되었다. 그 결과, 연령, 성별 및 체중은 이 약의 약동학에 임상적으로 관련된 영향을 주지 않았다.
<인종>
41명의 아시아인과 449명의 비아시아인(백인 361명, 흑인 16명, 기타 9명 및 미보고 63명)을 포함하는, 이 약 단독요법으로 1 mg을 매일 투여받은 총 490명에 대한 모집단 약동학분석에 따르면, 이 약의 CL/F는 비아시아인들 대비 아시아인에서 더 높았고, 이는 아시아인에서 19% 더 낮은 노출(AUC)로 이어졌다.
<소아>
만 18세 미만의 환자에서 이 약의 약동학은 평가되지 않았다.
<신장애>
◦ 이 약의 단독요법
다양한 정도의 신장애가 있는 진행성 암 환자를 대상으로한 약동학시험 자료에 따르면, 이 약을 1일 1회로 다회투여 후 정상 신기능환자(eGFR ≧90mL/min)에 비해 중등도(eGFR 30 ‑ 60 mL/min) 및 중증(eGFR ) 신장애 환자에서 총 노출(AUC<SUB>0 ‑24</SUB>)은 각각 92%, 169% 증가했다. 이 약의 C<SUB>max</SUB>는 정상 신기능 환자에 비해 중등도 및 중증 신장애 환자에서 각각 90% 및 107% 증가했다. 이 약 노출은 경증 신장애 환자(eGFR 60 ‑ 또한, 경증 신장애(60 mL/min ≦CrCL 132명, 중등도 신장애(30 mL/min ≦CrCL) 33명, 중증 신장애(CrCL) 1명 등, 490명의 환자를 포함하는 모집단 약동학 분석에 따르면, 이 약의 CL/F는 정상 신기능 환자(CrCL ≧90 mL/min)에 비해 경증 및 중등도 신장애 환자에서 각각 14% 및 37% 감소했으며, 이는 각각 17% 및 59%의 AUC 증가에 해당한다. 혈액투석이 필요한 환자를 대상으로 이 약의 약동학은 연구되지 않았다.
◦ 이 약과 엔잘루타마이드의 병용투여
이 약을 엔잘루타마이드와 병용투여한 412명의 mCRPC 환자를 포함하는 모집단 약동학 분석에 따르면(152명의 경증 신장애(60 mL/min ≦ CrCL <90 mL/min) 환자, 72명의 중등도 신장애(30 mL/min ≦ CrCL <60 mL/min) 환자 및 2명의 중증 신장애(CrCL <30 mL/min)환자), 이 약의 CL/F는 정상 신기능 환자와 비교하여 경증, 중등도 신장애 환자에서 8.0%, 27.1% 감소했을 것으로 예상되며, 이는 각각 AUC의 9%, 37% 증가에 해당한다. 혈액투석이 필요한 환자들을 대상으로 이 약의 약동학은 연구되지 않았다.
<간장애>
경증 간장애(총 빌리루빈 ≦1.0×ULN 및 AST>ULN, 또는 총 빌리루빈>1.0 ‑1.5×ULN 및 모든 AST) 118명 등, 이 약 단독요법으로 1 mg을 매일 투여받은 490명의 환자를 포함하는 모집단 약동학 분석에 따르면, 경증 간장애는 이 약의 약동학에 영향을 미치지 않았다. 약동학 시험에서 정상 간기능을 가진 환자, 경증 간장애, 중등도 간장애(총 빌리루빈>1.5 ‑3.0×ULN 및 모든 AST) 또는 중증 간장애(총 빌리루빈>3.0×ULN 및 모든 AST) 환자를 대상으로 이 약의 약동학이 연구되었다. 이 자료를 이용한 모집단 약동학 분석에 따르면, 경증, 중등도, 또는 중증 간장애는 이 약의 약동학에 영향을 미치지 않았다.
간장애 환자 대상으로 엔잘루타마이드 병용 시 이 약의 약동학은 연구되지 않았다.
3) 임상적 유효성 및 안전성
(1) 생식계열 BRCA 돌연변이(gBRCAm) HER2 ‑음성 국소진행성 또는 전이성 유방암 ‑ EMBRACA 시험
EMBRACA는 생식세포계열(germline) BRCA ‑변이 HER2 ‑음성인 국소 진행성 또는 전이성 유방암 환자 중 전이성 또는 국소진행성 질환에 3회 이하의 세포독성 화학요법을 받은 적 있는 환자를 대상으로한 이 약 대비 화학요법(카페시타빈, 에리불린, 젬시타빈, 비노렐빈)의 공개라벨, 무작위, 평행, 2개군 다기관임상시험이다. 환자들은 수술전 보조요법, 수술후 보조요법 및/또는 전이상태에서 안트라사이클린 및/또는 탁센을 투여받은 적 있어야 했다(금기인 경우 제외). 이전에 진행성 질환에 백금 요법을 투여한 환자는 백금요법을 시행하는 동안 질병의 진행이 없었어야 했다. PARP 억제제 투여 경험은 허용되지 않았다.
EMBRACA시험에서, 무작위 배정된 431명의 환자 중 408명(95%)이 유해하거나 유해한 것으로 의심되는 gBRCAm을 갖는것으로 중앙에서 임상시험 분석법을 사용하여 확인되었다(이 중, 354명(82%)은 BRACAnalysis CDx®를 사용하여 확인). BRCA 돌연변이 상태(유방암감수성유전자1[BRCA1] 양성 또는 유방암감수성유전자2 [BRCA2] 양성)는 두 투여군간에 유사하였다.
총 431명의 환자가 2:1로 무작위배정되어 1일 1회 이 약 1 mg을 투여받거나, 표준용량의 화학요법을 질병이 진행되거나 수용불가한 독성(unacceptable toxicity)이 나타날 때까지 투여받았다. EMBRACA 시험에 무작위배정된 431명의 환자들 중, 287명은 이 약 투여군에, 144명은 화학요법군에 무작위배정되었다. 무작위배정은 이전에 전이성 질환에 화학요법 사용 횟수(0 vs. 1, 2, 3), 3중 ‑음성 질환상태(3중 음성 유방암(TNBC) vs. 비 ‑TNBC), 및 중추신경계 전이 병력(예 vs. 아니오)에 의해 층화되었다.
환자의 인구통계학적, 베이스라인 및 질환 특성은 일반적으로 투여군 간에 유사했다(표 6).
[표 6] 인구통계학적, 베이스라인 및 질환특성 ‑ EMBRACA시험
|
|
이 약
(N=287) |
화학요법
(N=144) |
|
연령 중앙값 (연령;y [범위]) |
45.0 (27.0, 84.0) |
50.0 (24.0, 88.0) |
|
연령 분류 (y), 환자수;n (%) |
|
|
|
만50세 미만 |
182 (63.4%) |
67 (46.5%) |
|
만50이상-만65세 미만 |
78 (27.2%) |
67 (46.5%) |
|
만65세 이상 |
27 (9.4%) |
10 (6.9%) |
|
성별, n (%) |
|
|
|
여성 |
283 (98.6%) |
141 (97.9%) |
|
남성 |
4 (1.4%) |
3 (2.1%) |
|
인종, n (%) |
|
|
|
아시아인 |
31 (10.8%) |
16 (11.1%) |
|
흑인 또는 아프리카계 미국인 |
12 (4.2%) |
1 (0.7%) |
|
백인 |
192 (66.9%) |
108 (75.0%) |
|
기타 |
5 (1.7%) |
1 (0.7%) |
|
미보고 |
47 (16.4%) |
18 (12.5%) |
|
ECOG 수행능력상태, n (%) |
|
|
|
0 |
153 (53.3%) |
84 (58.3%) |
|
1 |
127 (44.3%) |
57 (39.6%) |
|
2 |
6 (2.1%) |
2 (1.4%) |
|
정보누락(missing) |
1 (0.3%) |
1 (0.7%) |
|
호르몬 수용체 상태, n (%) |
|
|
|
HER2-양성 |
0 (0.0%) |
0 (0.0%) |
|
3중-음성 |
130 (45.3%) |
60 (41.7%) |
|
호르몬수용체-양성 (에스트로겐 수용체(ER) 양성 또는 프로게스테론 수용체(PgR) 양성) |
157 (54.7%) |
84 (58.3%) |
|
중앙 혹은 지역 실험실에서 평가된 BRCA 상태, n (%) |
287 (100.0%) |
144 (100.0%) |
|
BRCA1 -변이 양성 |
133 (46.3%) |
63 (43.8%) |
|
BRCA2 -변이 양성 |
154 (53.7%) |
81 (56.3%) |
|
유방암 최초 진단에서 진행성 유방암으로 진단까지의 시간(년) |
|
n |
286 |
144 |
|
중앙값 |
1.9 |
2.7 |
|
최소, 최대 |
0, 22 |
0, 24 |
|
유방암 최초 진단에서 진행성 유방암으로 진단까지의 시간분류 |
|
12개월 미만 |
108 (37.6%) |
42 (29.2%) |
|
12개월 이상 |
178 (62.0%) |
102 (70.8%) |
|
국소 진행성 또는 전이성 유방암에 이전에 세포독성 요법을 받은 횟수 |
|
평균(표준편차) |
0.9 (1.01) |
0.9 (0.89) |
|
중앙값 |
1 |
1 |
|
최소, 최대 |
0, 4 |
0, 3 |
|
국소 진행성 또는 전이성 유방암에 이전에 세포독성 요법을 받은 환자의 수, n (%) |
|
0 |
111 (38.7%) |
54 (37.5%) |
|
1 |
107 (37.3%) |
54 (37.5%) |
|
2 |
57 (19.9%) |
28 (19.4%) |
|
3 |
11 (3.8%) |
8 (5.6%) |
|
4 이상 |
1 (0.3%) |
0 (0.0%) |
|
이전에 아래의 요법을 받은 환자 수, n (%) |
|
탁센계 |
262 (91.3%) |
130 (90.3%) |
|
안트라사이클린계 |
243 (84.7%) |
115 (79.9%) |
|
백금계 |
46 (16.0%) |
30 (20.8%) |
일차 유효성 평가변수는 무진행생존기간(PFS)으로, 독립적 중앙 맹검 평가(BICR)로 고형암반응평가 기준(RECIST) version 1.1에 의해 평가되었다. 이차 평가변수는 객관적 반응률(ORR), 전체생존기간(OS), 안전성 및 약동학이었다.
이 시험에서 무진행생존기간(일차 유효성 평가변수)은 이 약 투여군에서 화학요법군에 비해 통계적으로 유의미한 개선을 나타냈다. 최종 전체생존기간(OS) 분석에서 통계적으로 유의한 OS에 대한 영향은 없었다. 독립적 평가 및 연구자가 평가한 1차 분석에 따른 EMBRACA 시험의 유효성 자료는 표 7에 요약되어 있다. 무진행생존기간 및 전체생존기간의 Kaplan ‑Meier 곡선은 그림 1 및 그림 3에 나와있다.
[표 7] 유효성 결과 요약 ‑EMBRACA 시험*
|
|
이 약 |
화학요법 |
|
BICR에 따른 무진행생존기간 |
N=287 |
N=144 |
|
사례수 (%) |
186 (65%) |
83 (58%) |
|
중앙값 (95% CI), 개월 |
8.6 (7.2, 9.3) |
5.6 (4.2, 6.7) |
|
위험비a(95% CI) |
0.54 (0.41, 0.71) |
|
양측 p값b |
p |
|
전체생존기간 (최종 분석)c |
N=287 |
N=144 |
|
사례수 (%) |
216 (75.3%) |
108 (75.0%) |
|
중앙값 (95% CI), 개월 |
19.3 (16.6, 22.5) |
19.5 (17.4, 22.4) |
|
위험비a (95% CI) |
0.85 (0.67, 1.07)b |
|
양측 p값b |
p=0.1693 |
|
24개월 생존율, % (95% CI) |
42 (36, 47) |
38 (30, 47) |
|
36개월 생존율, % (95% CI) |
27 (22, 33) |
21 (14, 29) |
|
연구자 평가에 의한 객관적 반응d,e |
N=219 |
N=114 |
|
객관적반응율, % (95% CI) |
62.6 (55.8, 69.0) |
27.2 (19.3, 36.3) |
|
위험비 (95% CI) |
4.99 (2.93, 8.83) |
|
양측 p값f |
p |
|
연구자 평가에 의한 반응 기간d |
N=137 |
N=31 |
|
중앙값 (IQR), 개월 |
5.4 (2.8, 11.2) |
3.1 (2.4, 6.7) |
BICR= 독립적 중앙 맹검 평가; CI=신뢰구간; CR=완전반응; IQR=사분위간 범위; PR=부분반응; RECIST 1.1=고형암반응평가기준 version 1.1.
* PFS, ORR 및 반응기간은 2017년 9월 15일 데이터마감일(cut ‑off date)과 이 약 투여군에서 13.0개월 (95% CI: 11.1, 18.4) 및 화학요법군에서 7.2개월(95% CI: 4.6, 11.1)의 PFS에대한 추적관찰 중앙값 기준으로 한다. OS는 2019년 9월 30일 데이터마감일(cut ‑off date) 기준이며, 이 약 투여군에서 44.9개월(95% CI: 37.9, 47.0) 및 화학요법군에서 36.8개월(95% CI: 34.3, 43.0)을 추적 관찰 중앙값에 기반하였다.
a. 위험비는 각 치료를 유일한 공변량으로 하는 층화된 콕스 회기 모델(Cox regression model)에 기반하였고(층화 요인: 이전 화학요법 횟수, 3중 ‑음성 상태, 중추신경계 전이 병력), 전반적으로 이 약을 선호하는 1회 미만의 화학요법과 비례한다.
b. 층화된 로그 순위 검정.
c. 최종 OS 분석 시점에 이 약 투여군 및 화학요법군에서 무작위 배정된 환자의 각각 46.3%와 41.7%가 이후에 백금요법을 받았으며, 4.5%와 32.6%는 이후에 PARP 억제제를 투여받았다.
d. 객관적인 반응이 있는 측정가능한 질환 모집단과 ITT군에서 시행되었다. 이 약의 완전 반응율은 5.5%였고, 화학요법군의 완전 반응율은 0%였다.
e. RECIST 1.1에 따라, CR/PR의 확인은 필요하지 않았다.
f. 층화된 코크란 ‑멘텔 ‑헨젤(Cochran ‑Mantel ‑Haenszel; CMH) 검정.
그림 1은 EMBRACA 시험의 Kaplan ‑Meier 곡선이다.
[그림 1] 무진행생존기간의 Kaplan ‑Meier 곡선 ‑ EMBRACA 시험

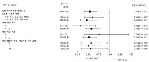
치료효과의 내부 일관성을 조사하기위해, 예후인자 및 베이스라인에서의 특성에 따라 일련의 사전지정된 하위그룹 무진행생존기간 분석이 수행되었다. 전반적인 결과와 일관되게 모든 개별 환자 하위그룹에서 이 약 투여군의 질병진행 또는 사망 위험 감소가 관찰되었다(그림 2).
[그림 2] 주요 하위그룹에 대한 무진행생존기간의 메타분석(Forest plot) ‑ EMBRACA 시험

aBC=진행성 유방암; CNS=중추신경계; HR+=호르몬수용체 양성; PCT=연구자선택처치 (화학요법); TNBC= 3중 ‑음성 유방암.
[그림 3] 전체 생존 기간의 Kaplan ‑Meier 곡선: EMBRACA 시험

CI=신뢰구간; OS=전체 생존기간.
1차 분석의 p ‑값은 층화 로그 ‑순위 검정을 기반으로 했다.
(2) 전이성 거세 저항성 전립선암(mCRPC)
<TALAPRO ‑2 시험, 코호트 2>
TALAPRO ‑2 시험의 코호트 2는 HRR 유전자 변이(HRRm) mCRPC 환자(N=399)가 1:1로 무작위 배정되어 이 약 0.5 mg 1일 1회와 엔잘루타미드 160 mg 1일 1회의 병용투여 또는 위약과 엔잘루타미드 160mg 1일 1회를 병용투여하는 무작위, 이중맹검, 위약 대조시험이었다. 모든 환자는 성선자극호르몬방출호르몬(GnRH) 유사체를 투여받았거나 이전에 양측 고환절제술을 받았고 과거에 안드로겐차단요법(ADT) 진행이 필요했다. 전이성 호르몬 반응성 전립선암(mHSPC)에 대한 아비라테론 또는 탁산 기반 화학요법을 사용한 사전 치료가 허용되었다.
코호트 2에는 HRR과 연관된 12개 유전자(ATM, ATR, BRCA1, BRCA2, CDK12, CHEK2, FANCA, MLH1, MRE11A, NBN, PALB2 또는 RAD51C) 중 1가지 이상에 변이가 있는 시험대상자가 등록되었다. HRR 유전자의 변이 여부는 차세대 염기서열 분석(Next generation sequencing, NGS)으로 전향적으로 확인하였다. 종양 조직은 FoundationOne® CDx, 순환 종양 DNA(ctDNA)는 FoundationOne Liquid® CDx로 확인하였다.
무작위배정은 다음에 따라 계층화되었다: 아비라테론 또는 탁산 기반 화학요법으로의 사전 치료 vs 사전 치료 없음.
두 군의 연령 중앙값은 70세(범위: 41에서 90)였고, 백인 68%, 아시아인 21%, 흑인 2.8%였다. 두 군에서 대부분의 참가자(62%)는 ECOG 수행 능력상태가 0이었다. 이 약을 투여받은 환자에서, BICR 평가에 따른 베이스라인에서 RECIST 1.1로 측정 가능한 질병을 가진 환자의 비율은 36%였다. 호르몬 반응성 전립선암 단계에서 환자의 29%는 이전에 탁산 기반 화학요법을 받았고, 9%는 이전에 아비라테론을 투여받았다. 가장 흔하게 변이된 HRR 유전자(5% 이상)는 BRCA2 (34%), ATM (22%), CDK12 (19%), CHEK (18%) 및 BRCA1 (6%) 순이었다.
일차 유효성 평가 변수는 눈가림된 독립적 평가자(BICR) 평가에 따른 RECIST 버전 1.1 및 전립선암 임상시험 실무그룹기준3(PCWG3)(뼈) 기준으로 평가된 방사선적 무진행 생존기간(rPFS)이었다. OS는 주요 이차 평가변수였다. 추가적인 이차 평가변수에는 BICR로 평가한 객관적 반응률(ORR), 전립선 특이 항원(PSA) 반응, PSA 진행까지의 시간, 세포독성 화학요법 시작까지의 시간, 항종양요법 시작까지의 시간 및 PFS2가 포함되었다.
일차 유효성 평가 변수인 방사선학적 무진행 생존 기간 연장에 대하여 이 약과 엔잘루타마이드 병용은 위약과 엔잘루타마이드 병용 투여 대비 통계적으로 유의한 개선을 나타냈다.
주요 이차 유효성 평가 변수인 전체 생존 기간 연장에 대하여 이 약과 엔잘루타마이드 병용은 위약과 엔잘루타마이드 병용 투여 대비 개선을 나타냈다.
TALAPRO ‑2의 유효성 결과는 표 8에 제시하였다.
[표 8] 유효성 결과 요약‑TALAPRO ‑2 (mCRPC) 코호트 2(HRR 유전자 변이)
|
|
이 약 + 엔잘루타마이드 (N=200) |
위약 + 엔잘루타마이드 (N=199) |
|
눈가림된 독립적 평가자(BICR)에 따른 방사선학적 무진행생존(rPFS)* |
|
사례수(%) |
66 (33.0) |
104 (52.3) |
|
개월 중앙값
(95% CI) |
NE (27.5, NE) |
21.9 (16.6, 25.1) |
|
위험비 (95% CI)a |
0.447 (0.328, 0.610) |
|
p-값b |
p<0.0001 |
|
전체 생존기간(OS) (최종 분석)** |
|
사례수(%) |
93 (46.5) |
126 (63.3) |
|
개월 중앙값
(95% CI) |
45.1 (35.4, NE) |
31.1 (27.3, 35.4) |
|
위험비 (95% CI)a |
0.622 (0.475, 0.814) |
|
p-값b |
p=0.0002 |
|
BICRc에 따른 객관적 반응률(ORR)c |
|
BICR로 평가가능한 질환이 있는 환자 수(%) |
50 (69.4) |
25 (38.5) |
|
객관적 반응률, % (95% CI) |
69.4 (57.5, 79.8) |
38.5 (26.7, 51.4) |
|
완전반응 % |
32 (44.4) |
11 (16.9) |
|
p-값b |
p=0.0001 |
CI=신뢰구간; CR=완전반응; HRR=동종 재조합 복구; ITT=치료 의향; N=환자 수; NE=평가 불가; ORR=객관적반응률; OS=전체생존; rPFS=방사선적 무진행생존.
* 데이터 마감일(cut ‑off date) 2022년 10월 3일. 추적관찰 기간의 중앙값은 이 약+엔잘루타마이드 투여군 17.5개월(95% CI: 16.5, 19.5), 위약+엔잘루타마이드 투여군 16.8개월(95% CI: 13.9, 19.9)이었다.
** 데이터 마감일(cut ‑off date) 2024년 9월 3일. 추적 관찰 기간의 중앙값은 이 약+엔잘루타마이드 투여군 44.2 개월(95% CI: 40.3, 45.4), 위약+엔잘루타마이드 투여군에서 44.4개월(95% CI: 41.0, 46.9)이었다.
a. 호르몬 반응성 전립선암(HSPC) 단계에서 사전 치료(아비라테론 또는 탁산 기반 화학요법) 유무로 층화된 콕스비례 위험모델(Cox proportional hazards model)을 기반으로 한 위험 비율, <1 인 경우 이 약에 유리하다.
b. HSPC에 대한 사전 치료 유무에 따라 층화된 로그 순위 검정의 p ‑값(단측)
c. 베이스라인에서 측정가능한 질환이 있는 ITT 모집단에서 수행되었다.